Скачать Типовой проект 409-28-39 Альбом XIII. Часть 2. Дополнение к основному варианту в связи с использованием бетоносмесителей СБ-138 вместо бетоносмесителей СБ-93Дата актуализации: 01.01.2021
|
| Обозначение: | Типовой проект 409-28-39 |
| Обозначение англ: | 409-28-39 |
| Статус: | действует |
| Название рус.: | Альбом XIII. Часть 2. Дополнение к основному варианту в связи с использованием бетоносмесителей СБ-138 вместо бетоносмесителей СБ-93 |
| Дата добавления в базу: | 01.09.2013 |
| Дата актуализации: | 01.01.2021 |
| Дата введения: | 17.10.1979 |
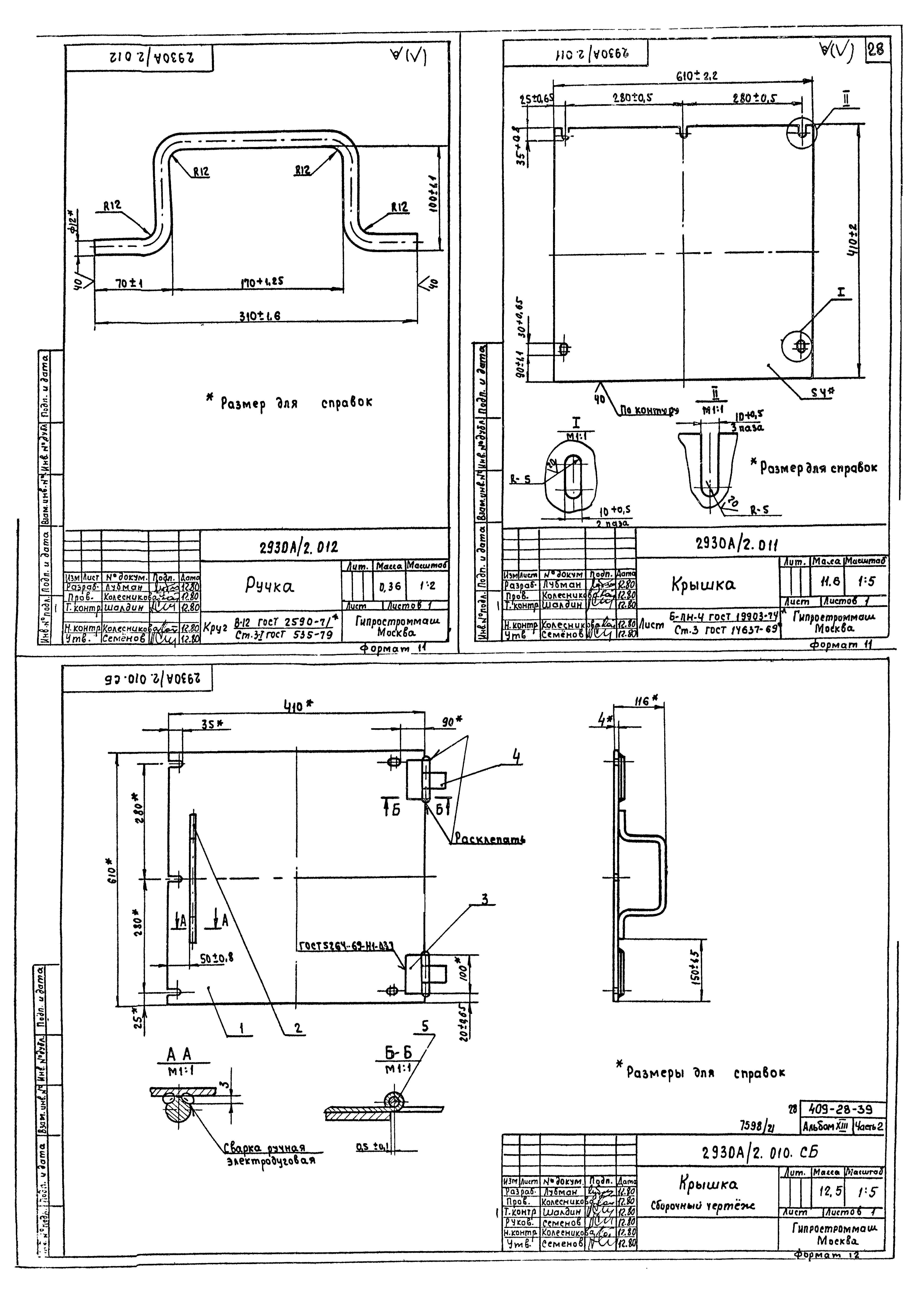
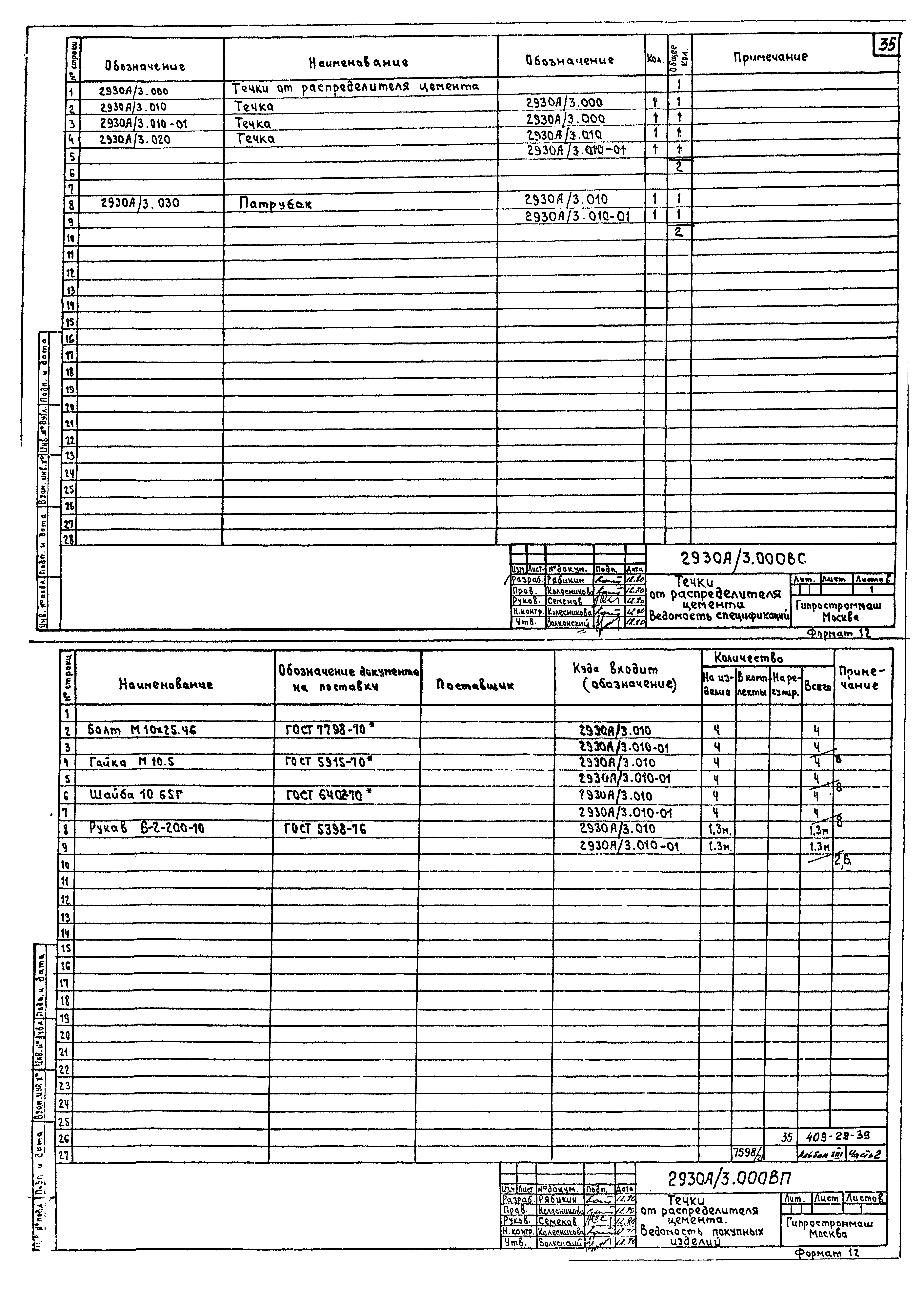
| Оглавление: | Перечень чертежей 2930А/1.000 Рама под бетоносмесители СБ-138 2930А/1.000СБ Рама под бетоносмесители СБ-138 2930А/1.000ВС Рама под бетоносмесители СБ-138 2930А/1.000ВП Рама под бетоносмесители СБ-138 2930А/1.010 Рама 2930А/1.010СБ Рама 2930А/1.020 Рама 2930А/1.020СБ Рама 2930А/1.050 Балка 2930А/1.050СБ Балка 2930А/1.060 Балка 2930А/1.060СБ Балка 2930А/1.070 Балка 2930А/1.070СБ Балка 2930А/1.001 Настил 2930А/1.002 Настил 2930А/1.003 Скоба 2930А/1.004 Крюк 2930А/1.011 Ребро 2930А/1.012 Косынка 2930А/1.013 Косынка 2930А/1.014 Косынка 2930А/1.015 Поручень 2930А/1.016 Раскос 2930А/1.017 Связь 2930А/1.022 Связь 2930А/1.024 Настил 2930А/1.025 Настил 2930А/1.026 Стойка 2930А/1.027 Связь 2930А/1.029 Борт 2930А/1.032 Настил 2930А/1.033 Настил 2930А/1.034 Связь 2930А/2.000 Течка в бетоносмеситель СБ-138 2930А/2.000СБ Течка в бетоносмеситель СБ-138 2930А/2.000ВС Течка в бетоносмеситель СБ-138 2930А/2.000ВП Течка в бетоносмеситель СБ-138 2930А/2.010 Крышка 2930А/2.010СБ Крышка 2930А/2.020 Течка 2930А/2.020СБ Течка 2930А/2.001 Прокладка 2930А/2.002 Прокладка 2930А/2.003 Прокладка 2930А/2.004 Прокладка 2930А/2.006 Прокладка 2930А/2.011 Крышка 2930А/2.012 Ручка 2930А/2.013 Петля 2930А/2.014 Петля 2930А/2.021 Стенка 2930А/2.022 Стенка 2930А/2.023 Стенка 2930А/2.024 Связь 2930А/2.025 Связь 2930А/3.000 Течки от распределителя цемента 2930А/3.000СБ Течки от распределителя цемента 2930А/3.000ВС Течки от распределителя цемента 2930А/3.000ВП Течки от распределителя цемента 2930А/3.010 Течка 2930А/3.010СБ Течка 2930А/3.020 Течка 2930А/3.020СБ Течка 2930А/3.030 Патрубок 2930А/3.030СБ Патрубок 2930А/3.011 Пластина 2930А/3.012 Полухомут 2930А/3.022 Патрубок 2930А/3.023 Патрубок 2930А/3.024 Кольцо 2930А/3.025 Кольцо 2930А/4.000 Воронка выдачи бетона 2930А/4.000СБ Воронка выдачи бетона 2930А/4.000ВС Воронка выдачи бетона 2930А/4.000ВП Воронка выдачи бетона 2930А/4.010 Стенка 2930А/4.010СБ Стенка 2930А/4.020 Надставка 2930А/4.020СБ Надставка 2930А/4.030 Воронка 2930А/4.030СБ Воронка 2930А/4.040 Кронштейн 2930А/4.040СБ Кронштейн 2930А/4.002 Планка 2930А/4.024 Крюк 2930А/4.031 Стенка 2930А/4.032 Стенка 2930А/4.033 Стенка 2930А/4.034 Боковина 2930А/4.035 Боковина 2930А/4.036 Платик 2930А/4.041 Ребро 2930А/4.042 Плита 2930А/4.043 Основание |
| Разработан: | Гипростроммаш |
| Утверждён: | 23.09.1979 Госстрой СССР (Государственный комитет Совета Министров СССР по делам строительства) (USSR Gosstroy 43) |
















































