Скачать ГОСТ Р 54428-2011 Системы технические энергетические. Методы анализа. Часть 1. Основные положенияДата актуализации: 01.01.2021
|
| Обозначение: | ГОСТ Р 54428-2011 |
| Обозначение англ: | GOST R 54428-2011 |
| Статус: | введен впервые |
| Название рус.: | Системы технические энергетические. Методы анализа. Часть 1. Основные положения |
| Название англ.: | Technical energy systems. Methods for analysis. Part 1. Basic principles |
| Дата добавления в базу: | 01.09.2013 |
| Дата актуализации: | 01.01.2021 |
| Дата введения: | 01.07.2012 |
| Область применения: | Стандарт применяется для анализа, определения характеристик и сравнения технических энергетических систем с учетом всех входных и выходных факторов, в том числе факторов риска. Настоящий стандарт содержит правила и рекомендации для такого анализа. Стандарт предназначен для установления связей между входными и выходными факторами и, таким образом, способствует подтверждению соответствия, классификации и маркированию. |
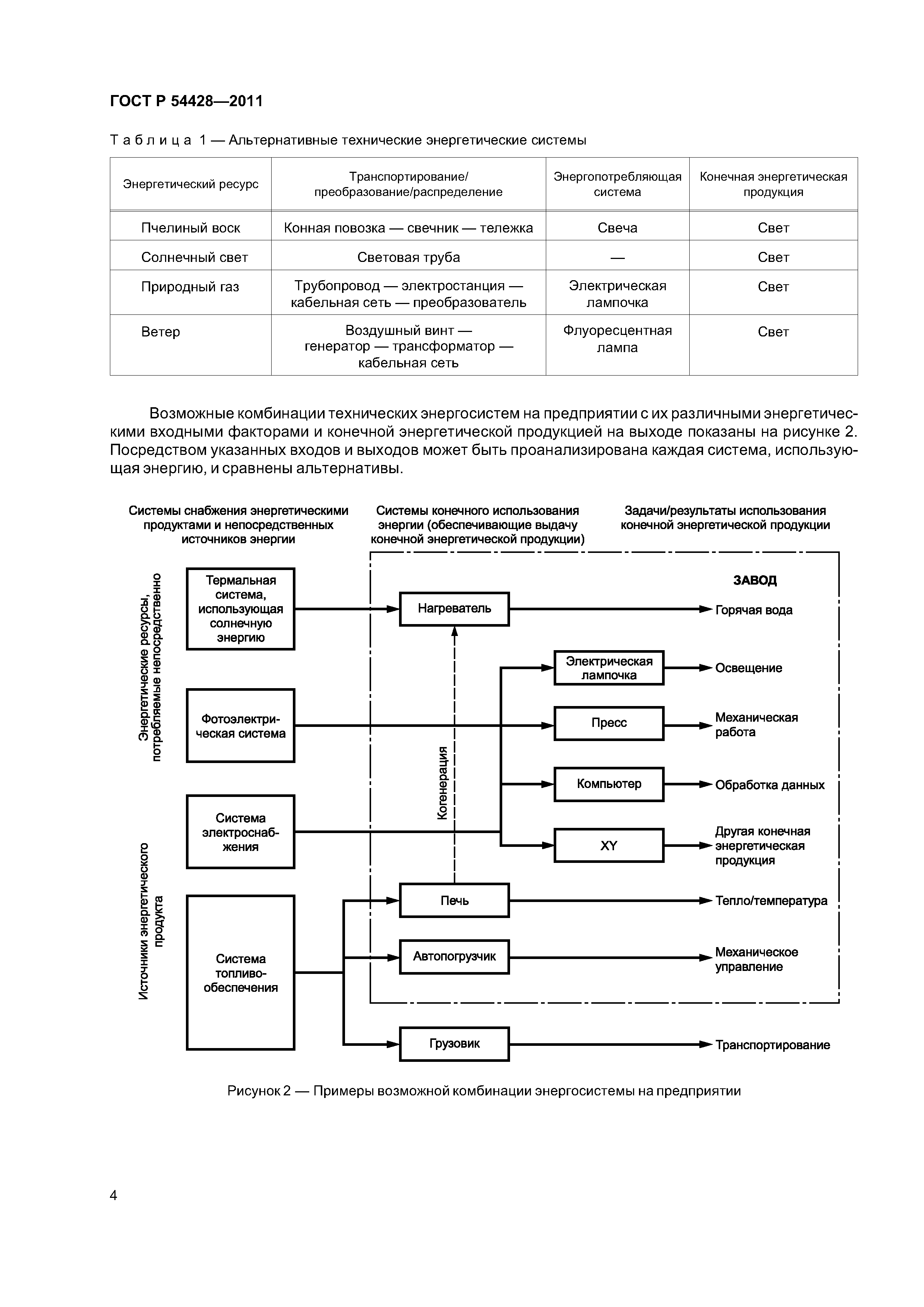
| Оглавление: | 1 Область применения 2 Нормативные ссылки 3 Термины и определения 4 Методы исследования технических энергетических систем 4.1 Общие положения 4.2 Технические энергетические системы, производящие сопоставимую конечную энергетическую продукцию 5 Анализ входа-выхода технических энергетических систем 5.1 Элементарная модель вход-выход 5.2 Жизненный цикл и действующие категории входа-выхода 5.3 Количественное исследование модели входа-выхода по осям А и В 5.4 Капиталовложения 6 Использование функциональных единиц 7 Расчет внешних издержек и рисков 8 Контуры обратной связи 9 Требования к качеству данных Приложение А (справочное) Модели входа-выхода для технической энергетической системы. Компактная флуоресцентная лампа (CFL) Приложение В (справочное) Модели входа-выхода для технической энергетической системы. Холодильник Приложение С (справочное) Модели входа-выхода для технической энергетической системы. Модуль комбинированного производства тепловой и электрической энергии Библиография |
| Разработан: | ВНИИНМАШ НП ИНВЭЛ |
| Утверждён: | 28.09.2011 Федеральное агентство по техническому регулированию и метрологии (359-ст) |
| Издан: | Стандартинформ (2012 г. ) |
| Нормативные ссылки: |
|


















