Скачать ГОСТ Р 54725-2011 Глобальная навигационная спутниковая система. Системы диспетчерского управления грузовым автомобильным транспортом. Требования к архитектуре, функциям и решаемым задачам системы диспетчерского управления перевозками нефтепродуктовДата актуализации: 01.01.2021
|
| Обозначение: | ГОСТ Р 54725-2011 |
| Обозначение англ: | GOST R 54725-2011 |
| Статус: | введен впервые |
| Название рус.: | Глобальная навигационная спутниковая система. Системы диспетчерского управления грузовым автомобильным транспортом. Требования к архитектуре, функциям и решаемым задачам системы диспетчерского управления перевозками нефтепродуктов |
| Название англ.: | Global navigation satellite system. Dispatcher control systems for cargo motor transport. Requirements to architecture, functions and tasks to be solved of dispatcher control system for oil product transportation |
| Дата добавления в базу: | 01.09.2013 |
| Дата актуализации: | 01.01.2021 |
| Дата введения: | 01.09.2012 |
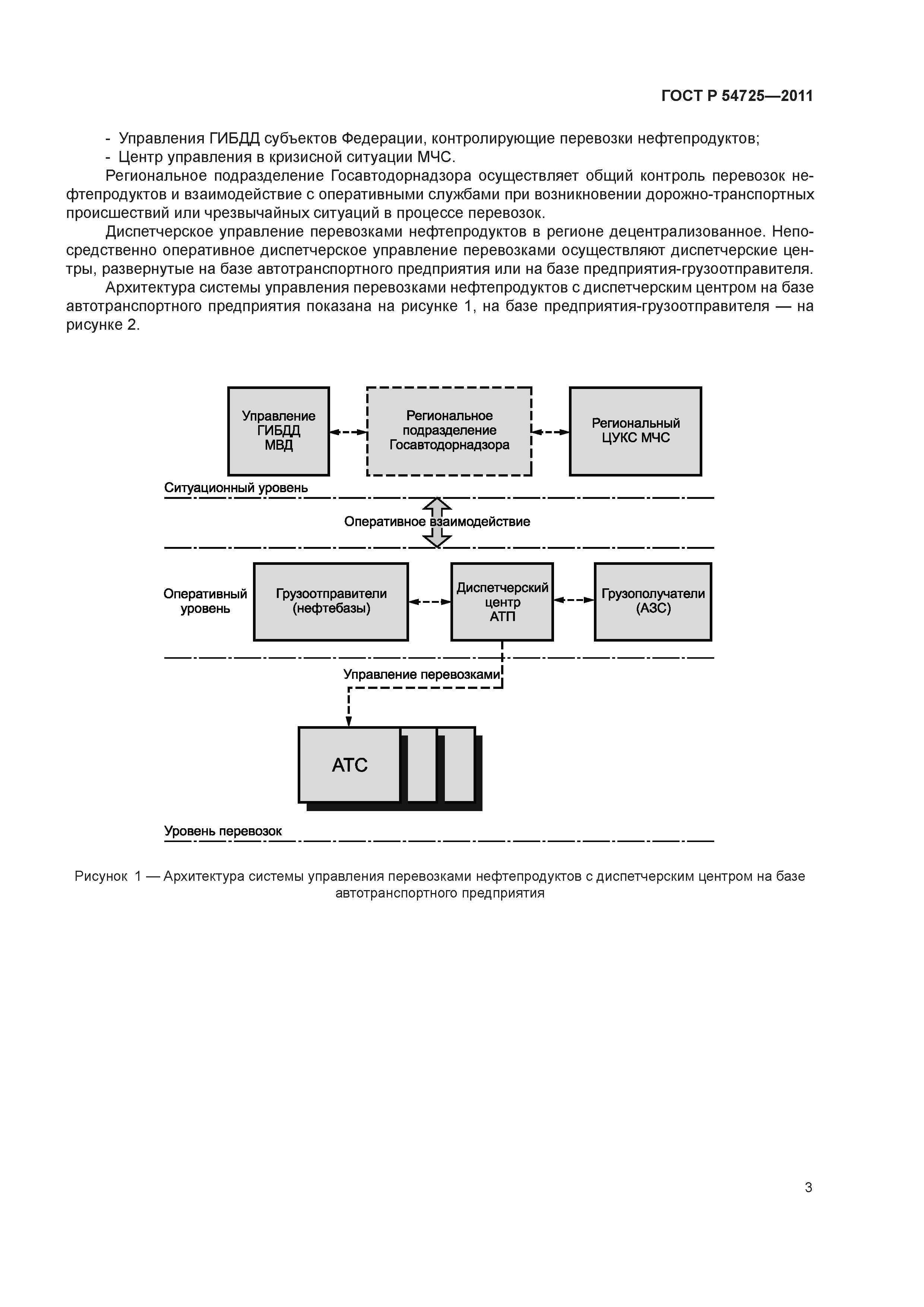
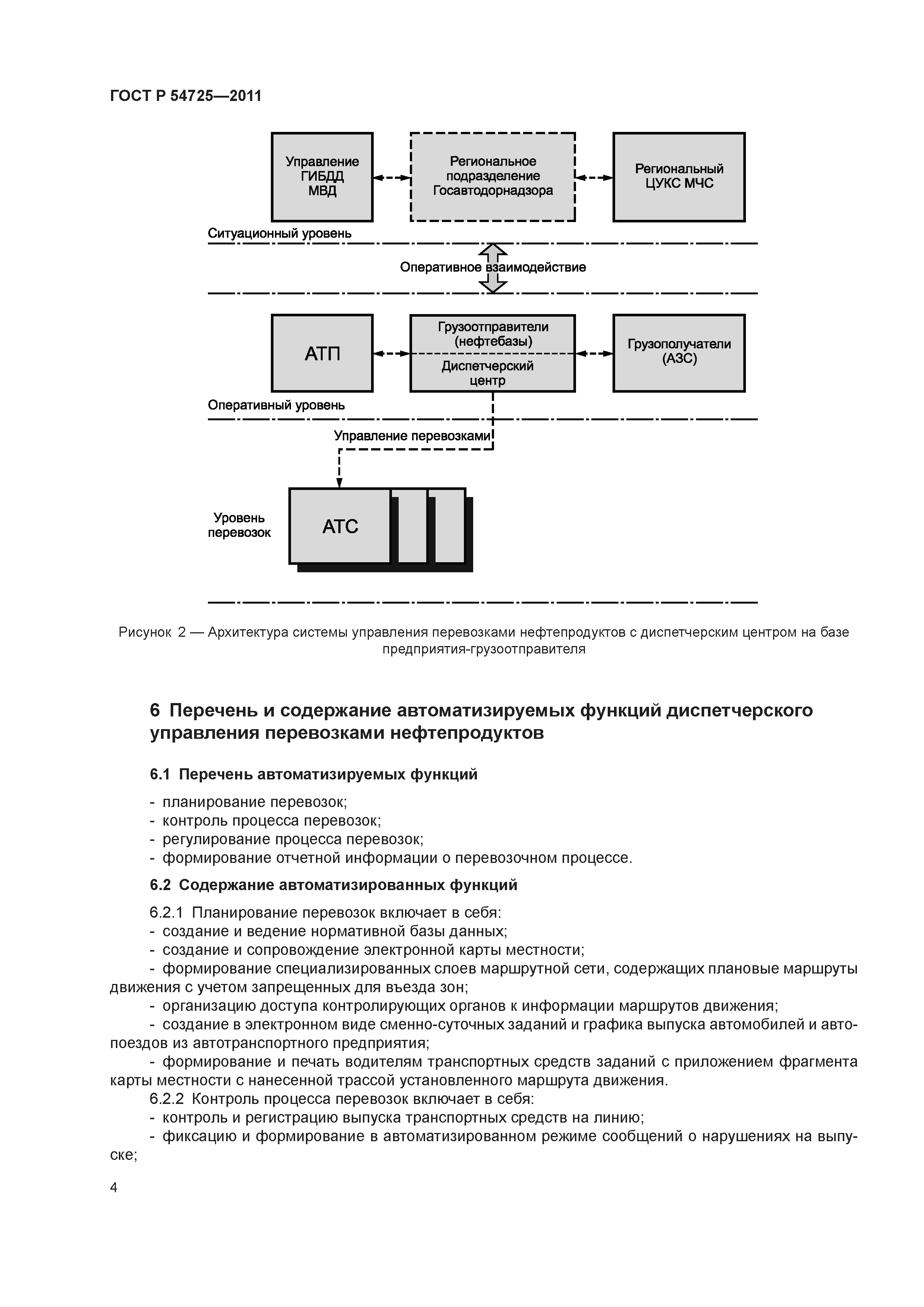
| Область применения: | Стандарт распространяется на системы диспетчерского управления грузовым автомобильным транспортом, созданные на основе применения глобальной навигационной спутниковой системы Российской Федерации (ГЛОНАСС). Стандарт устанавливает требования к архитектуре, функциям и решаемым задачам навигационных диспетчерских систем управления специализированным грузовым автомобильным транспортом, осуществляющим перевозки нефтепродуктов. |
| Оглавление: | 1 Область применения 2 Нормативные ссылки 3 Термины и определения 4 Обозначения и сокращения 5 Архитектура системы 6 Перечень и содержание автоматизируемых функций диспетчерского управления перевозками нефтепродуктов 7 Основные действия системы управления при возникновении непредвиденных обстоятельств в процессе перевозок 8 Действия системы при возникновении дорожно-транспортных происшествий и чрезвычайных ситуаций |
| Разработан: | ЗАО НПП Транснавигация |
| Утверждён: | 13.12.2011 Федеральное агентство по техническому регулированию и метрологии (886-ст) |
| Издан: | Стандартинформ (2012 г. ) Стандартинформ (2018 г. ) |
| Нормативные ссылки: |
|











