Скачать Рекомендации по оптимальному проектированию железобетонных конструкцийДата актуализации: 01.01.2021
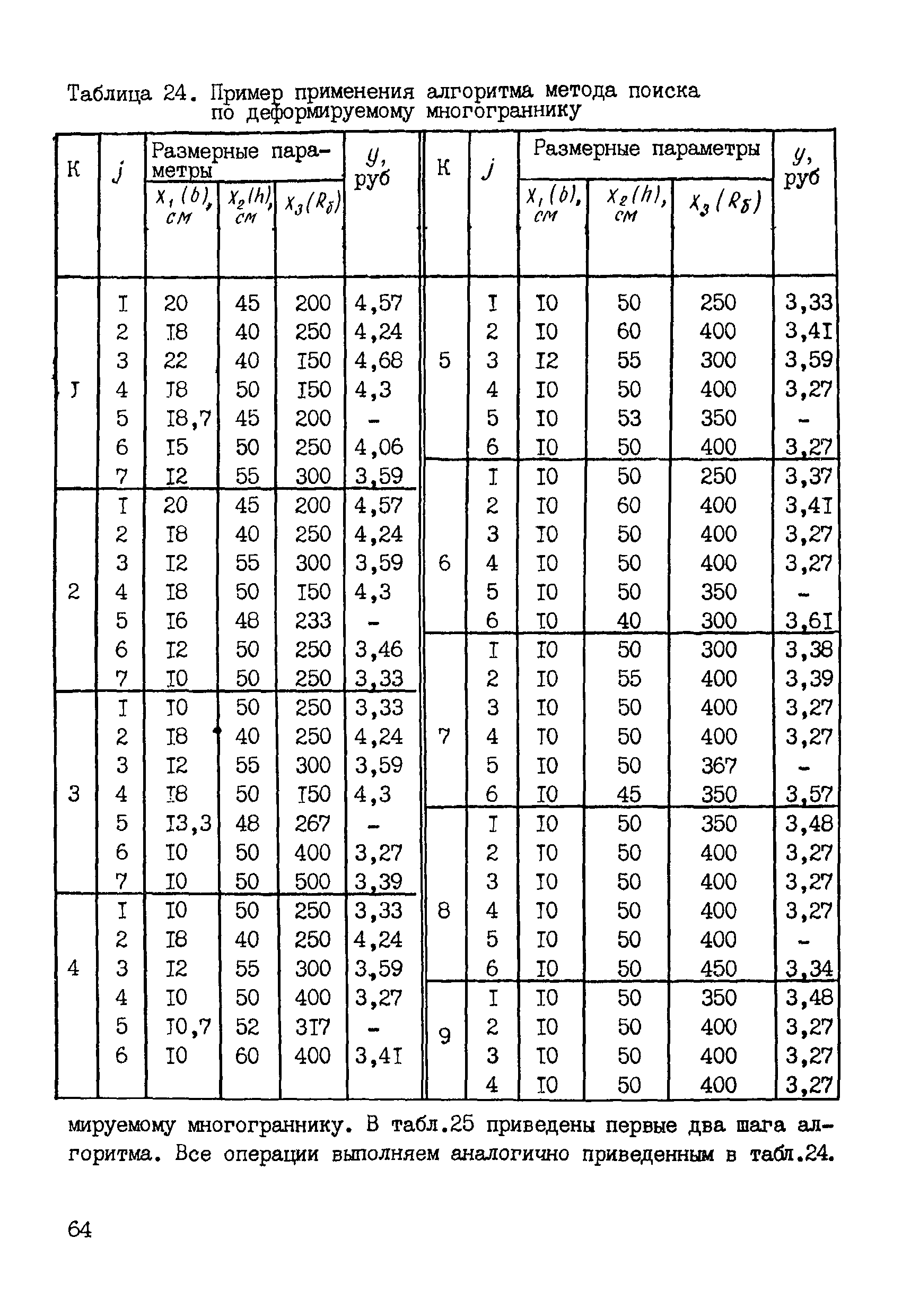
Рекомендации по оптимальному проектированию железобетонных конструкций| Статус: | справочные материалы, мп, тпр | | Название рус.: | Рекомендации по оптимальному проектированию железобетонных конструкций | | Дата добавления в базу: | 01.09.2013 | | Дата актуализации: | 01.01.2021 | | Область применения: | Рекомендации содержат принципиальные положения по оптимальному проектированию железобетонных конструкций, методы, алгоритмы и программы решения различных задач оптимального проектирования железобетонных конструкций как на ЭВМ, так и "вручную". В приложениях приведены вспомогательные материалы и примеры расчета. Рекомендации предназначены для инженеров—проектировщиков, специалистов вычислительных центров, научных сотрудников, занимающихся разработкой новых железобетонных конструкций и созданием систем их автоматизированного проектирования, а также для студентов строительных специальностей. | | Оглавление: | Предисловие 1. Общие указания Основные положения Основные определения Тестовый пример оптимизации железобетонного изгибаемого элемента прямоугольного сечения 2. Общие принципы оптимального проектирования железобетонных конструкций Целевая функция и переменные параметры Выбор внешних и внутренних переменных параметров. Построение решений внешней и внутренней задач оптимизации железобетонных конструкций Нормирование и округление внешних переменных параметров. Движение Назначение начальных приближений 3. Алгоритмы решения внешней задачи оптимизации на основе теории планирования экстремальных экспериментов Основные положения Линейные планы Примеры расчета 4. Алгоритмы решения внешней задачи оптимизации на основе методов безусловной минимизации Основные положения Основные операции алгоритмов Примеры расчета 5. Алгоритмы решения многоэкстремальных задач оптимального проектирования железобетонных конструкций Основные положения Основные операции алгоритмов Примеры расчета 6. Решение многокритериальных задач оптимального проектирования железобетонных конструкций Основные положения Алгоритмы решения многокритериальных задач Примеры расчета 7. Оптимальное проектирование номенклатур типовых железобетонных изделий Основные положения Методы решения задач Примеры расчета Приложение 1. Универсальные программы оптимизации. Оптимизация отдельных железобетонных конструкций и унифицированных серий Приложение 2. Решение внутренней задачи оптимизации элемента, работающего на косое внецентренное сжатие Приложение 3. Оптимизация предварительно напряженной двутавровой балки Приложение 4. Оптимизация кольцевого фундамента под дымовую трубу Приложение 5. Оптимизация вспарушенных плит Приложение 6. Таблицы результатов опытов решения тестового примера оптимизации изгибаемого элемента прямоугольного сечения Приложение 7. Таблица случайных чисел Приложение 8. Основные принципы оптимизации железобетонных конструкций | | Разработан: | НИИЖБ Госстроя СССР
| | Утверждён: | 13.09.1979 НИИЖБ Госстроя СССР (NIIZhB, USSR Gosstroy )
| | Издан: | НИИЖБ (1981 г. )
|
                                                                                                                                                                         
|