Скачать ГОСТ Р 54525-2011 Качество данных. Часть 130. Основные данные. Обмен данными характеристик. ТочностьДата актуализации: 01.01.2021
|
| Обозначение: | ГОСТ Р 54525-2011 |
| Обозначение англ: | GOST R 54525-2011 |
| Статус: | введен впервые |
| Название рус.: | Качество данных. Часть 130. Основные данные. Обмен данными характеристик. Точность |
| Название англ.: | Data quality. Part 130. Master data. Exchange of characteristic data. Accuracy |
| Дата добавления в базу: | 01.09.2013 |
| Дата актуализации: | 01.01.2021 |
| Дата введения: | 01.07.2012 |
| Область применения: | Стандарт является приложением к ИСО/ТС 8000-120 и устанавливает требования к представлению и обмену информацией, относящейся к точности основных данных, состоящих из данных характеристик. Стандарт распространяется на: - требования к сбору и обмену точной информацией в форме представления и гарантии (гарантийного документа) точности данных; - концептуальную модель данных, относящуюся к точности информации, в форме представления и гарантии точности данных. Стандарт не распространяется на: - требования, относящиеся к точности данных |
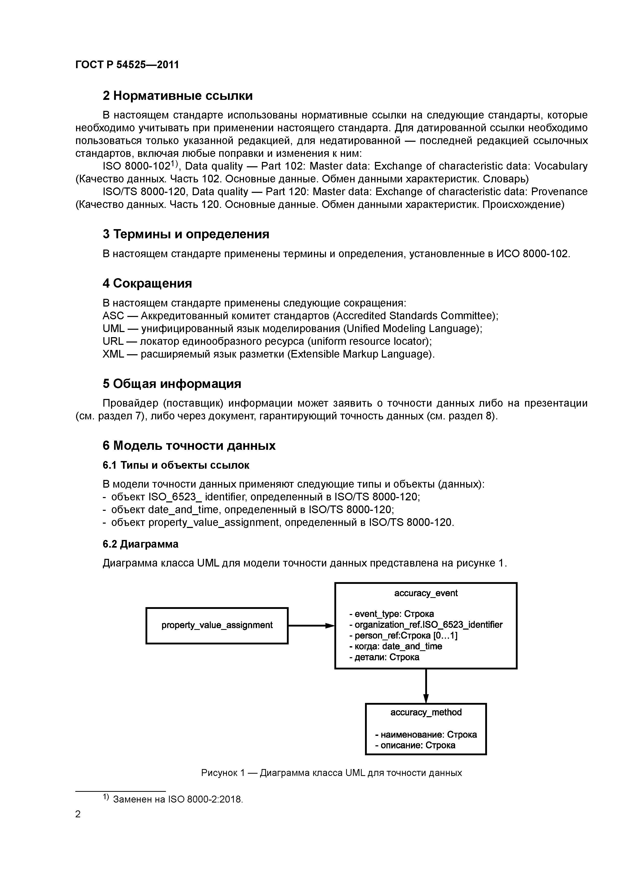
| Оглавление: | 1 Область применения 2 Нормативные ссылки 3 Термины и определения 4 Сокращения 5 Общая информация 6 Модель точности данных 7 Представление точности данных 8 Гарантия точности данных 9 Запись точности данных 10 Требования соответствия Приложение А (обязательное) Идентификация документа Приложение В (справочное) Дополнительная информация по реализации программы Приложение С (справочное) Коды, применяемые в примерах Приложение D (справочное) Основание для гарантии Приложение ДА (справочное) Сведения о соответствии ссылочных международных стандартов ссылочным национальным стандартам Российской Федерации Библиография |
| Разработан: | ФГУ ФЦК |
| Утверждён: | 25.11.2011 Федеральное агентство по техническому регулированию и метрологии (603-ст) |
| Издан: | Стандартинформ (2012 г. ) Стандартинформ (2019 г. ) |
| Нормативные ссылки: |















