Скачать ГОСТ Р 54500.3.1-2011 Неопределенность измерения. Часть 3. Руководство по выражению неопределенности измерения. Дополнение 1. Трансформирование распределений с использованием метода Монте-КарлоДата актуализации: 01.01.2021
|
| Обозначение: | ГОСТ Р 54500.3.1-2011 |
| Обозначение англ: | GOST R 54500.3.1-2011 |
| Статус: | отменен |
| Название рус.: | Неопределенность измерения. Часть 3. Руководство по выражению неопределенности измерения. Дополнение 1. Трансформирование распределений с использованием метода Монте-Карло |
| Название англ.: | Uncertainty of measurement. Part 3. Guide to the expression of uncertainty in measurement. Supplement 1. Propagation of distributions using a Monte Carlo method |
| Дата добавления в базу: | 01.09.2013 |
| Дата актуализации: | 01.01.2021 |
| Дата введения: | 01.10.2012 |
| Дата окончания срока действия: | 01.09.2018 |
| Область применения: | В стандарте установлен численный метод, согласующийся с основными принципами GUM [Руководство ИСО/МЭК 98-3 (G.1.5)] и предназначенный для получения оценки неопределенности измерения. Этот метод может быть применен к любым моделям, имеющим единственную выходную величину, в которых входные величины характеризуются любыми заданными функциями распределения вероятностей [Руководство ИСО/МЭК 98-3]. |
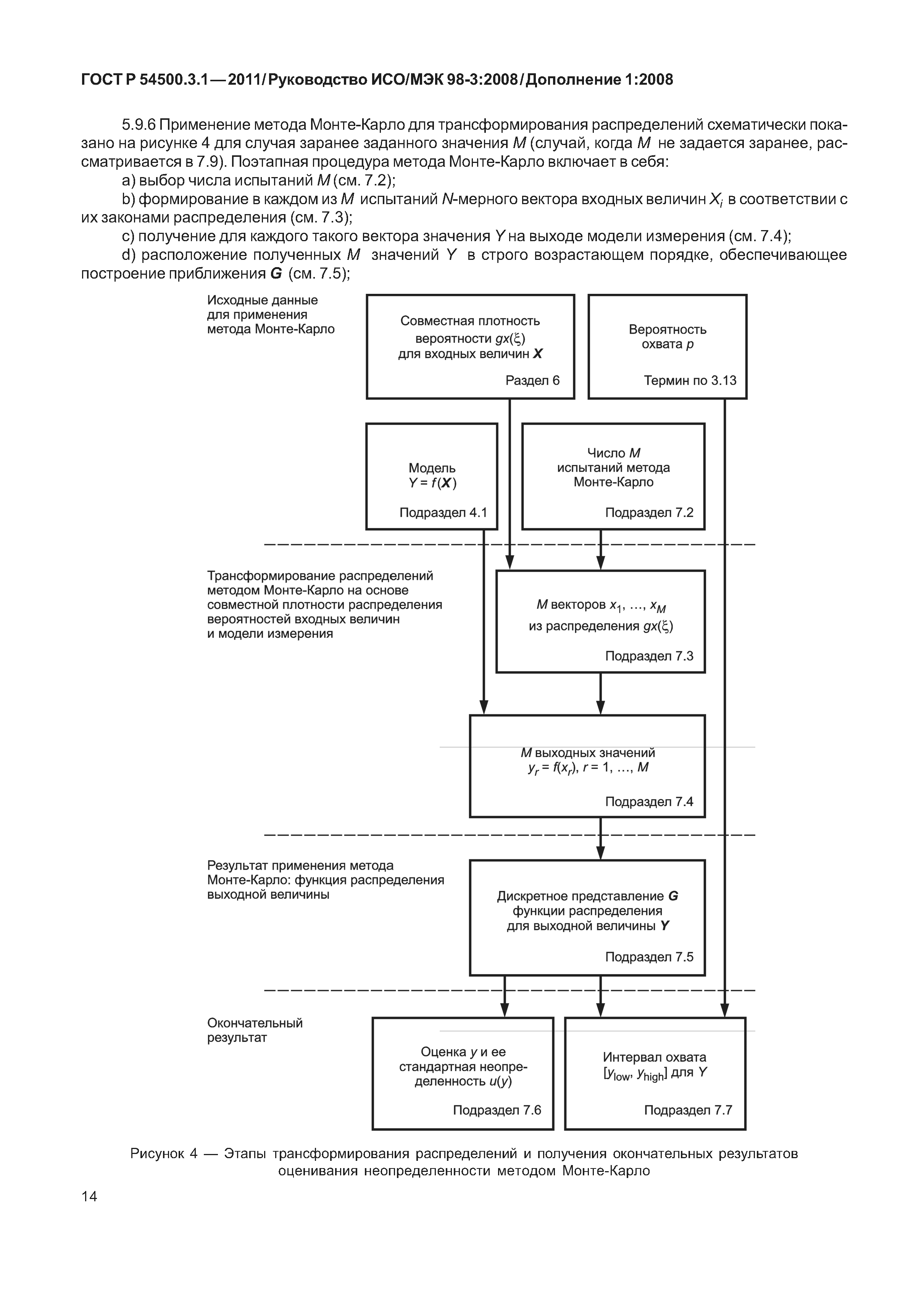
| Оглавление: | 1 Область применения 2 Нормативные ссылки 3 Термины и определения 4 Соглашения и условные обозначения 5 Общие принципы 6 Плотности распределения вероятностей входных величин 7 Применение метода Монте-Карло 8 Проверка результатов 9 Примеры Приложение А (справочное) Историческая справка Приложение В (справочное) Коэффициенты чувствительности и бюджет неопределенности Приложение С (справочное) Формирование выборок из распределений вероятностей Приложение D (справочное) Непрерывная аппроксимация функции распределения выходной величины Приложение Е (справочное) Интервал охвата для свертки четырех прямоугольных распределений Приложение F (справочное) Задача определения коэффициента рассогласования Приложение G (справочное) Основные обозначения Приложение ДА (справочное) Сведения о соответствии ссылочных международных документов национальным стандартам Российской Федерации Библиография |
| Разработан: | ФГУП ВНИИМ им. Д. И. Менделеева АНО НИЦ КД |
| Утверждён: | 16.11.2011 Федеральное агентство по техническому регулированию и метрологии (555-ст) |
| Издан: | Стандартинформ (2012 г. ) Стандартинформ (2013 г. ) |
| Нормативные ссылки: |

















































































