Скачать ГОСТ Р ИСО 13606-1-2011 Информатизация здоровья. Передача электронных медицинских карт. Часть 1. Базовая модельДата актуализации: 01.01.2021
|
| Обозначение: | ГОСТ Р ИСО 13606-1-2011 |
| Обозначение англ: | GOST R ISO 13606-1-2011 |
| Статус: | введен впервые |
| Название рус.: | Информатизация здоровья. Передача электронных медицинских карт. Часть 1. Базовая модель |
| Название англ.: | Health informatics. Electronic health record communication. Part 1. Reference model |
| Дата добавления в базу: | 01.10.2014 |
| Дата актуализации: | 01.01.2021 |
| Дата введения: | 01.08.2012 |
| Область применения: | Стандарт определяет передачу части или всей электронной медицинской карты одного идентифицированного субъекта медицинской помощи между системами ведения электронной медицинской карты или между системами ведения электронной медицинской карты и централизованным хранилищем данных электронной медицинской карты. Стандарт может также быть использован при обмене данными электронной медицинской карты между системой ведения электронной медицинской карты или хранилищем электронной медицинской карты и медицинскими приложениями или компонентами программного обеспечения промежуточного уровня (например, компонентами поддержки принятия решений), которым требуется доступ или предоставление данных электронной медицинской карты, или при представлении данных электронной медицинской карты в распределенной (федеративной) системе. Настоящий стандарт преимущественно предназначен для информационных систем, обеспечивающих поддержку непосредственной медицинской помощи идентифицированным лицам или мониторинг состояния здоровья популяции, например, для регистров заболеваний или систем контроля общественного здоровья. Использование медицинских карт для других целей, например, для обучения, контроля качества медицинской помощи, администрирования и отчетности, управления предоставлением услуг, научных исследований и эпидемиологии, при котором часто требуется псевдонимизация или агрегирование данных отдельных карт, не входит в область применения настоящего стандарта (но и для подобных вторичных применений настоящий стандарт также может оказаться полезным). |
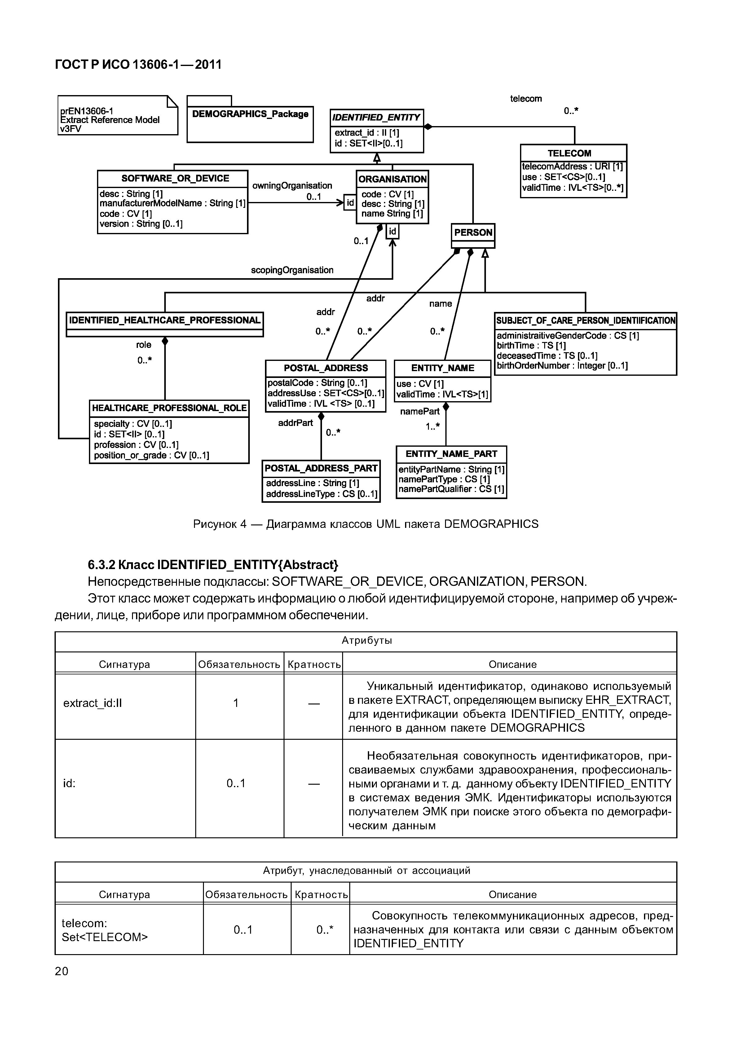
| Оглавление: | 1 Область применения 2 Нормативные ссылки 3 Термины и определения 4 Обозначения и сокращения 5 Соответствие 5.1 Соответствие системы ведения ЭМК 5.2 Соответствие стран-участниц 6 Базовая модель 6.1 Указатель к пакетам 6.2 Пакет EXTRACT 6.3 Пакет DEMOGRAPHICS 6.4 Пакет SUPPORT 6.5 Примитивные типы данных Приложение А (справочное) Профиль UML Приложение В (справочное) Связь с другими стандартами Приложение С (справочное) Клинический пример Приложение D (справочное) Отображение на формулировки требований Приложение ДА (справочное) Сведения о соответствии ссылочных международных стандартов ссылочным национальным стандартам Российской Федерации Библиография |
| Разработан: | ГНУ Центральный научно-исследовательский и опытно-конструкторский институт роботехники и технической кибернетики ФГБУ ЦНИИОИЗ Минздравсоцразвития РФ |
| Утверждён: | 25.10.2011 Федеральное агентство по техническому регулированию и метрологии (488-ст) |
| Издан: | Стандартинформ (2013 г. ) |

































































































