Скачать ГОСТ Р ИСО 13404-2010 Протезирование и ортезирование. Классификация и описание наружных ортезов и их элементовДата актуализации: 01.01.2021
|
| Обозначение: | ГОСТ Р ИСО 13404-2010 |
| Обозначение англ: | GOST R ISO 13404-2010 |
| Статус: | введен впервые |
| Название рус.: | Протезирование и ортезирование. Классификация и описание наружных ортезов и их элементов |
| Название англ.: | Prosthetics and orthotics. Categorization and description of external orthoses and orthotic components |
| Дата добавления в базу: | 01.09.2013 |
| Дата актуализации: | 01.01.2021 |
| Дата введения: | 01.04.2012 |
| Область применения: | Стандарт устанавливает классификацию и метод описания наружных ортезов и их элементов. |
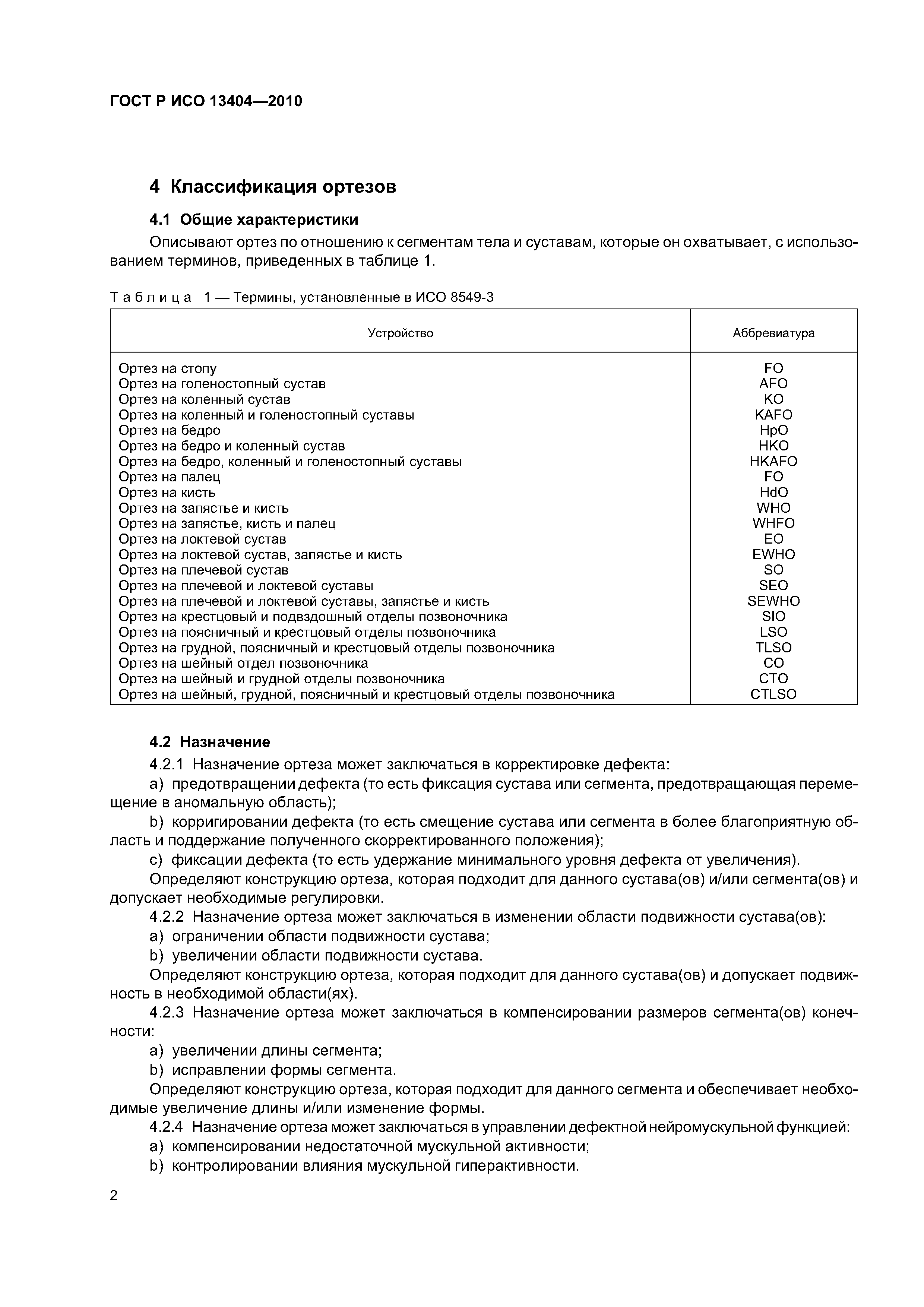
| Оглавление: | 1 Область применения 2 Нормативные ссылки 3 Термины и определения 4 Классификация ортезов 4.1 Общие характеристики . . 4.2 Назначение 4.3 Типы производства 5 Классификация элементов ортезов 5.1 Общие положения 5.2 Элементы присоединения . 5.3 Шарнирные соединения. . . 5.4 Несущие элементы 5.5 Косметические элементы. . Приложение ДА (справочное) Сведения о соответствии ссылочных международных стандартов национальным стандартам Российской Федерации |
| Разработан: | ФГУП СТАНДАРТИНФОРМ ООО НОЦ ОртоС |
| Утверждён: | 12.11.2010 Федеральное агентство по техническому регулированию и метрологии (410-ст) |
| Издан: | Стандартинформ (2012 г. ) |
| Нормативные ссылки: |
|










