Скачать ГОСТ Р ИСО 20282-1-2011 Эргономика изделий повседневного использования. Часть 1. Требования к конструкции элементов управления с учетом условий использования и характеристик пользователяДата актуализации: 01.01.2021
|
| Обозначение: | ГОСТ Р ИСО 20282-1-2011 |
| Обозначение англ: | GOST R ISO 20282-1-2011 |
| Статус: | введен впервые |
| Название рус.: | Эргономика изделий повседневного использования. Часть 1. Требования к конструкции элементов управления с учетом условий использования и характеристик пользователя |
| Название англ.: | Ergonomics of everyday products. Part 1. Design requirements for controls with respect to context of use and user characteristics |
| Дата добавления в базу: | 01.09.2013 |
| Дата актуализации: | 01.01.2021 |
| Дата введения: | 01.12.2012 |
| Область применения: | Стандарт устанавливает требования к разработке удобных в управлении изделий повседневного использования с учетом характеристик пользователей и условий использования в тех случаях, когда удобство управления пользовательским интерфейсом характеризуют таким показателем как пригодность использования. В стандарте приведены также рекомендации по выполнению этих требований. Стандарт предназначен для использования при разработке изделий повседневного использования, для которых в стандарте: - определено понятие удобства управления; - установлены важные аспекты условий использования; - установлены характеристики предполагаемой совокупности пользователей, влияющие на пригодность использования. Предполагаемыми пользователями стандарта являются специалисты по пригодности использования, эргономисты, разработчики изделий, интерфейсов, изготовители продукции и другие специалисты, участвующие в разработке и проектировании изделий повседневного использования. |
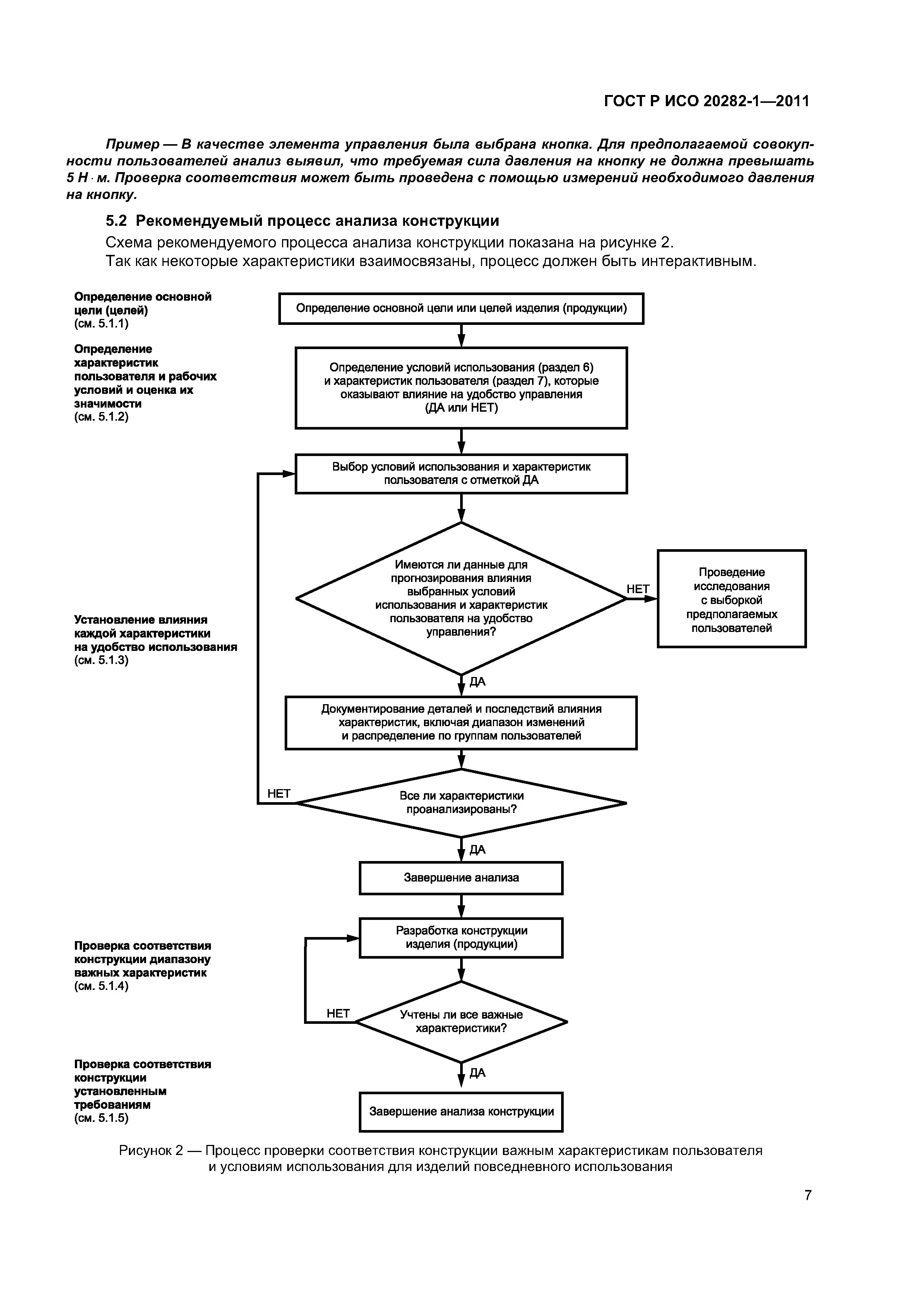
| Оглавление: | 1 Область применения 2 Соответствие условиям использования и характеристикам пользователя 3 Термины и определения 4 Удобство управления 5 Требования к анализу и документации 6 Условия использования 7 Характеристики пользователя Приложение А (справочное) Характеристики пользователя. дополнительная информация Приложение В (справочное) Удобство управления как составная часть понятия пригодность использования Библиография |
| Разработан: | АНО НИЦ КД |
| Утверждён: | 07.12.2011 Федеральное агентство по техническому регулированию и метрологии (724-ст) |
| Издан: | Стандартинформ (2012 г. ) |



























