Скачать Руководство по конструкциям опалубок и производству опалубочных работДата актуализации: 01.01.2021 |
| Статус: | действует |
| Название рус.: | Руководство по конструкциям опалубок и производству опалубочных работ |
| Дата добавления в базу: | 01.09.2013 |
| Дата актуализации: | 01.01.2021 |
| Область применения: | Документ содержит описание рекомендуемых конструкций опалубок, характеристику материалов, применяемых для ее изготовления, принципы расчета опалубки, технологию опалубочных работ на строительной площадке, а также вспомогательные материалы по методике расчета опалубок. Предназначен для инженерно-технических работников строительных организаций, а также работников научно-исследовательских и проектно-конструкторских организаций. |
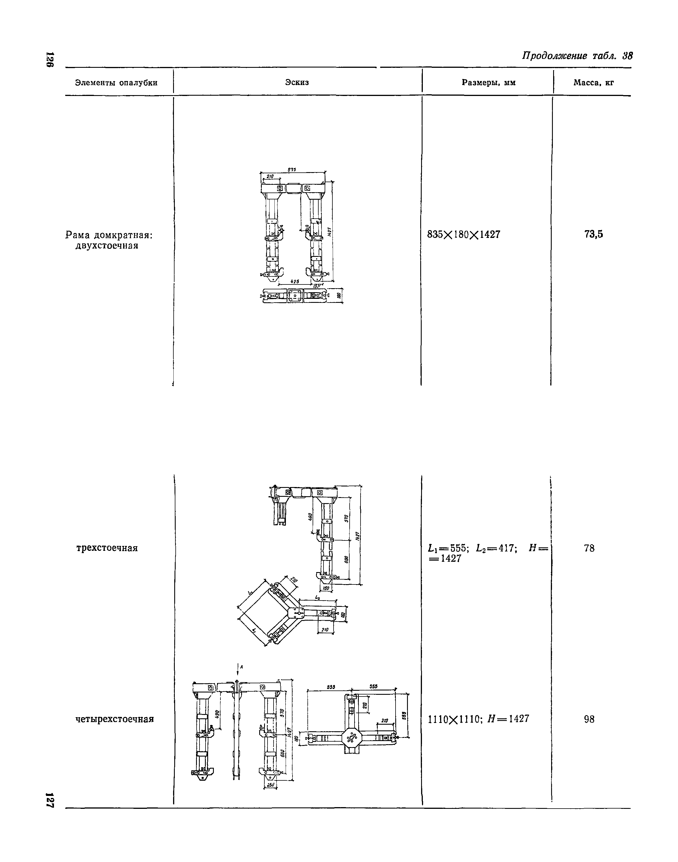
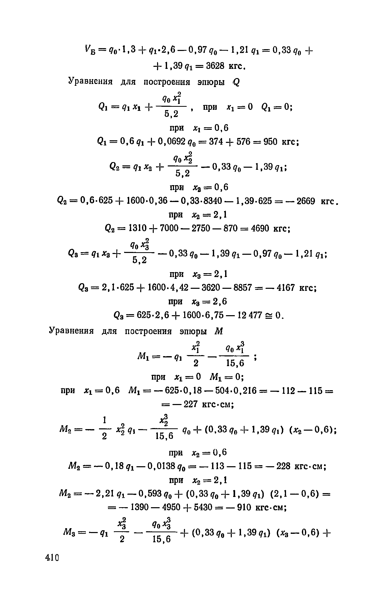
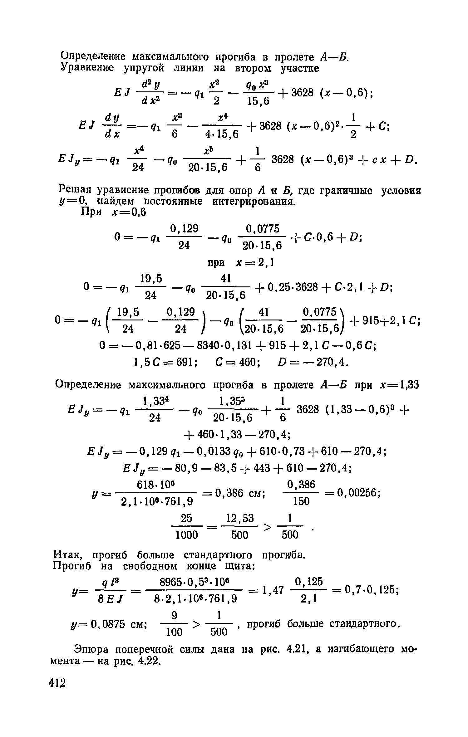
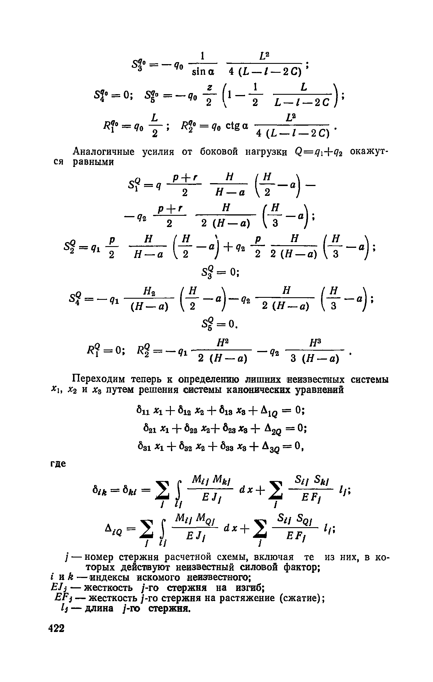
| Оглавление: | Предисловие 1. Общие положения 2. Классификация и области применения 3. Материалы для изготовления опалубки Материалы для изготовления несъемной опалубки из фибробетона 4. Принципы расчета опалубки Нагрузки на опалубку Принципы расчета элементов конструкции Справочные данные для расчета Номографический расчет основных параметров греющей опалубки Расчет параметров гибких электронагревателей (ГЭ) с проводом ПОСХВ Особенности расчета сетчатых и пластинчатых нагревателей Расчет греющей опалубки с сетчатыми электронагревателями 5. Конструкции опалубки Общие положения Разборно-переставная мелкощитовая опалубка Крупнощитовая опалубка Подъемно-переставная опалубка для строительства труб Блочная опалубка Объемно-переставная опалубка Скользящая опалубка Горизонтально перемещаемая опалубка Пневматическая опалубка Несъемная опалубка Конструкция греющей опалубки и греющих электропокрытий 6. Технология изготовления опалубки Общие положения Изготовление несъемной опалубки Нанесение антиадгезионных покрытий и футеровок Изготовление пластмассовых опалубок Изготовление греющих электрических покрытий ЦНИИОМТП 7. Технология опалубочных работ Общие положения Централизованная эксплуатация опалубки через специализированные участки опалубочных работ Установка мелкощитовой разборно-переставной опалубки немеханизированным способом Сборка разборно-переставной мелкощитовой опалубки различных монолитных конструкций Монтаж и демонтаж крупнощитовой опалубки Работа с подъемно-переставной опалубкой Применение блочной опалубки Установка и демонтаж объемно-переставной опалубки . Технология применения скользящей опалубки Работа с катучей опалубкой Установка несъемной опалубки Монтаж несъемной стеклоцементной опалубки Технологические требования при обогреве монолитных конструкций в греющей опалубке. Режимы обогрева монолитных конструкций и мерзлых грунтовых оснований Смазки, антиадгезионные покрытия и футеровки для опалубки Приложение 1. Характеристики материалов и профилей Приложение 2. Характеристика клеев, склеиваемых материалов и соединений. Технологические параметры склеивания Приложение 3. Справочные материалы для расчета (моменты сопротивлений, инерции, опорные и пролетные моменты некоторых характерных сечений и сочетаний нагрузок) Приложение 4. Примеры расчета опалубки 1. Пример упрощенного расчета опалубки стен высотой 3 м, устанавливаемой поэлементно 2. Пример расчета опалубки при монтаже каркасными щитами 3. Расчет разборно-переставной опалубки типа "Монолит" 4. Расчет крупнощитовой опалубки 5. Расчет несущих балок комбинированной крупнощитовой опалубки перекрытия 6. Расчет объемно-переставной опалубки 7. Пример расчета некоторых элементов скользящей опалубки Приложение 5. Величина максимального давления бетонной смеси Приложение 6. Свободные пролеты щитов опалубки и палубы из различных материалов Приложение 7. Временное положение о специализированном участке опалубочных работ Приложение 8. Снижение сцепления и трения между скользящей опалубкой и бетоном Приложение 9. Меры по обеспечению надежного сцепления несъемной опалубки с бетоном Приложение 10. Экономические показатели |
| Разработан: | ЦНИИОМТП |
| Утверждён: | ЦНИИОМТП Госстроя СССР (TsNIIOMTP, USSR Gosstroy ) |
| Издан: | Стройиздат (1983 г. ) |
| Нормативные ссылки: |
|





























































































































































































































































































































































































































































































