Скачать ГОСТ Р ИСО 26382-2011 Установки когенераторные. Общие технические требованияДата актуализации: 01.01.2021
|
| Обозначение: | ГОСТ Р ИСО 26382-2011 |
| Обозначение англ: | GOST R ISO 26382-2011 |
| Статус: | введен впервые |
| Название рус.: | Установки когенераторные. Общие технические требования |
| Название англ.: | Cogeneration systems. General technical requirements |
| Дата добавления в базу: | 01.09.2013 |
| Дата актуализации: | 01.01.2021 |
| Дата введения: | 01.06.2012 |
| Область применения: | Стандарт распространяется на когенераторные установки газотурбинных установок. Стандарт устанавливает аспекты исследования для оценки проекта, оценки когенераторных установок и первичных сведений для закупки когенераторных установок, а также необходимые контрольные показатели в процессе планирования применения когенераторных установок, обеспечивает процедуру достижения удовлетворяющей конфигурации когенераторных установок для каждого проекта и включает подробную схему этапов в процессе развития проекта. |
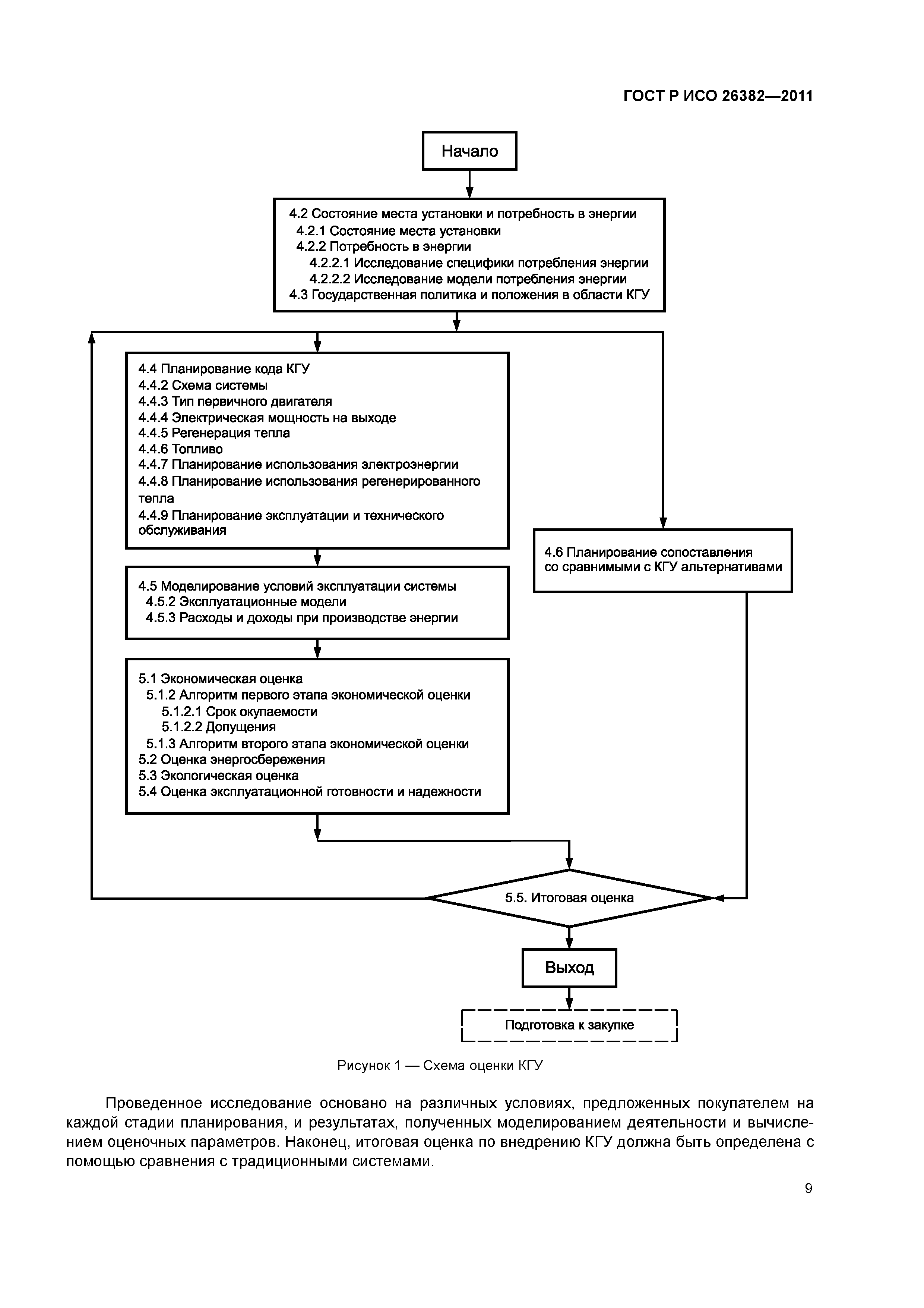
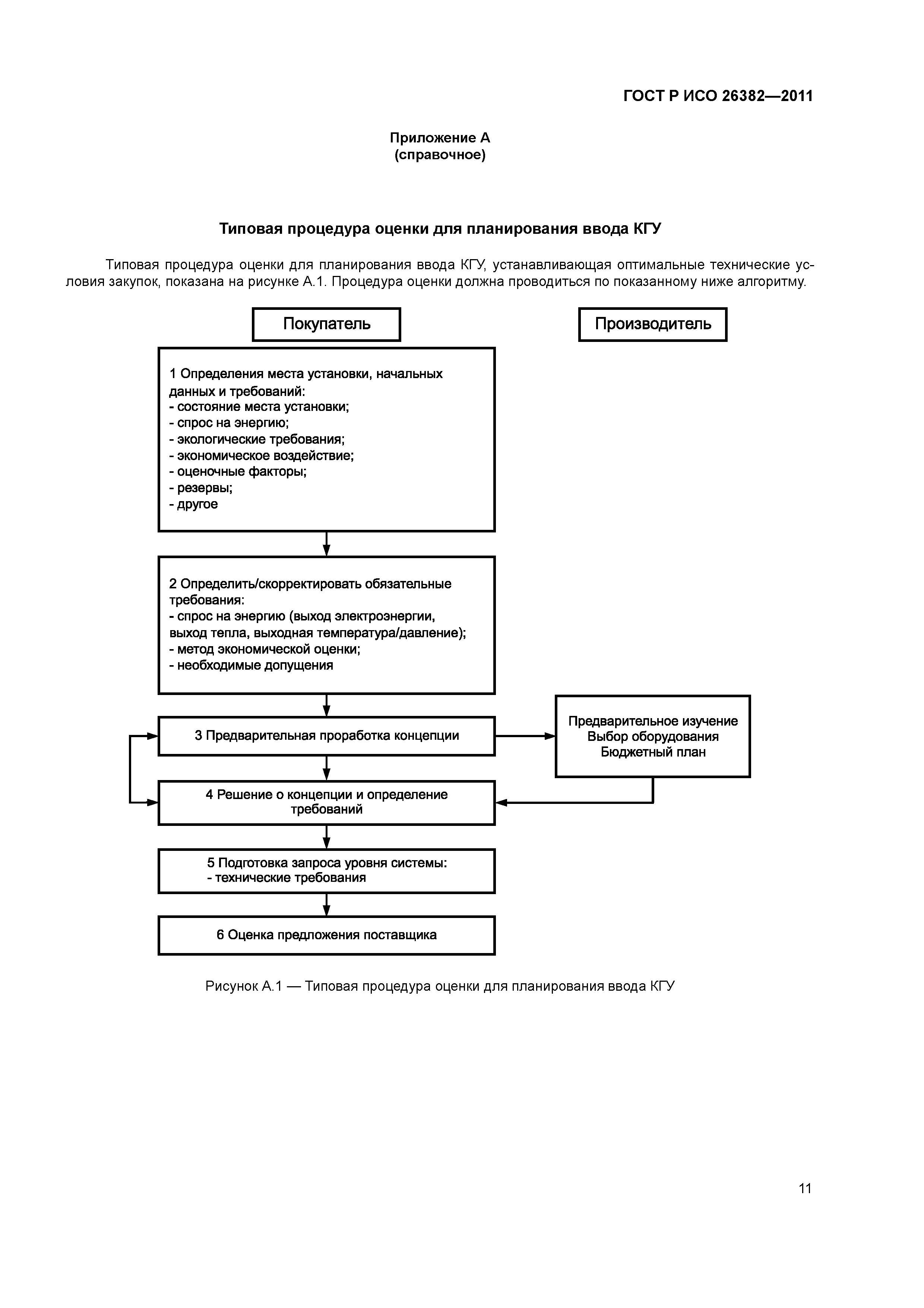
| Оглавление: | 1 Область применения 2 Нормативные ссылки 3 Термины и определения 4 Общая информация по проекту 5 Оценка КГУ 6 Первичная информация и работы по приобретению КГУ Приложение А (справочное) Типовая процедура оценки для планирования ввода КГУ Приложение В (справочное) Типовая процедура анализа стоимости жизненного цикла Приложение С (справочное) Типовые диаграммы КГУ Приложение D (справочное) Метод расчета периода времени, когда КГУ и традиционная система имеют одинаковые издержки Приложение Е (справочное) Метод вычисления суммарной прибыли за срок службы агрегата Приложение F (справочное) Рабочая классификация информации и работы по закупкам КГУ Приложение ДА (справочное) Сведения о соответствии ссылочных международных стандартов ссылочным национальным стандартам Российской Федерации |
| Разработан: | ФГУП ЦИАМ им. П.И.Баранова |
| Утверждён: | 16.09.2011 Федеральное агентство по техническому регулированию и метрологии (306-ст) |
| Издан: | Стандартинформ (2011 г. ) |
| Нормативные ссылки: |






















