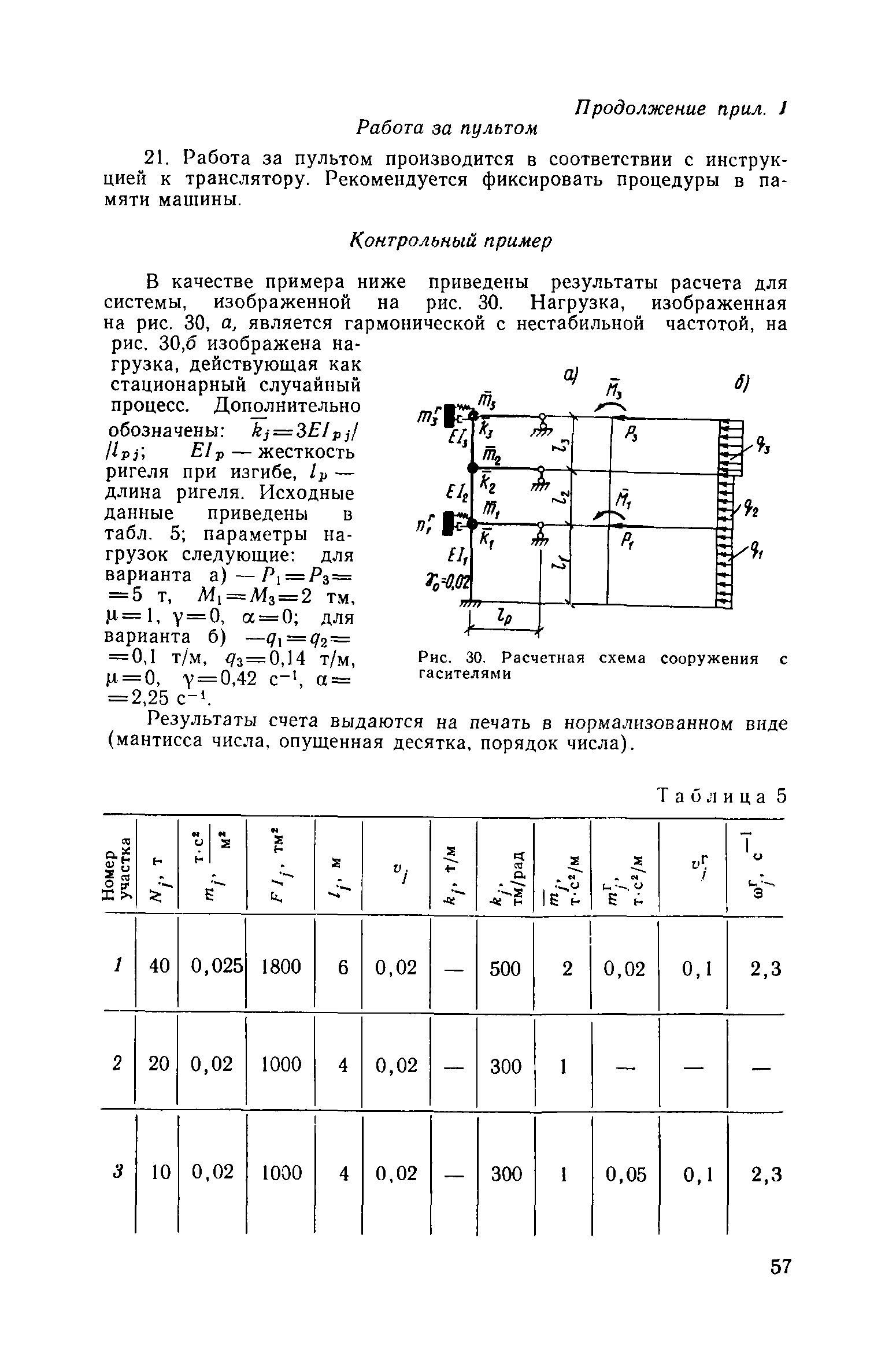
Скачать Рекомендации по проектированию гасителей колебаний для защиты зданий и сооружений, подверженных горизонтальным динамическим воздействиям от технологического оборудования и ветраДата актуализации: 01.01.2021
Рекомендации по проектированию гасителей колебаний для защиты зданий и сооружений, подверженных горизонтальным динамическим воздействиям от технологического оборудования и ветра| Статус: | не действует | | Название рус.: | Рекомендации по проектированию гасителей колебаний для защиты зданий и сооружений, подверженных горизонтальным динамическим воздействиям от технологического оборудования и ветра | | Дата добавления в базу: | 01.09.2013 | | Дата актуализации: | 01.01.2021 | | Область применения: | Рекомендации содержат практические указания по проектированию динамических и ударных гасителей колебаний, устанавливаемых на отдельных конструкциях, зданиях и сооружениях для защиты их от динамических воздействий, возбуждаемых при работе. Технологического оборудования и действии ветра. Предназначены для работников проектных и строительно-монтажных организаций. | | Оглавление: | Предисловие 1. Общие положения 2. Динамические гасители колебаний Вводная часть Подбор оптимальных гасителей колебаний и оценка их эффективности Подбор и определение эффективности оптимальных гасителей колебаний при ограниченном демпфировании Влияние отклонений параметров гасителя от оптимальных значений на эффективность вибропогашения Определение амплитуд и декрементов колебаний при фиксированных (неоптимальных) параметрах гасителя Расчет сооружений с гасителями в случае, когда моделью сооружения не может служить система с одной степенью свободы 3. Ударные гасители колебаний Выбор типа гасителя колебаний и исходные данные для расчета Условия настройки ударных гасителей колебаний Маятниковый гаситель колебаний на системе с одной степенью свободы Пружинный гаситель колебаний на системе с одной степенью свободы Плавающий гаситель колебаний на системе с одной степенью свободы Приложение 1. Программа поверочного расчета сооружения с динамическими гасителями колебаний Приложение 2. Примеры расчетов динамических гасителей колебаний для случаев, когда моделью сооружения может служить система с одной степенью свободы Приложение 3. Конструктивные формы ударных гасителей колебаний | | Разработан: | ЦНИИСК им. В.А. Кучеренко
| | Утверждён: | ЦНИИСК им. В.А. Кучеренко Госстроя СССР
| | Издан: | Стройиздат (1978 г. )
|
                                                                   
|