Скачать Прогнозные коэффициенты инфляции на 2012 - 2014 годы (с фактическими коэффициентами инфляции за период 2010 - 2011 гг.) для формирования начальной (максимальной) цены государственного контракта, гражданско-правового договора при размещении заказа на выполнение работ по строительству, реконструкции, капитальному ремонту объектов капитального строительства и других строительных работ, выполняемых на объектах, не являющихся объектами капитального строительства, финансируемых с привлечением средств бюджета города МосквыДата актуализации: 01.01.2021
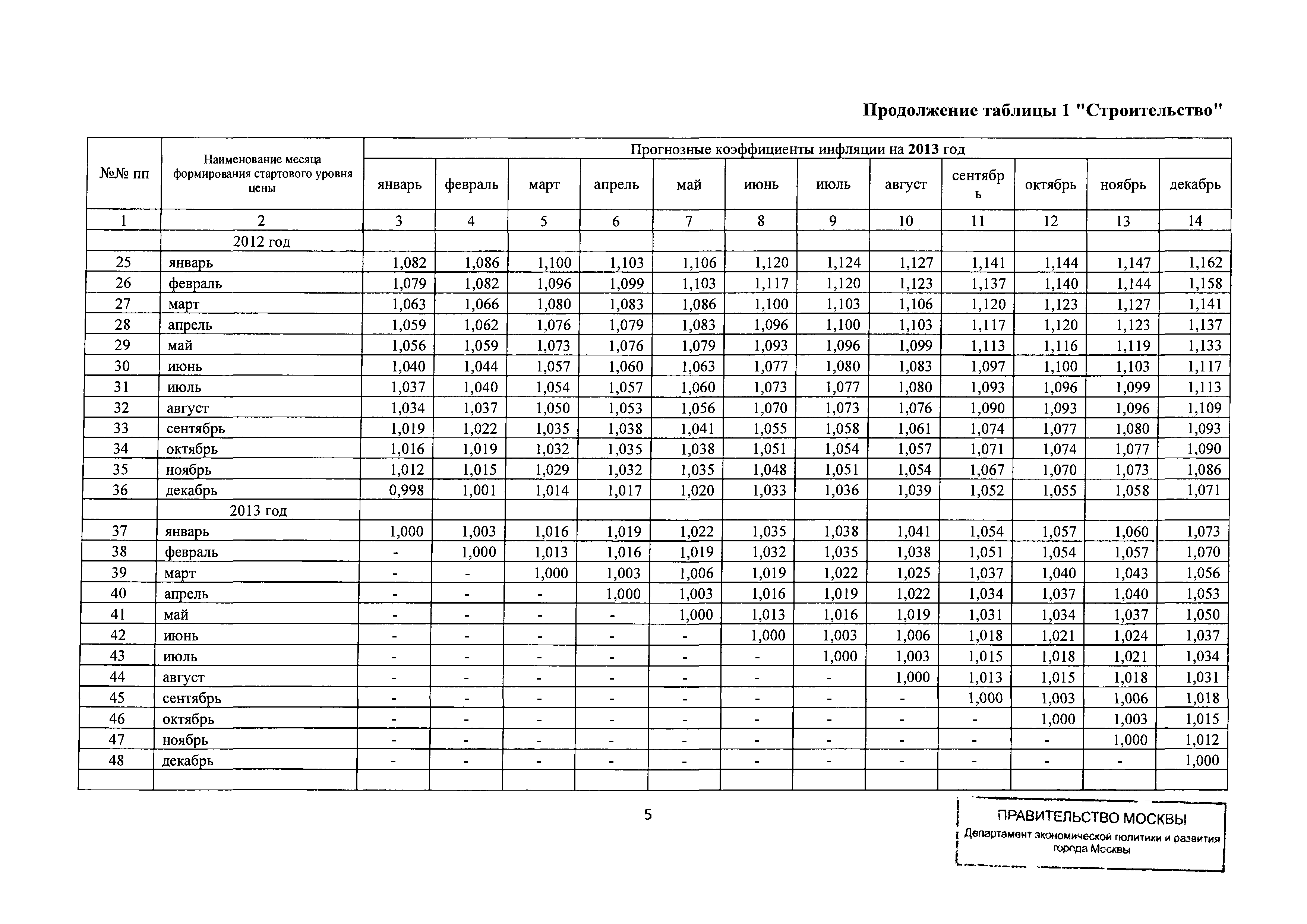
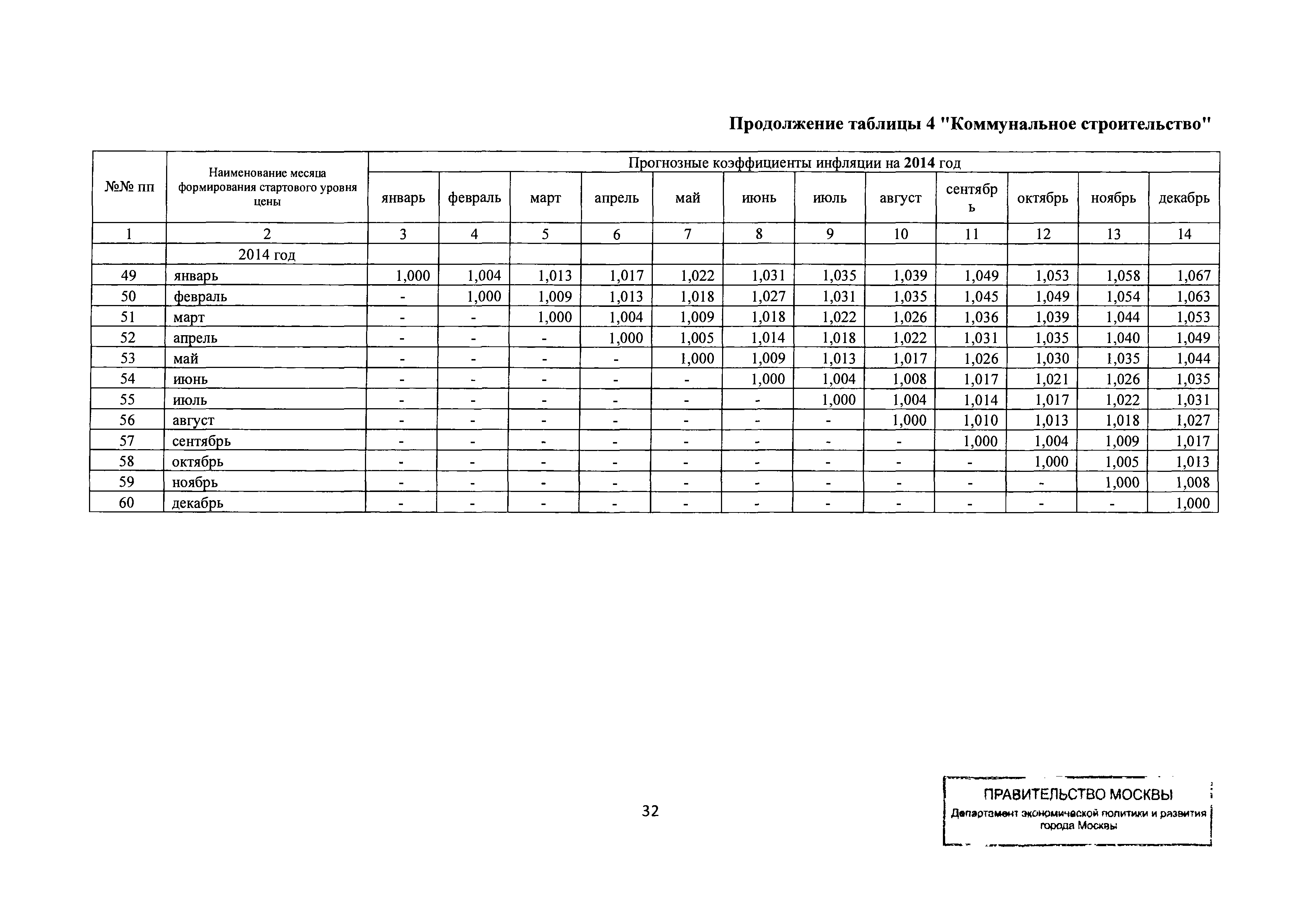
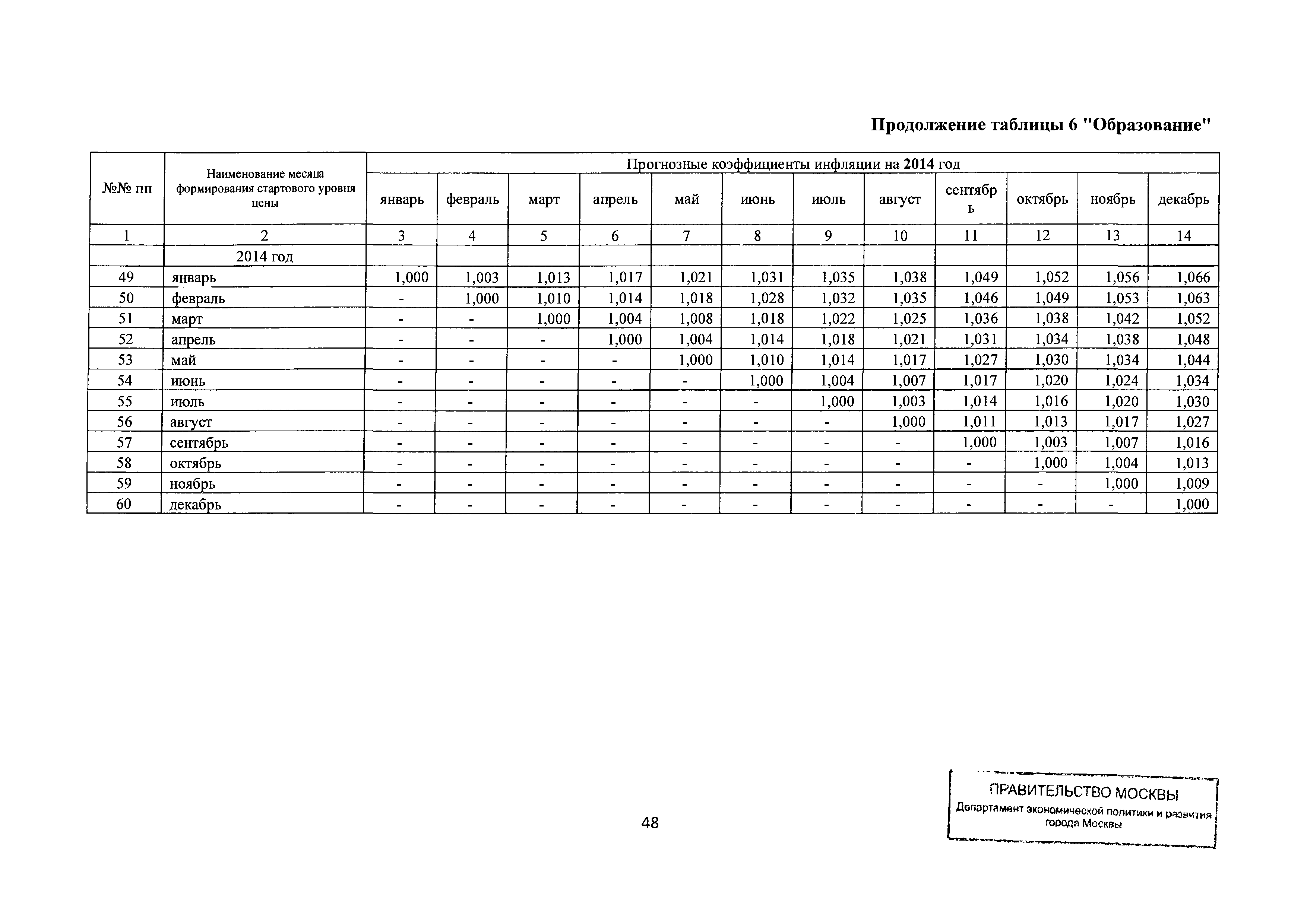
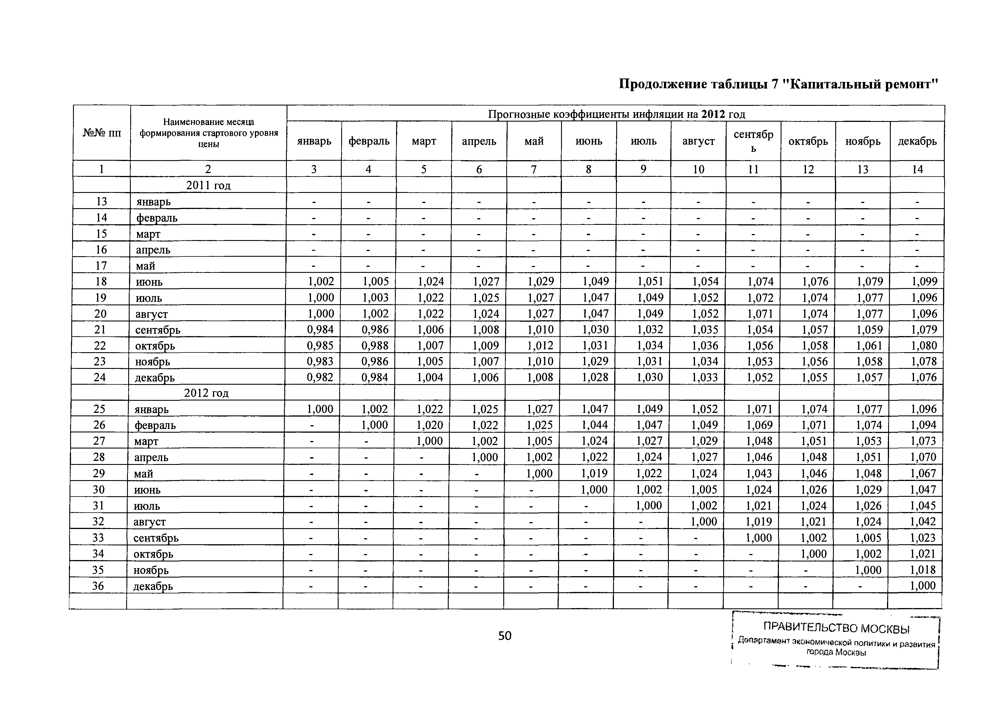
Прогнозные коэффициенты инфляции на 2012 - 2014 годы (с фактическими коэффициентами инфляции за период 2010 - 2011 гг.) для формирования начальной (максимальной) цены государственного контракта, гражданско-правового договора при размещении заказа на выполнение работ по строительству, реконструкции, капитальному ремонту объектов капитального строительства и других строительных работ, выполняемых на объектах, не являющихся объектами капитального строительства, финансируемых с привлечением средств бюджета города Москвы| Статус: | действует | | Название рус.: | Прогнозные коэффициенты инфляции на 2012 - 2014 годы (с фактическими коэффициентами инфляции за период 2010 - 2011 гг.) для формирования начальной (максимальной) цены государственного контракта, гражданско-правового договора при размещении заказа на выполнение работ по строительству, реконструкции, капитальному ремонту объектов капитального строительства и других строительных работ, выполняемых на объектах, не являющихся объектами капитального строительства, финансируемых с привлечением средств бюджета города Москвы | | Дата добавления в базу: | 01.09.2013 | | Дата актуализации: | 01.01.2021 | | Оглавление: | Таблица 1. Строительство Таблица 2. Жилищное строительство Таблица 3. Здравоохранение и спорт Таблица 4. Коммунальное строительство Таблица 5. Транспортное строительство Таблица 6. Образование Таблица 7. Капитальный ремонт | | Утверждён: | 22.02.2012 Департамент экономической политики и развития города Москвы (City of Moscow Department of Economic Policy and Development 3-Р)
|
                                                       
|