Скачать ГОСТ Р ИСО 13601-2011 Системы технические энергетические. Структура анализа. Отрасли энергоснабжения и энергопотребленияДата актуализации: 01.01.2021
|
| Обозначение: | ГОСТ Р ИСО 13601-2011 |
| Обозначение англ: | GOST R ISO 13601-2011 |
| Статус: | введен впервые |
| Название рус.: | Системы технические энергетические. Структура анализа. Отрасли энергоснабжения и энергопотребления |
| Название англ.: | Technical energy systems. Structure for analysis. Energyware supply and demand sectors |
| Дата добавления в базу: | 01.09.2013 |
| Дата актуализации: | 01.01.2021 |
| Дата введения: | 01.07.2012 |
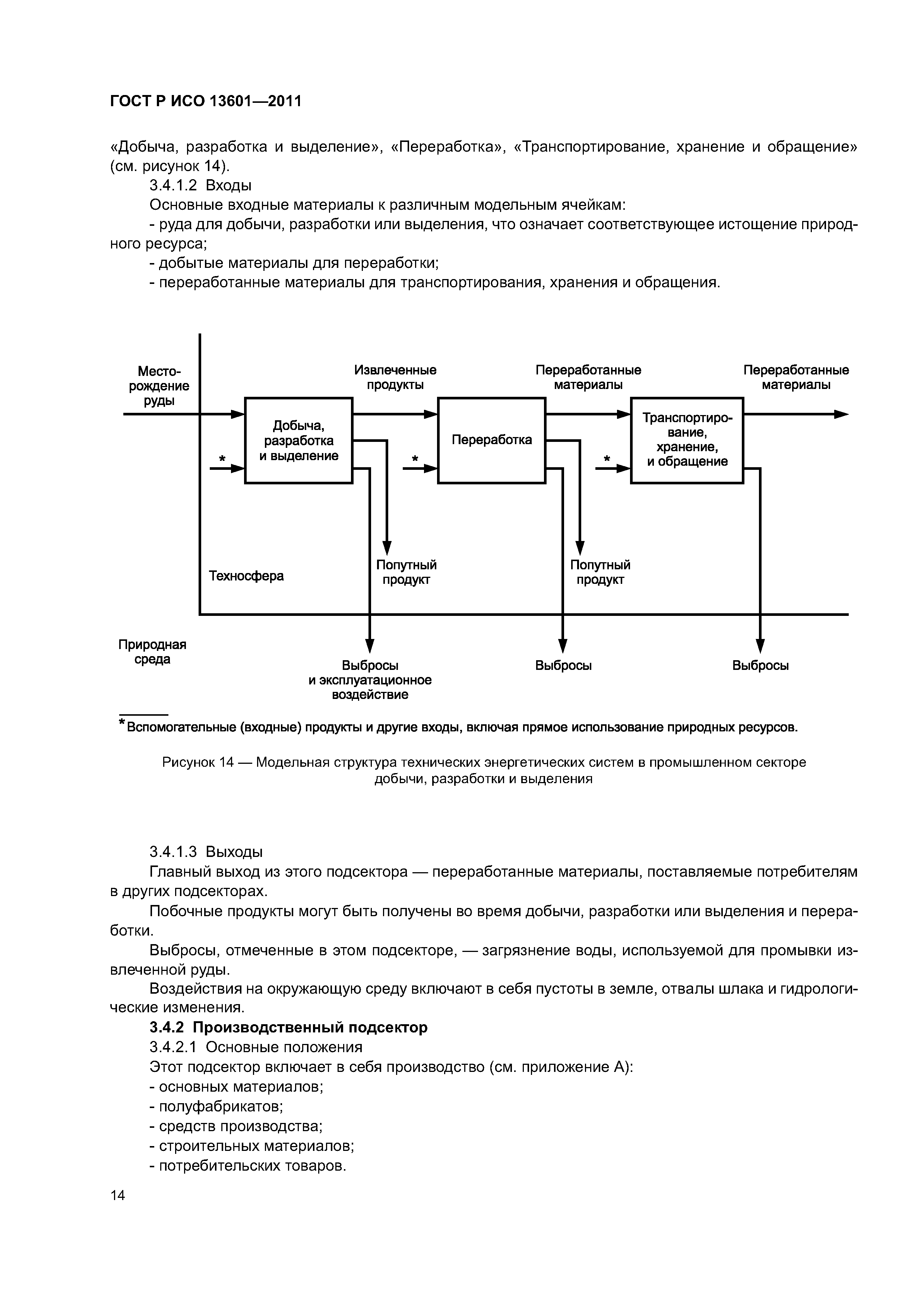
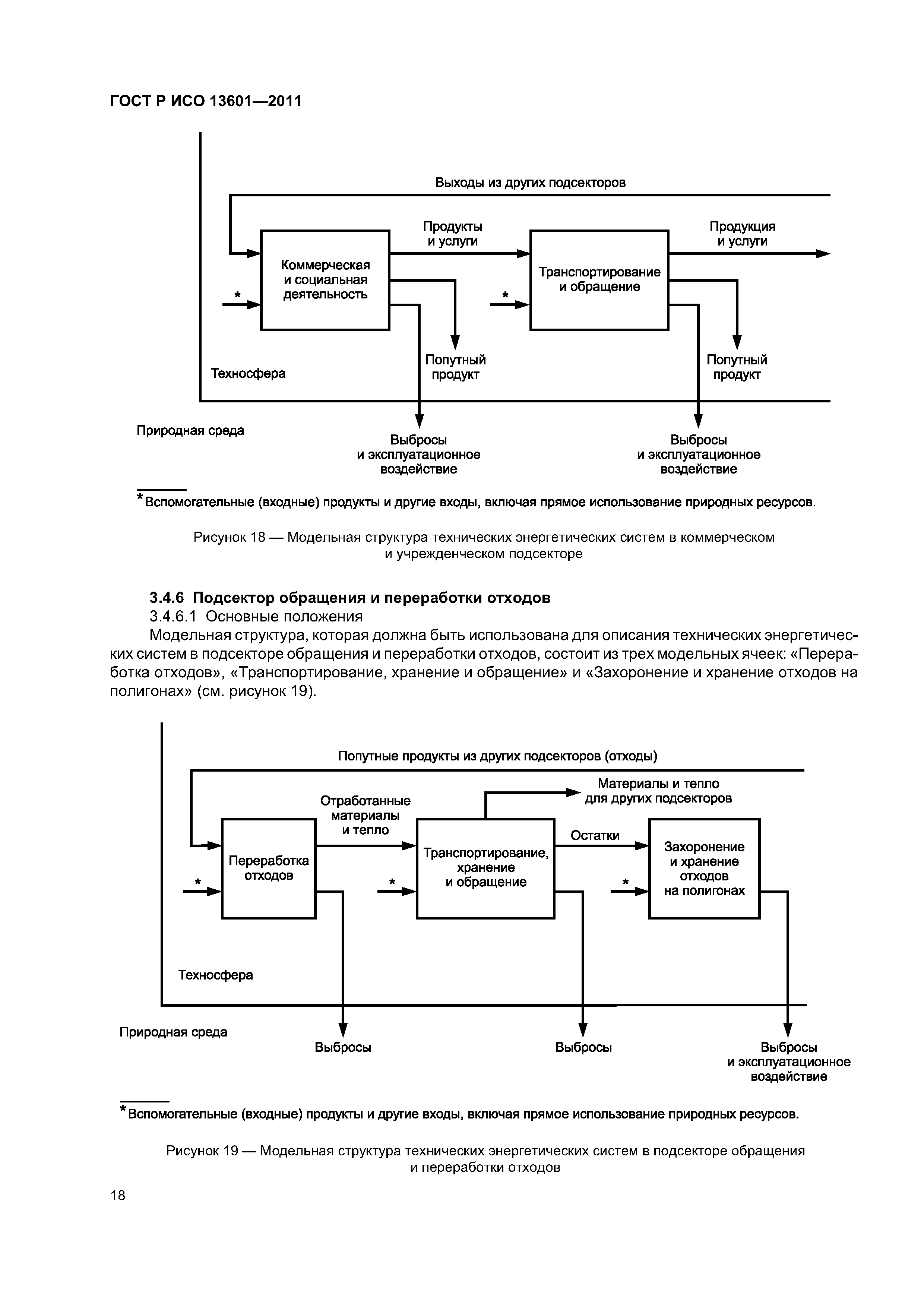
| Область применения: | Стандарт определяет структуру, которая будет использоваться для описания и анализа технических энергетических систем, подсекторов поставки и потребления энергопродукта, а также модель структуры для каждого подсектора. Стандарт приводит набор стандартизованных модулей, в соответствии с которыми все данные должны быть систематизированы и представлены. Структура для описания и анализа технических энергетических систем служит для тех же целей в изучении технических энергетических систем, что и расчетный кодовый план в бухгалтерском учете. Она аналогична структуре официальной международной статистики (ISIC), используемой для облегчения применения данных. Использование настоящей структуры облегчает сравнение результатов исследования технических энергетических систем и позволяет использовать частные результаты одного исследования в другом. |
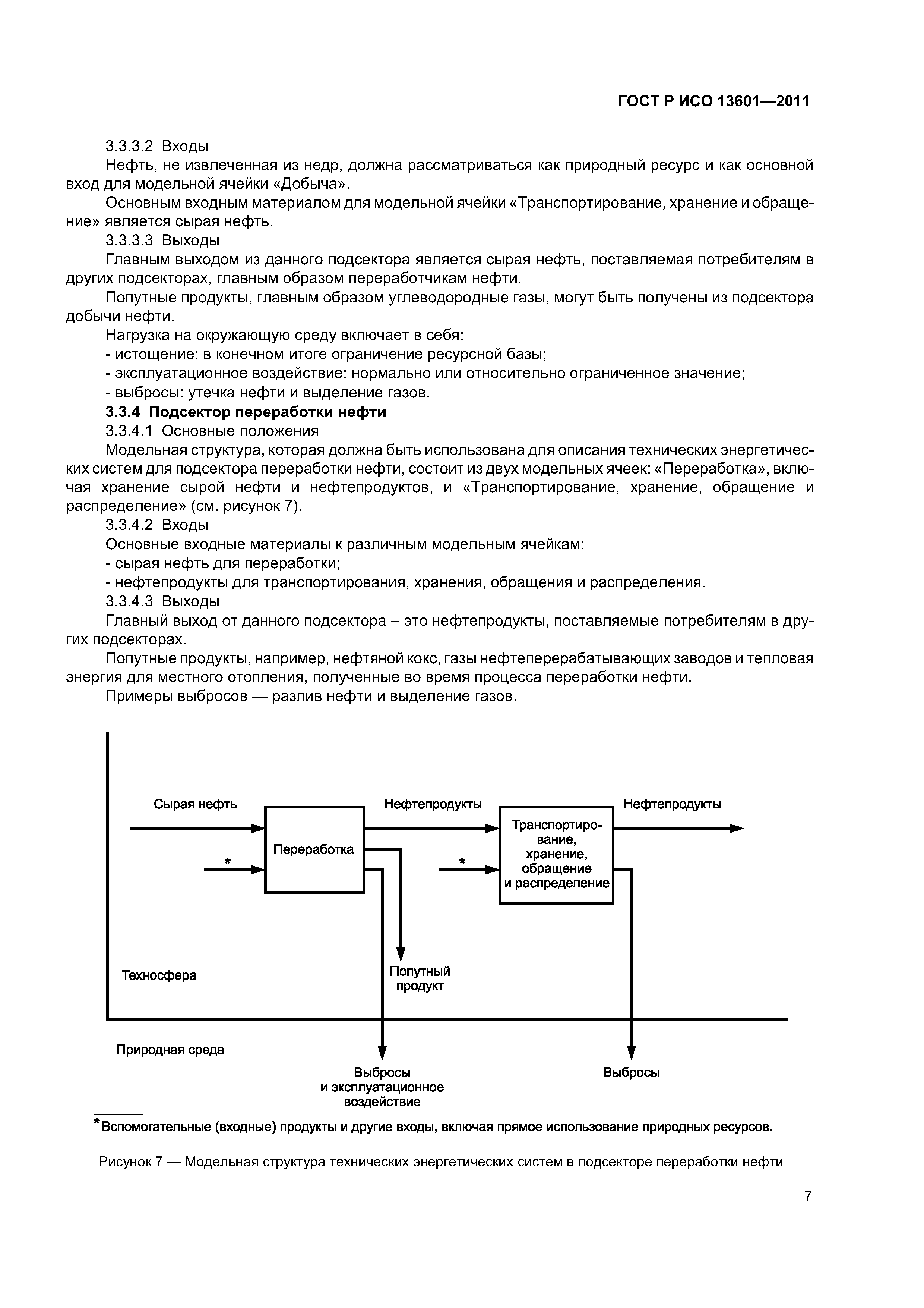
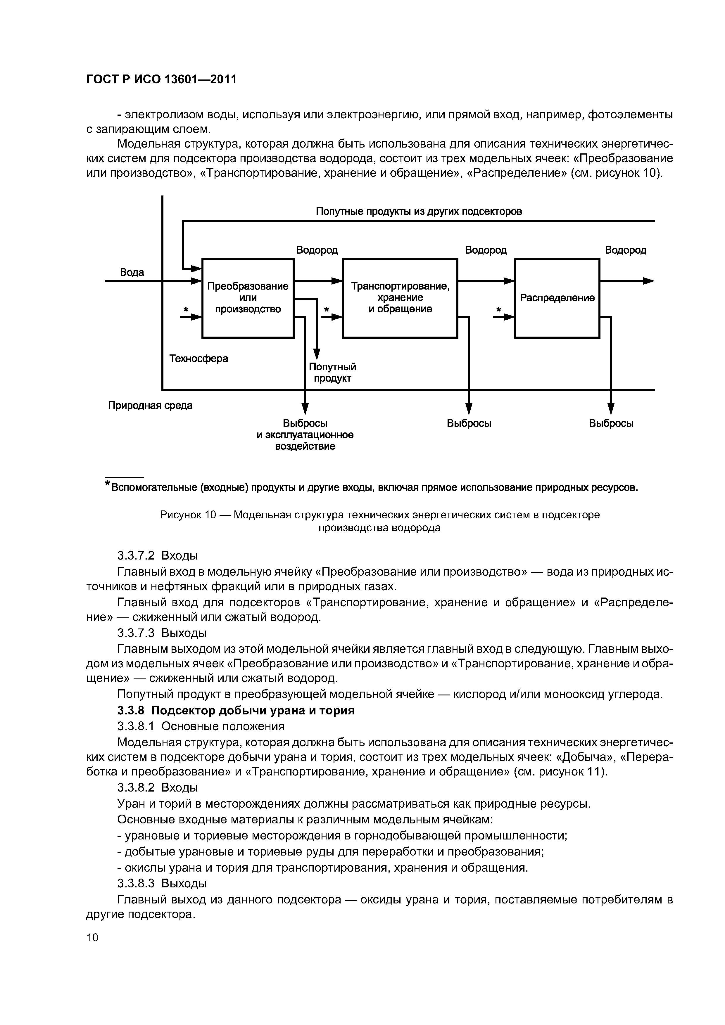
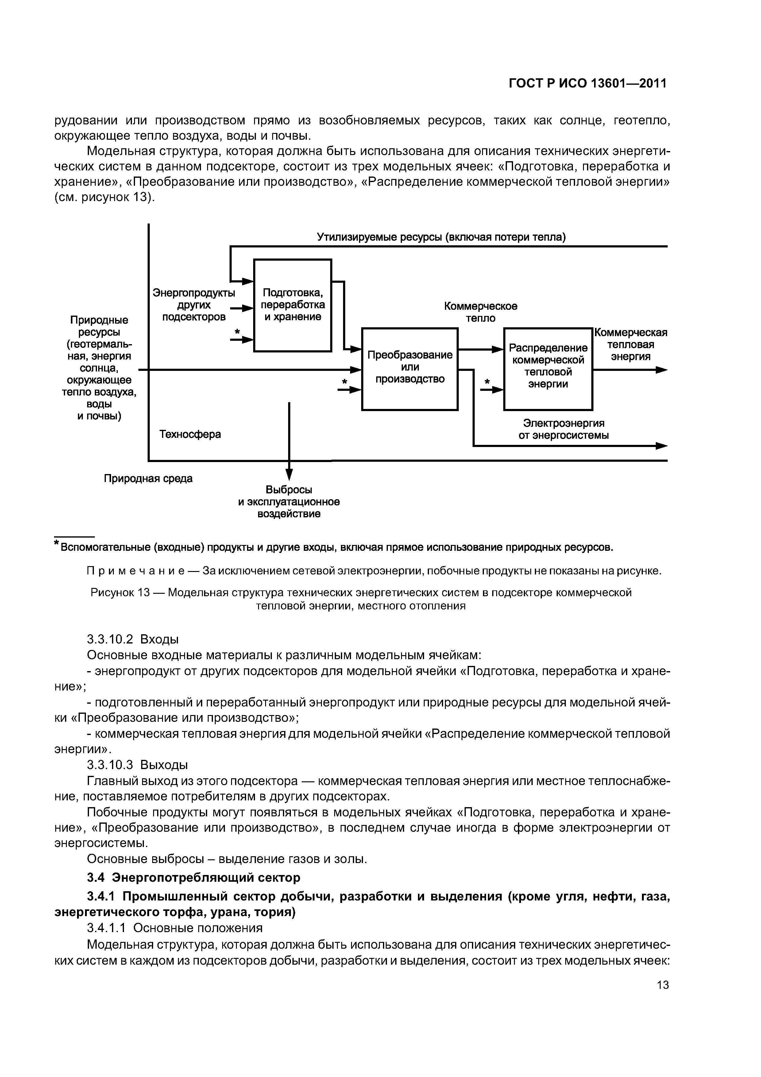
| Оглавление: | 1 Область применения 2 Нормативные ссылки 3 Структура энергоснабжения и потребления 3.1 Основные положения 3.2 Упрощенное представление модельных ячеек 3.3 Энергопоставляющий сектор 3.4 Энергопотребляющий сектор Приложение А (обязательное) Экономическая деятельность в подсекторах техносферы Приложение В (справочное) Различные типы технических энергетических систем с точки зрения методологии Приложение С (справочное) Примеры природных ресурсов, типичных выбросов, эксплуатационных воздействий и истощений для различных энергопродуктов Приложение ДА (справочное) Сведения о соответствии ссылочных международных стандартов ссылочным национальным стандартам Российской Федерации |
| Разработан: | ВНИИНМАШ НП ИНВЭЛ |
| Утверждён: | 28.09.2011 Федеральное агентство по техническому регулированию и метрологии (343-ст) |
| Издан: | Стандартинформ (2012 г. ) |
| Нормативные ссылки: |



































