Скачать Рекомендации по проектированию очистки русел рек от загрязненных донных отложений

Дата актуализации: 01.01.2021

Рекомендации по проектированию очистки русел рек от загрязненных донных отложений

Статус:не действует
Название рус.:Рекомендации по проектированию очистки русел рек от загрязненных донных отложений
Дата добавления в базу:01.09.2013
Дата актуализации:01.01.2021
Область применения:Рекомендации предназначены для использования при проектировании очистки русел рек от загрязненных донных отложений в целях обеспечения нормативных показателей качества речной воды и санитарного состояния водотока и предотвращения вторичного загрязнения.
Оглавление:Введение. Причины прогрессирующего загрязнения и заиления речных русел
1 Общие положения
2 Критерии необходимости очистки русла от загрязненных донных отложений
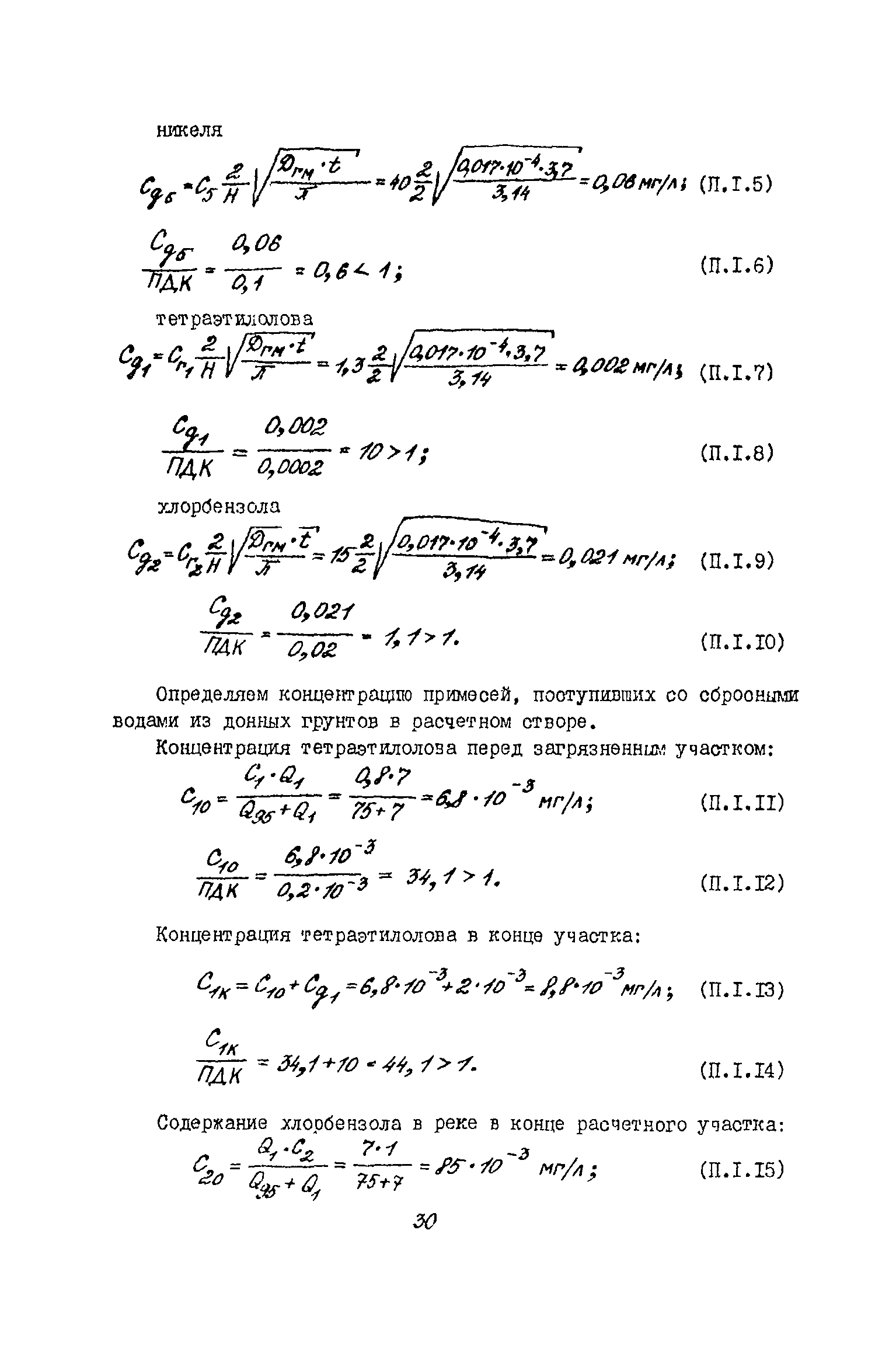
3 Исходные данные и инженерные изыскания при проектировании очистки русла
4 Принципы проектирования очертаний очищенного русла и его благоустройства
5 Технологические схемы очистки русла
6 Водоохранные мероприятия при производстве работ по очистке русла
7 Мероприятия по предотвращению повторного загрязнения очищенных участков
8 Основы гидравлического моделирования руслового процесса при проектировании очистки русла
Приложения
Разработан: МИСИ им. В.В. Куйбышева
УралНИИВХ
Утверждён:06.07.1984 Минводхоз РСФСР (Russian Federation Minvodkhoz 73)