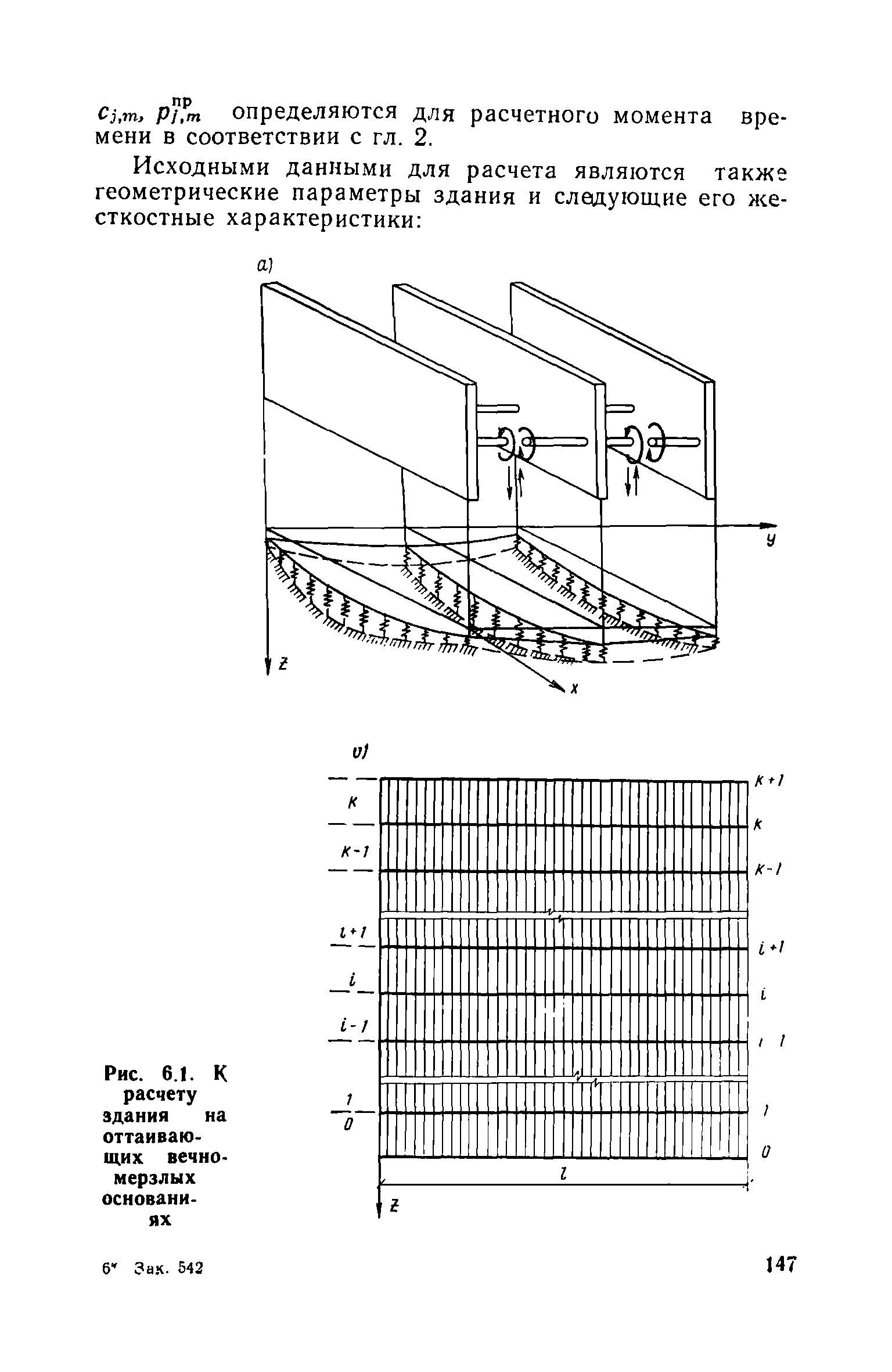
Скачать Руководство по проектированию конструкций панельных жилых зданий для особых грунтовых условийДата актуализации: 01.01.2021 |
| Статус: | действует |
| Название рус.: | Руководство по проектированию конструкций панельных жилых зданий для особых грунтовых условий |
| Дата добавления в базу: | 01.09.2013 |
| Дата актуализации: | 01.01.2021 |
| Область применения: | Документ распространяется на проектирование конструкций бескаркасных жилых зданий для строительства в особых грунтовых условиях: на неоднородных, просадочных, вечномерзлых грунтах и на подрабатываемых территориях. Даны рекомендации по выбору расчетной схемы деформируемого основания и рассчитываемого здания, по определению нагрузок на конструкции зданий и их расчету, а также по конструктивным решениям зданий. Для инженерно-технических работников проектных и научно-исследовательских организаций. |
| Оглавление: | Предисловие 1. Общие положения 2. Расчетные схемы деформирования оснований Основные положения Неоднородные грунты Просадочные грунты Подрабатываемые территории Оттаивающее вечномерзлое основание Определение параметров расчетной модели оттаивающего вечномерзлого основания 3. Общие указания по расчету зданий Основные положения Нагрузки и воздействия Расчетные схемы зданий 4. Определение обобщенных усилий при расчете здании Расчет на воздействие горизонтальных деформаций основания Просадочные грунты Пример 4.1 Подрабатываемые территории Расчет на воздействие вертикальных деформаций основания Обобщенные жесткостные характеристики здания Общий случай расчета зданий Алгоритм расчета балки на искривленном основании (общий случай) Пример 4.2 Частные случаи расчета балки на упругом основании Балка на основании с переменным коэффициентом жесткости Пример 4.3 Пример 4.4 Балка на основании со II типом грунтовых условий по просадочности Балка на искривленном линейно-деформируемом основании Пример 4.5 Пример 4.6 Балка на ступенчато-оседающем основании Расчет зданий на совместное воздействие горизонтальных и вертикальных деформаций основания с учетом нелинейной зависимости осадки основания от давления Пример 4.7 5. Определение усилий в конструкциях зданий Общая методика определения усилий в здании Использование эквивалентных механических характеристик панелей в общей методике определения усилий в здании Определение жесткости панельных стен Пример 5.1 Пример 5.2 6. Расчет зданий, расположенных на оттаивающих вечномерзлых основаниях Расчет с применением ЭВМ Определение жесткостных характеристик конструктивных элементов зданий Расчет без применения ЭВМ Определение обобщенных перемещений и усилий в здании Определение расчетных усилий в конструкциях здания Пример 6.1 Пример 6.2 7. Проектирование зданий Основные положения Здания, строящиеся на просадочных грунтах Основные мероприятия по уменьшению деформаций основания Особенности конструктивных решений зданий Здания, строящиеся на подрабатываемых территориях Конструктивные решения зданий Особенности конструктивных решений фундаментно-подвальной части зданий Здания. Строящиеся на вечномерзлых грунтах Конструктивные решения зданий Отдельные конструктивные элементы зданий, проектируемых на вечномерзлых грунтах Особенности конструктивных решений фундаментно-подвальной части зданий при строительстве на вечномерзлых грунтах 8. Особенности разработки и комплектации проектов здании для строительства в особых грунтовых условиях Разработка типового проекта Привязка типового проекта к конкретным геологическим условиям Определение области применения типового проекта здания при строительства на неравномерно сжимаемых грунтах Пример 8.1 Определение области применения типового проекта здания при строительстве на подрабатываемых территориях Пример 8.2 Литература |
| Разработан: | НИИСК Госстроя СССР ЛенЗНИИЭП Госгражданстроя ЦНИИСК им. В.А. Кучеренко КиевЗНИИЭП Госгражданстроя ВНИМИ Минуглепрома СССР НИИОСП им. Герсеванова Госстроя России Укргипропромсельстрой ЦНИИЭП жилища ДонпромстройНИИпроект |
| Утверждён: | НИИСК Госстроя СССР |
| Издан: | Стройиздат (1982 г. ) |
| Нормативные ссылки: |
|
















































































































































































































































































