Скачать Единые экологические требования по обустройству мест временного хранения отходов производства и потребления организациями-природопользователями города Москвы на занимаемых земельных участкахДата актуализации: 01.01.2021 |
| Статус: | действует |
| Название рус.: | Единые экологические требования по обустройству мест временного хранения отходов производства и потребления организациями-природопользователями города Москвы на занимаемых земельных участках |
| Дата добавления в базу: | 01.09.2013 |
| Дата актуализации: | 01.01.2021 |
| Дата введения: | 03.02.2007 |
| Область применения: | Единые экологические требования по обустройству мест временного хранения отходов производства и потребления организациями - природопользователями города Москвы на занимаемых земельных участках (далее - Требования) устанавливают единые экологические требования к организации временного хранения отходов производства и потребления на земельных участках природопользователей города Москвы, включенных в Сводный кадастр отходов производства и потребления города Москвы. Требования предназначены для руководства юридическими и физическими лицами, осуществляющими деятельность по обращению с отходами производства и потребления в городе Москве, в части сбора и временного хранения отходов на территориях природопользователей, а также для использования органами исполнительной власти города Москвы, осуществляющими контроль за обращением с отходами производства и потребления. Требования применяются: - при разработке раздела "Охрана окружающей среды" в составе проектной документации на строительство и реконструкцию хозяйственных и иных объектов; - при разработке проектов нормативов образования отходов и лимитов на их размещение; - при организации и осуществлении государственного контроля за обращением с отходами производства и потребления; - для организации государственного экологического контроля; - при проведении экологического аудита; - для иных целей. Требования не распространяются на отношения в области обращения с радиоактивными отходами. |
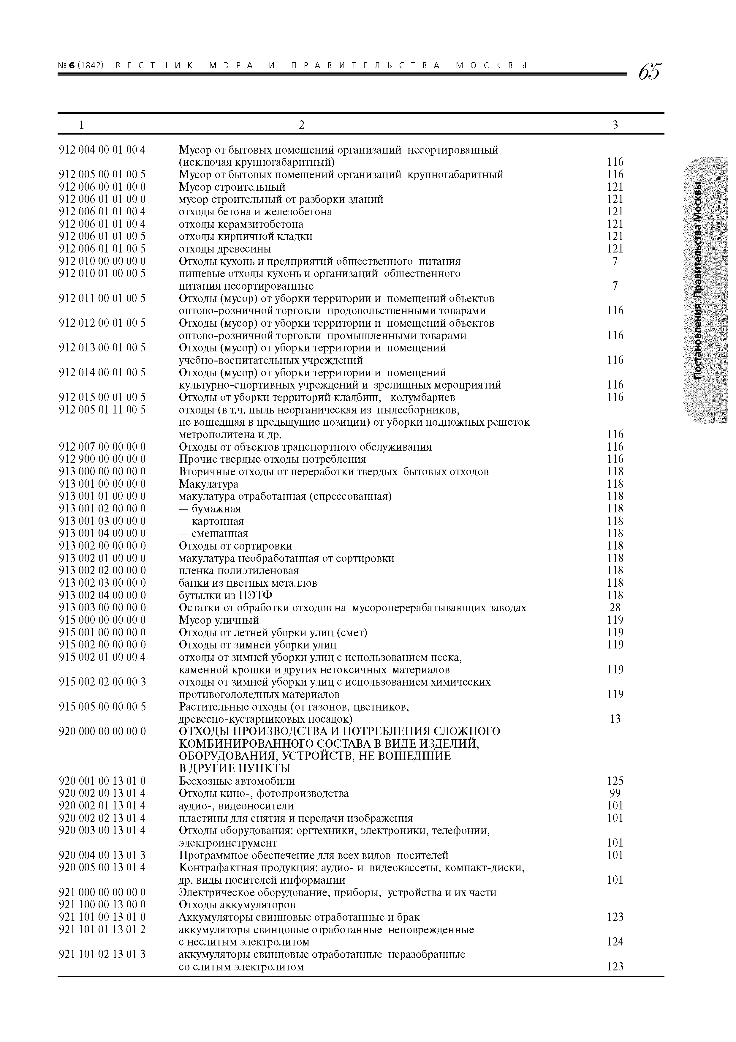
| Оглавление: | 1. Область применения 2. Основные понятия и определения (в соответствии с Межгосударственным стандартом ГОСТ 30772-2001), введенным в действие постановлением Госстандарта РФ от 28.12.2001 № 607-СТ 3. Общие требования к организации временного хранения отходов производства и потребления 4. Требования к организации площадок временного хранения отходов производства и потребления на территориях природопользователей Таблица 1. Группировка отходов по однотипности требований к оборудованию мест временного хранения Таблица 2. Классификационный каталог отходов производства и потребления города Москвы с указанием номеров групп по условиям хранения отходов |
| Утверждён: | 12.12.2006 Правительство Москвы (Government of the City of Moscow 981-ПП) |
| Издан: | Вестник Мэра и Правительства Москвы (2007 г. (6)) |
| Нормативные ссылки: |
|


































































