Скачать Письмо 23167-АП/08 Рекомендуемые к применению в III квартале 2012 года индексы изменения сметной стоимости строительно-монтажных работ, индексы изменения сметной стоимости пусконаладочных работ, индексы изменения сметной стоимости проектных и изыскательских работ, индексы изменения сметной стоимости прочих работ и затрат, а также индексы изменения сметной стоимости оборудования. (Уточненная редакция)Дата актуализации: 01.01.2021
|
| Обозначение: | Письмо 23167-АП/08 |
| Обозначение англ: | Notice 23167-АП/08 |
| Статус: | информационный документ |
| Название рус.: | Рекомендуемые к применению в III квартале 2012 года индексы изменения сметной стоимости строительно-монтажных работ, индексы изменения сметной стоимости пусконаладочных работ, индексы изменения сметной стоимости проектных и изыскательских работ, индексы изменения сметной стоимости прочих работ и затрат, а также индексы изменения сметной стоимости оборудования. (Уточненная редакция) |
| Дата добавления в базу: | 01.09.2013 |
| Дата актуализации: | 01.01.2021 |
| Дата введения: | 03.09.2012 |
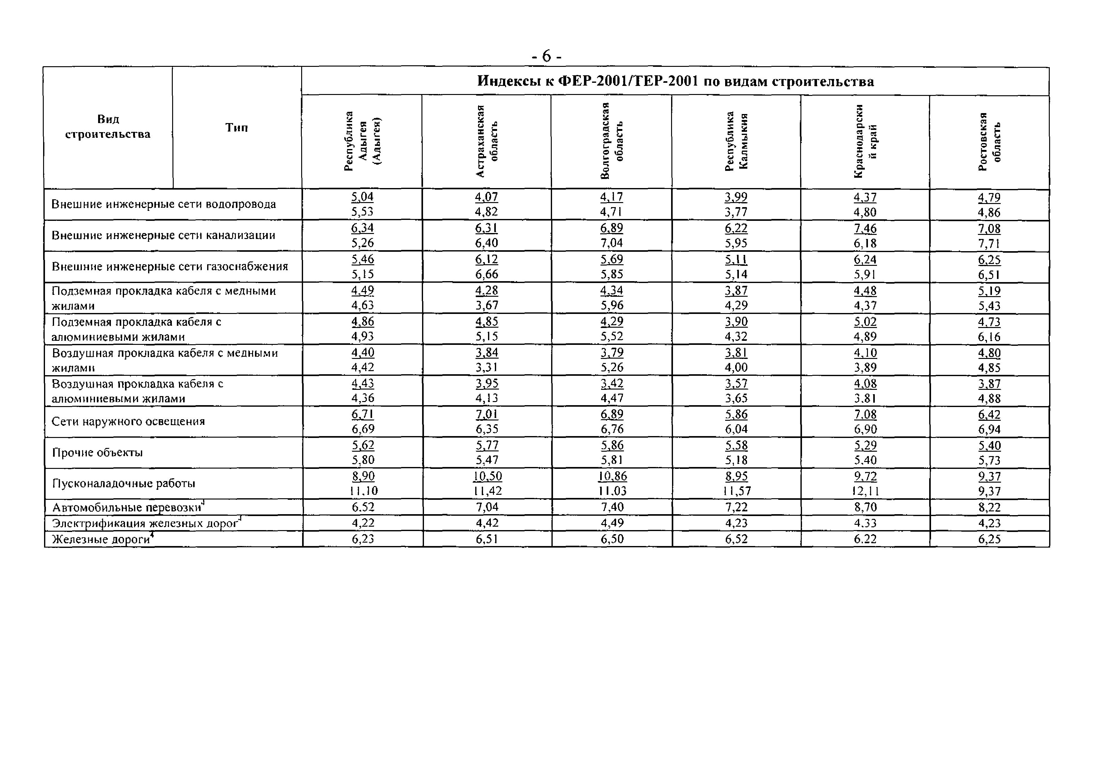
| Область применения: | Индексы предназначены для формирования начальной (максимальной) цены торгов при подготовке конкурсной документации, общеэкономических расчетов в инвестиционной сфере для объектов капитального строительства, финансирование которых осуществляется с привлечением средств федерального бюджета. Для взаиморасчетов за выполненные работы указанные индексы не предназначены. |
| Оглавление: | Приложение 1 Индексы изменения сметной стоимости строительно-монтажных работ по видам строительства и пусконаладочных работ, определяемых с применением федеральных и территориальных единичных расценок на III квартал 2012 года Приложение 2 Индексы изменения сметной стоимости строительно-монтажных работ, определяемых с применением отраслевой сметно-нормативной базы на III квартал 2012 года Приложение 3 Индексы изменения сметной стоимости проектных и изыскательских работ на III квартал 2012 года Приложение 4 Индексы изменения сметной стоимости прочих работ и затрат к уровню цен по состоянию на 01.01.2000 на III квартал 2012 года Приложение 5 Индексы изменения сметной стоимости оборудования на III квартал 2012 года |
| Утверждён: | 03.09.2012 Минрегион России (23167-АП/08) |
| Нормативные ссылки: |
|
























