Скачать Рекомендации по разработке и применению цен франко-строительная площадка на местные строительные материалы, изделия и конструкцииДата актуализации: 01.01.2021
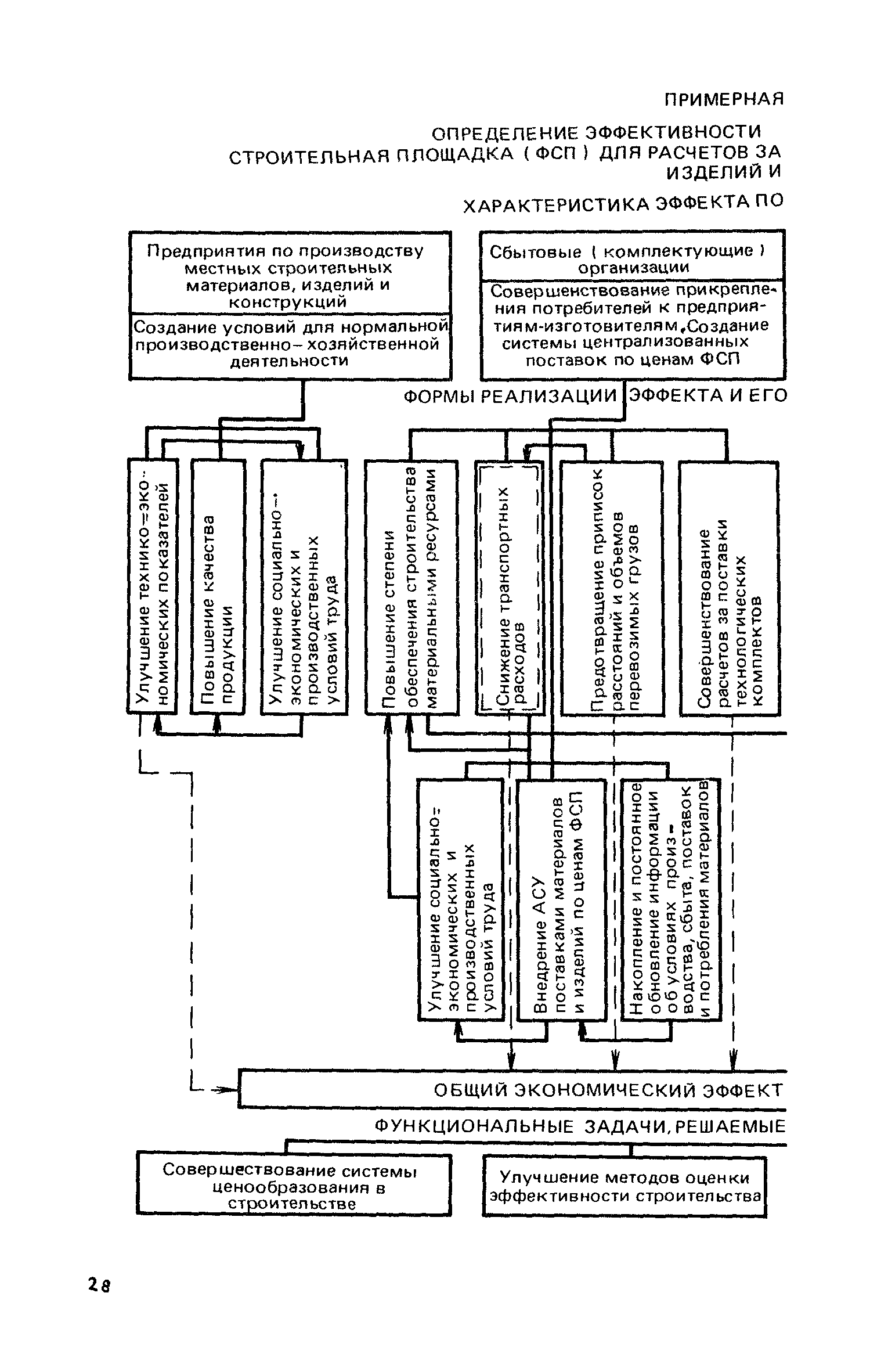
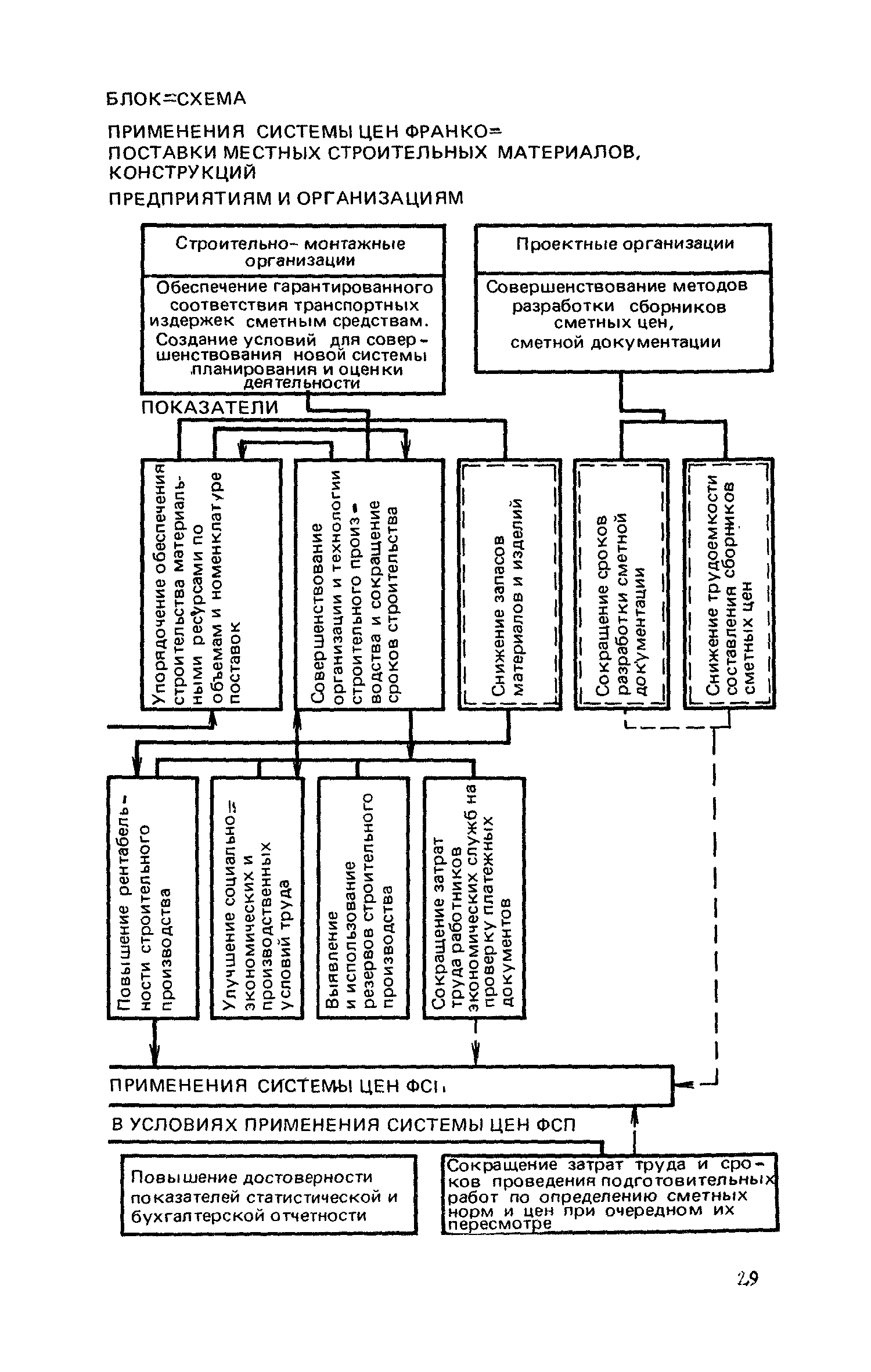
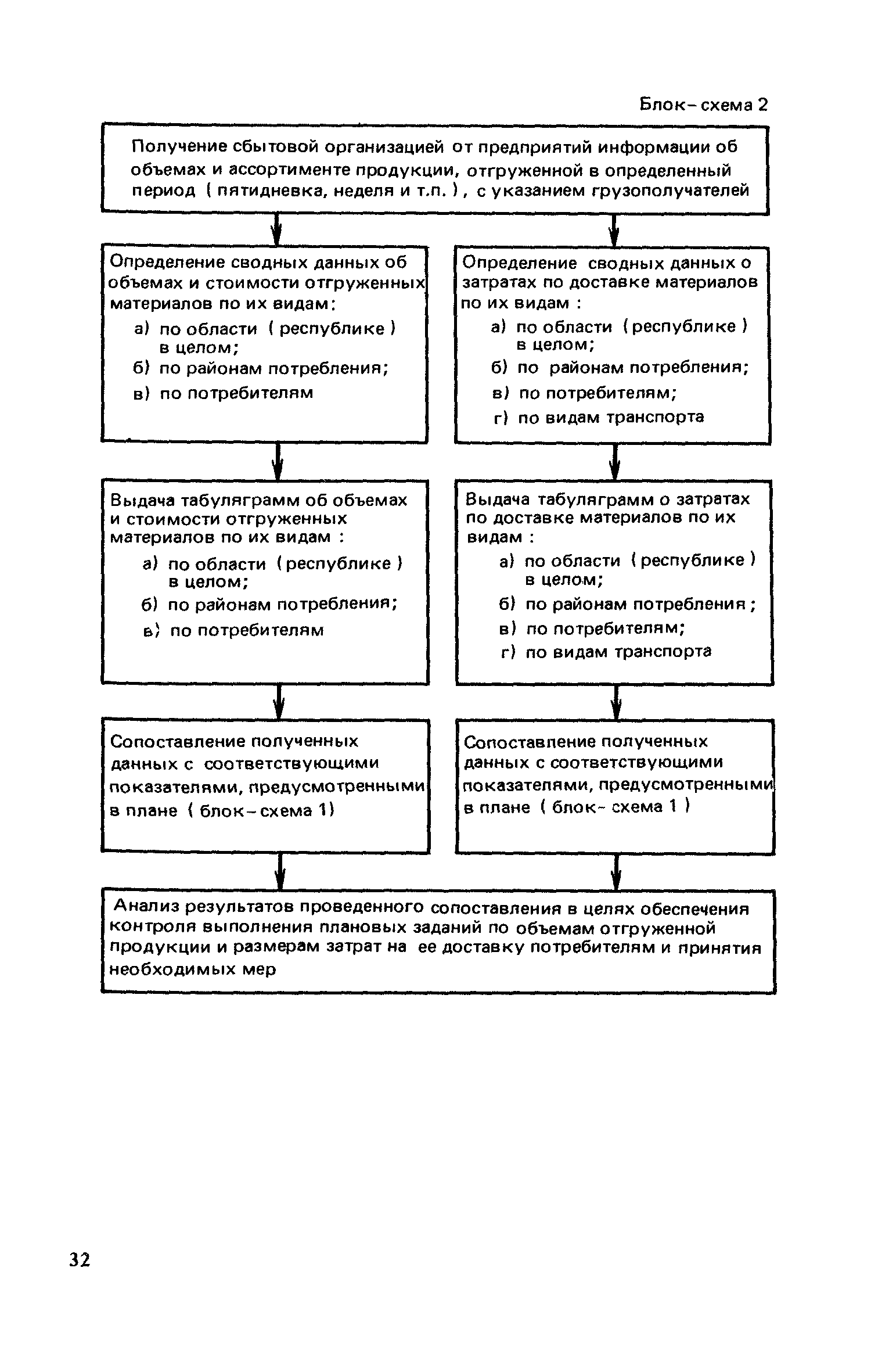
Рекомендации по разработке и применению цен франко-строительная площадка на местные строительные материалы, изделия и конструкции| Статус: | не действует | | Название рус.: | Рекомендации по разработке и применению цен франко-строительная площадка на местные строительные материалы, изделия и конструкции | | Дата добавления в базу: | 01.09.2013 | | Дата актуализации: | 01.01.2021 | | Область применения: | Документ содержит в систематизированном виде основные положения по разработке цен франко-строительная площадка на местные строительные материалы и изделия, предназначенные для расчетов за поставки материалов и определения сметных цен на материалы. | | Оглавление: | 1. Общие положения 2. Методические основы разработки цен франко-строительная площадка на местные строительные материалы и железобетонные изделия 3. Принципы и порядок применения цен франко-строительная площадка при расчетах за поставки местных строительных материалов и изделий 4. Методы определения цен франко-строительная площадка на комплексы материалов и изделий на здание (сооружение) 5. Организация работы по подготовке к переходу на систему цен ФСП в области (республике) 6. Эффективность применения системы цен франко-строительная площадка и методы ее оценки Приложение 1. Порядок оформления платежных документов при расчетах за поставки местных материалов и изделий по ценам ФСП и формы кредитования затрат, связанных с осуществлением поставок Приложение 2. Порядок учета в планах подрядных организаций изменений размера расходов по доставке местных материалов и изделий от предприятий до строительных площадок в связи с переходом на расчеты по ценам ФСП в период между общими пересмотрами сметных норм и цен Приложение 3. Принципы и порядок нормирования оборотных средств сбытовых организаций, осуществляющих поставки местных материалов и изделий по ценам ФСП | | Разработан: | НИИЭС Госстроя СССР
| | Издан: | Стройиздат (1985 г. )
|
                                                                  
|