Скачать ГОСТ Р 54708-2011 Система цифрового звукового радиовещания DRM. Протокол распределения и коммуникации (DCP)Дата актуализации: 01.01.2021
|
| Обозначение: | ГОСТ Р 54708-2011 |
| Обозначение англ: | GOST R 54708-2011 |
| Статус: | введен впервые |
| Название рус.: | Система цифрового звукового радиовещания DRM. Протокол распределения и коммуникации (DCP) |
| Название англ.: | Digital audio broadcasting system DRM. Distribution and communication protocol (DCP) |
| Дата добавления в базу: | 01.09.2013 |
| Дата актуализации: | 01.01.2021 |
| Дата введения: | 01.09.2012 |
| Область применения: | Стандарт относится к системе DRM, осуществляющей цифровое звуковое вещание в соответствии ETSI [1]. Стандарт устанавливает требования для распределения в системе DRM коммуникаций общего применения, подходящих для многоадресной передачи данных многим получателям (абонентам), использующим однонаправленные сети связи. |
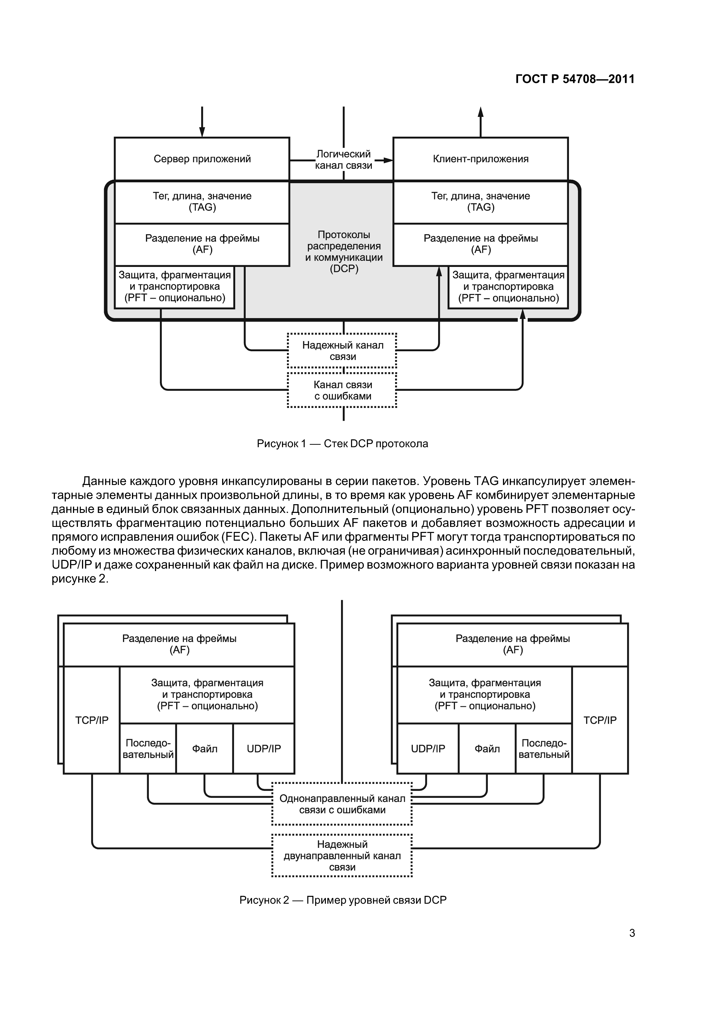
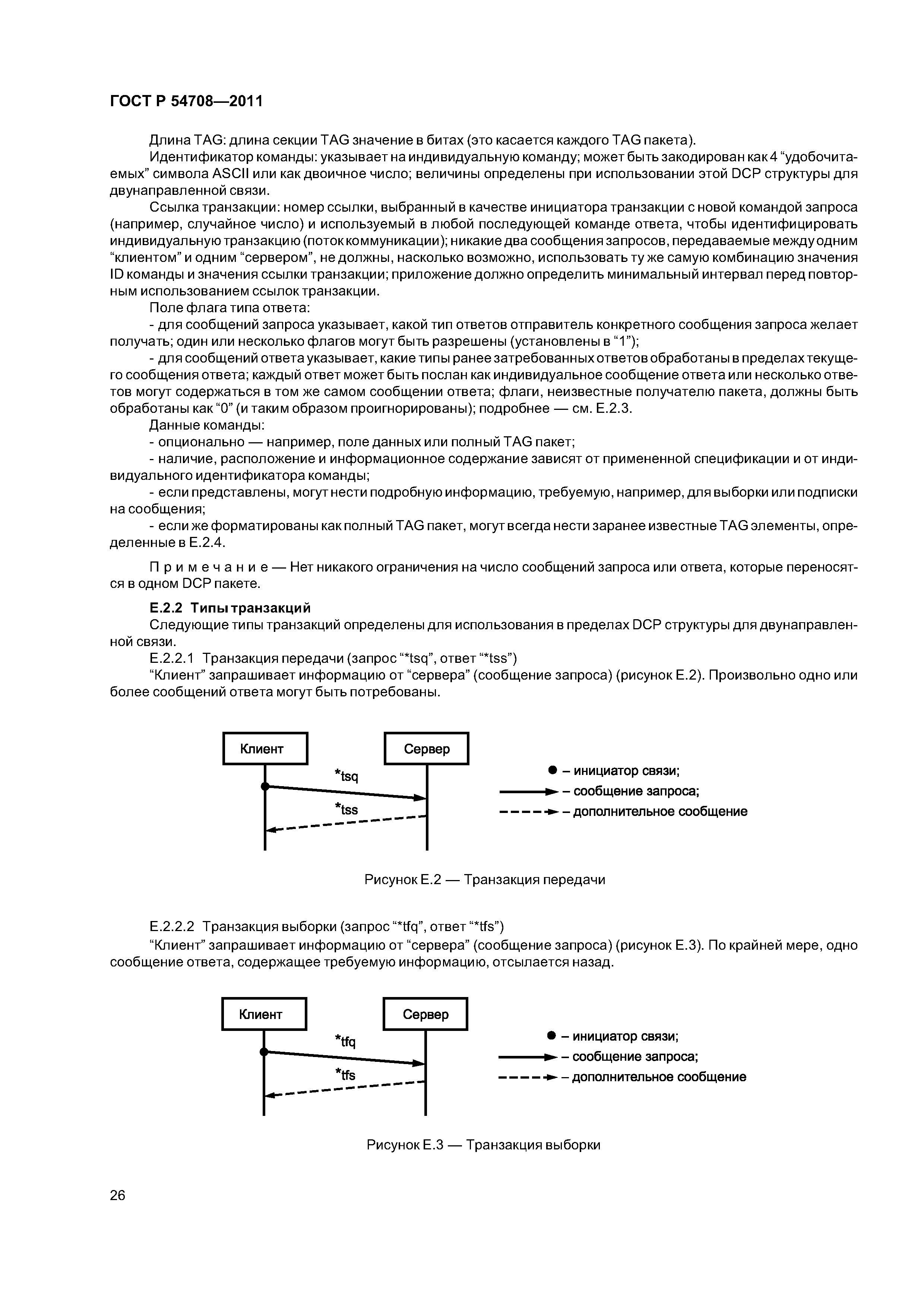
| Оглавление: | 1 Область применения 2 Нормативные ссылки 3 Термины, определения, обозначения и сокращения 4 Общее описание 4.1 Обзор системы 4.2 Архитектура системы 4.2.1 TAG элементы, AF пакеты и PFT фрагменты 5 TAG уровень 5.1 TAG пакет 5.1.1 Основные правила 5.2 TAG элемент 5.2.1 Иерархические TAG элементы - пример кодирования 5.2.2 Специальные TAG элементы 5.2.2.1 Тип протокола и версия, *prt 5.2.2.1.1 Нумерация версий 5.2.2.2 Фиктивное заполнение, *dmy 6 Уровень разделения на фреймы 6.1 Структура AF пакета 6.2 История версий 7 Уровень PFT 7.1 Структура фрагмента PFT 7.2 Определения 7.2.1 Известные значения 7.2.2 Расчетные значения 7.3 Кодирование 7.3.1 Код Рида-Соломона 7.3.2 Фрагментация 7.3.3 Транспортная адресация 7.4 Процесс декодирования 7.4.1 Синхронизация 7.4.2 Транспортная адресация 7.4.3 Дефрагментация 7.4.4 Декодирование Рида-Соломона Приложение А (обязательное) Расчет слова СЕС Приложение Б (обязательное) Физическое отображение Б.1 Пакетные связи Б.1.1 UDO/IP Б.2 Потоковые связи Б.3 Файл Б.3.1 Файл IO(fiо_) В.3.1.1 IDCP через UDP/IР В.3.1.2 Метка времени (time) Приложение В (справочное) Сигнализация основных уровней передачи и параметров В.1 DCP через UDP/IP В.2 DCP через транспарентные (последовательные) каналы связи В.3 DCP в/из файла с использованием файла IO В.4 DCP через TCP/IP Приложение Г (обязательное) DCP профили и DCP параметры Г.1 Определения профилей DCP Г.1.1 Профиль А DCP Г.1.2 Профиль В DCP Г.1.3 Профиль С DCP Г.2 Определения параметров DCP Г.2.1 AFRevision Г.2.2 AFMaxLen Г.2.3 PFTMaxLen Г.2.4 PFTMaxFragCnt Г.2.5 PFTMaxAFFragCache Приложение Д (справочное) Рекомендации по реализации DCP Д.1 Используемый интерфейс Д.2 Переупорядочение AF пакетов Д.3 Ошибочное поведение Приложение Е (справочное) DCP структура двунаправленной связи Е.1 Типовые требования связи Е.1.1 Транзакции Е.1.2 Классы транзакций Е.1.2.1 Транзакция передачи Е.1.2.2 Транзакция выборки Е.1.2.3 Транзакция подписки/отказа от подписки Е.2 DCP пакет сообщения Е.2.1 Общая структура Е.2.2 Типы транзакций Е.2.2.1 Транзакция передачи Е.2.2.2 Транзакция выборки Е.2.2.3 Транзакция подписки/отказа от подписки. Транзакция доставки Е.2.3 Поле флага типа ответа Е.2.4 данные команды Е.2.4.1 Поле данных команды, несущее полный TAG пакет Е.2.4.2 Связанные данные команды в главном уровне иерархии пакета сообщения Библиография |
| Разработан: | ФГУП ВНИИНМАШ Филиал ФГУП НИИР - СОНИИР |
| Утверждён: | 13.12.2011 Росстандарт (869-ст) |
| Издан: | Стандартинформ (2012 г. ) |
| Нормативные ссылки: |


































