Скачать ГОСТ Р 54862-2011 Энергоэффективность зданий. Методы определения влияния автоматизации, управления и эксплуатации зданияДата актуализации: 01.01.2021
|
| Обозначение: | ГОСТ Р 54862-2011 |
| Обозначение англ: | GOST R 54862-2011 |
| Статус: | введен впервые |
| Название рус.: | Энергоэффективность зданий. Методы определения влияния автоматизации, управления и эксплуатации здания |
| Название англ.: | Energy performance of buildings. Methods for definition of influence automation, controls and building management |
| Дата добавления в базу: | 01.09.2013 |
| Дата актуализации: | 01.01.2021 |
| Дата введения: | 01.05.2012 |
| Область применения: | Стандарт устанавливает: - функции управления зданий и технического менеджмента зданий, которые оказывают влияние на энергетическую эффективность зданий; - метод определения минимальных требований к функциям управления, автоматизации и технического управления зданий, которые должны внедряться в зданиях различного назначения; - подробные методы оценки влияния указанных функций на потребление энергии зданием, позволяющие ввести характеристики влияния этих функций в расчеты параметров энергетической эффективности и индикаторов; - упрощенный метод первичной оценки влияния указанных функций на типовое здание. |
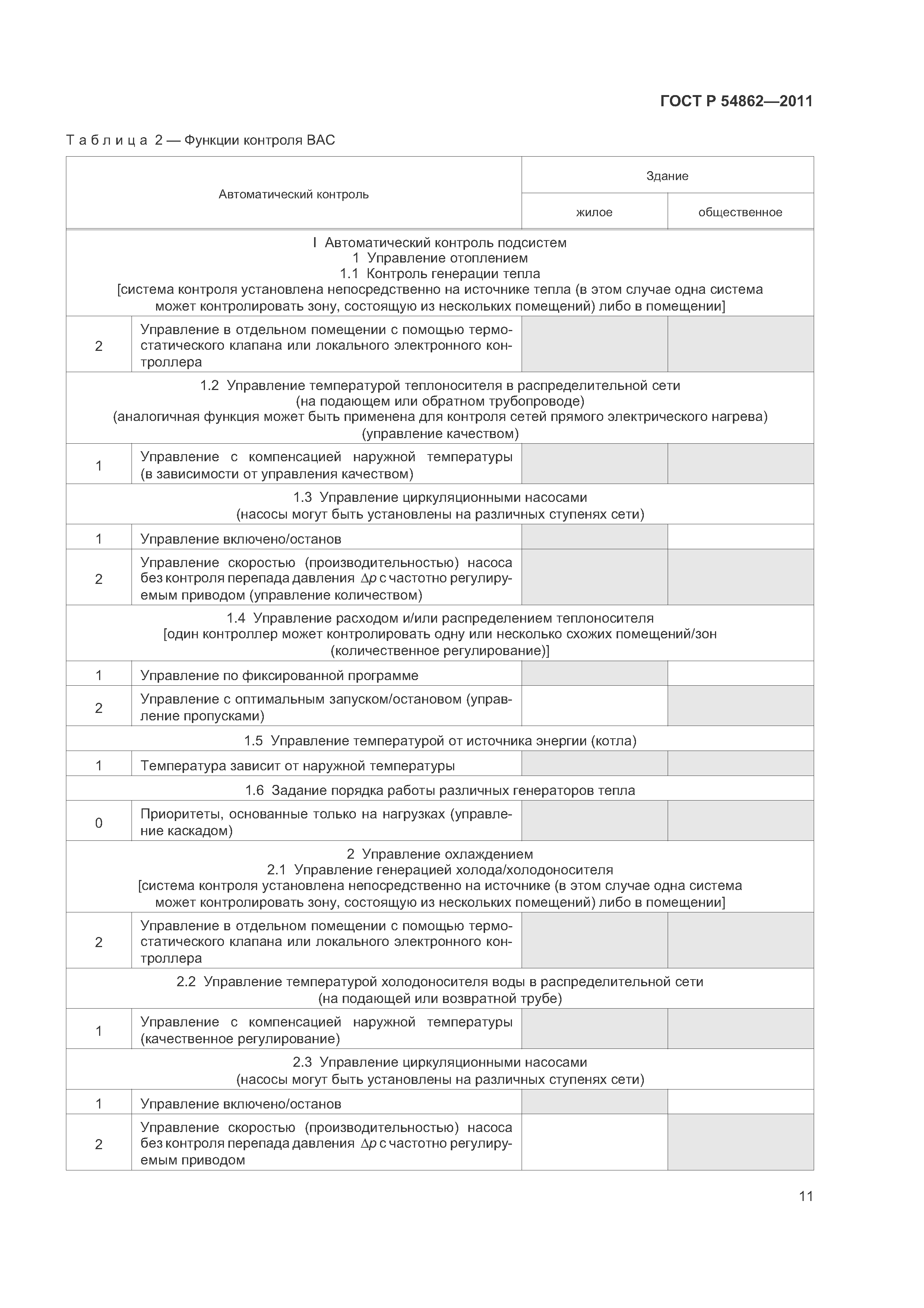
| Оглавление: | 1 Область применения 2 Нормативные ссылки 3 Термины и определения 4 Обозначения 5 Влияние BACS и ТВМ на энергетическую эффективность зданий 5.1 Общие положения 5.2 Классы эффективности системы автоматизации и управления здания 5.3 Функции ВАС и ТВМ, оказывающие влияние на энергетическую эффективность зданий 5.4 Функции ВАС, влияющие на энергоэффективность здания 6 Методики расчета эффективности ВАС 6.1 Общие положения 7 Подробная методика расчета эффективности ВАС 7.1 Введение 7.2 Общие принципы расчета. Основные способы расчета влияния функций BACS 7.3 Метод, учитывающий различные функции при расчете 7.4 Управление отоплением и охлаждением 7.5 Управление (регулирование) вентиляцией(и) 7.6 Регулирование освещения 7.7 Управление приводами светозатенения 7.8 Автоматическая система управления квартирой (помещением)и зданием (домовая автоматизация) 7.9 Функции технического менеджмента квартир (помещений) и зданий 7.10 Сравнение влияния системы автоматизации квартир и здания и функций технического менеджмента здания 8 Методика расчета, основанная на коэффициентах эффективности ВАС 8.1 Описание метода коэффициентов ВАС 8.2 Коэффициент эффективности ВАС для тепловой энергии fВАС,НС 8.3 Коэффициент эффективности ВАС для электроэнергии fВАС, еi 8.4 Пример расчета методом коэффициентов ВАС Приложение А (справочное) Влияние инновационных интегрированных функций BACS на энергоэффективность (примеры) Библиография |
| Разработан: | ОАО СантехНИИпроект |
| Утверждён: | 15.12.2011 Федеральное агентство по техническому регулированию и метрологии (1567-ст) |
| Издан: | Стандартинформ (2012 г. ) |
| Нормативные ссылки: |












































