Скачать Руководство по теплотехническому расчету светопрозрачных ограждений промышленных зданий

Дата актуализации: 01.01.2021

Руководство по теплотехническому расчету светопрозрачных ограждений промышленных зданий

Статус:действует
Название рус.:Руководство по теплотехническому расчету светопрозрачных ограждений промышленных зданий
Дата добавления в базу:01.09.2013
Дата актуализации:01.01.2021
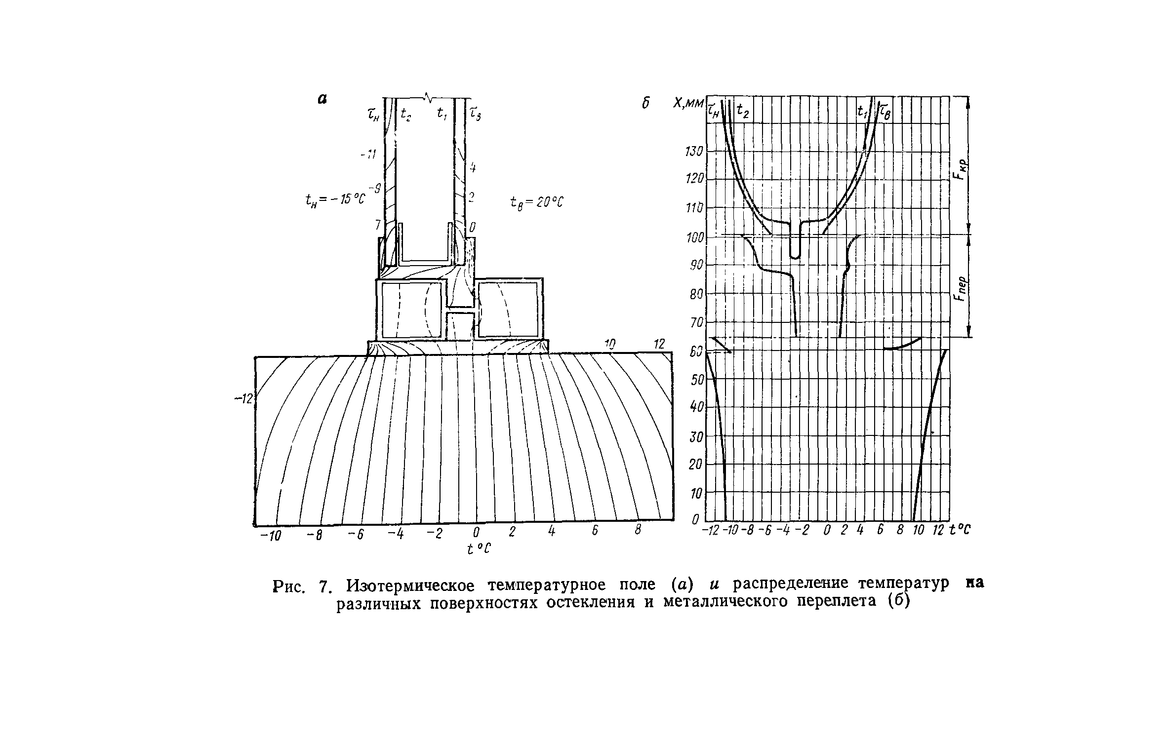
Область применения:Руководство распространяется на теплотехническое проектирование окон и зенитных фонарей вновь строящихся и реконструируемых промышленных зданий различного назначения и содержит материалы по теплотехническому расчету светопрозрачных ограждений, определению размеров светопроемов, количества слоев остекления и выбору конструктивных решений.
Оглавление:1. Общие положения
2. Требования, предъявляемые к микроклимату помещений и светопрозрачным конструкциям
3. Окна
4. Зенитные фонари
Приложение 1. Окна со стальными перелетами
Приложение 2. Зенитные фонари, применяемые для естественного освещения помещений производственных зданий
Приложение 3. Расчет окна многоэтажного здания, предназначенного для эксплуатации при расчетной температуре наружного воздуха минус 15 градусов Цельсия (Ташкент)
Приложение 4. Расчет окна здания, предназначенного для эксплуатации при расчетной температуре наружного воздуха минус 25 градусов Цельсия (Москва)
Приложение 5. Теплотехнический расчет зенитного фонаря
Разработан: ЦНИИпромзданий
НИИ строительной физики Госстроя СССР
Утверждён: ЦНИИпромзданий Госстроя СССР (TsNIIpromzdaniy, USSR Gosstroy )
Издан: Стройиздат (1981 г. )
Нормативные ссылки: