Скачать Методика вероятностного расчета вместимости культурно-бытовых учреждений на основе действующих норм

Дата актуализации: 01.01.2021

Методика вероятностного расчета вместимости культурно-бытовых учреждений на основе действующих норм

Статус:справочные материалы, мп, тпр
Название рус.:Методика вероятностного расчета вместимости культурно-бытовых учреждений на основе действующих норм
Дата добавления в базу:01.09.2013
Дата актуализации:01.01.2021
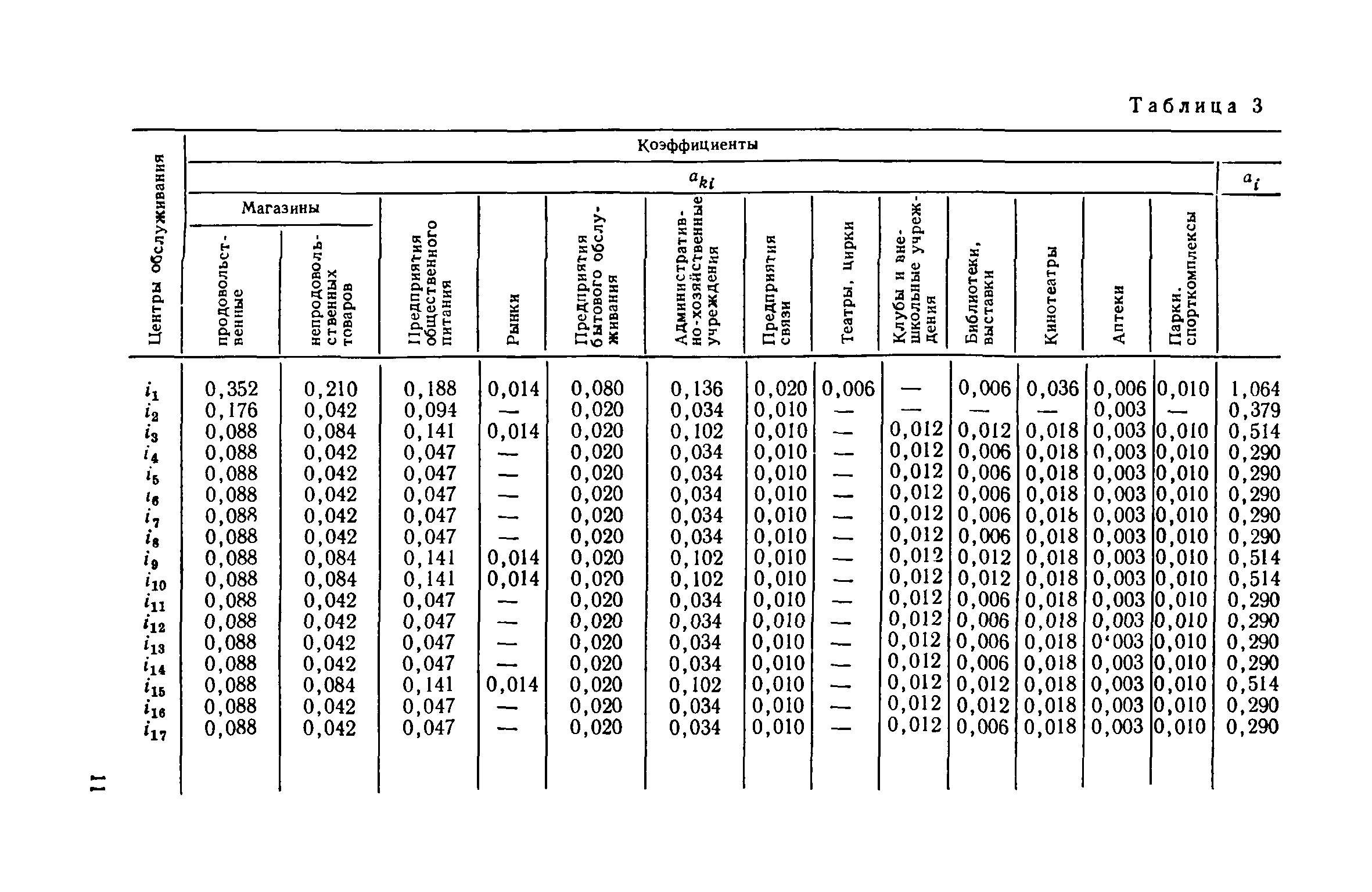
Область применения:В документе приведена методика вероятностного расчета вместимости культурно-бытовых учреждений, позволяющая учесть специфику их функционирования и размещения, выявлены недостатки в существующих методах расчета, основные закономерности передвижения населения на городской территории и факторы, определяющие помещаемость культурно-бытовых учреждений, а также приведены исходные данные для расчета на примере конкретного города и анализ получаемых результатов. Для проектировщиков, занимающихся организацией системы массового культурно-бытового обслуживания, а также разрабатывающих проекты зданий и комплексов, формирующих эту систему.
Оглавление:Предисловие
1. Общие положения
2. Структура расчета
3. Параметры расчета
4. Исходные данные для расчета
5. Анализ результатов расчета
6. Преимущества и применение методики вероятностного расчета
Разработан: ЦНИИЭП учебных зданий Госгражданстроя
Утверждён: НТС ЦНИИЭП учебных зданий Госгражданстроя
Издан: Стройиздат (1983 г. )
Нормативные ссылки: