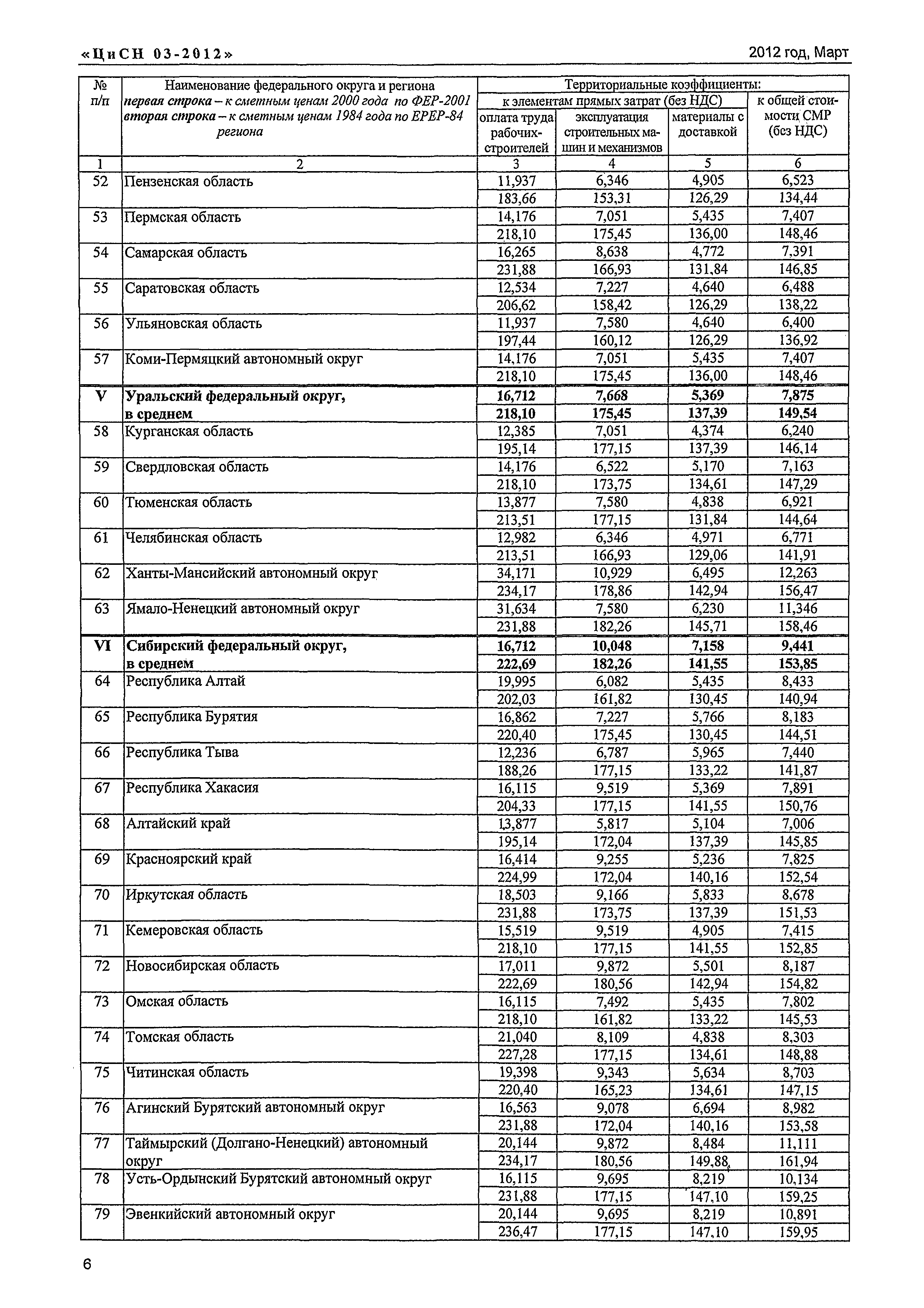
Скачать Письмо КЦ/П2012-03ти Об индексах изменения сметной стоимости строительства по Федеральным округам и регионам Российской Федерации на март 2012 годаДата актуализации: 01.01.2021 Письмо КЦ/П2012-03ти
Об индексах изменения сметной стоимости строительства по Федеральным округам и регионам Российской Федерации на март 2012 года| Обозначение: | Письмо КЦ/П2012-03ти | | Обозначение англ: | Notice КЦ/П2012-03ти | | Статус: | действует | | Название рус.: | Об индексах изменения сметной стоимости строительства по Федеральным округам и регионам Российской Федерации на март 2012 года | | Дата добавления в базу: | 01.09.2013 | | Дата актуализации: | 01.01.2021 | | Утверждён: | 14.03.2012 Координационный центр по ценообразованию и сметному нормированию (КЦ/П2012-03ти)
| | Издан: | Ценообразование и сметное нормирование в строительстве (2012 г. (3))
|
       
|