Скачать ГОСТ Р ИСО 24153-2012 Статистические методы. Процедуры рандомизации и отбора случайной выборкиДата актуализации: 01.01.2021
|
| Обозначение: | ГОСТ Р ИСО 24153-2012 |
| Обозначение англ: | GOST R ISO 24153-2012 |
| Статус: | введен впервые |
| Название рус.: | Статистические методы. Процедуры рандомизации и отбора случайной выборки |
| Название англ.: | Statistical methods. Randomization and random sampling procedures |
| Дата добавления в базу: | 01.10.2014 |
| Дата актуализации: | 01.01.2021 |
| Дата введения: | 01.12.2013 |
| Область применения: | Стандарт устанавливает процедуры рандомизации и случайного отбора выборки. Представленные в стандарте процедуры охватывают методы, предусматривающие применение технических средств, таблиц случайных чисел, компьютерных программ. Для компьютерных программ приведены общее описание соответствующего алгоритма и текст программы. В стандарте представлены не все возможные способы применения процедур случайного отбора выборки и рандомизации и не все возможные стратегии отбора выборки и определения объема выборки. В соответствующих ситуациях следует использовать стандарты, перечисленные во введении. |
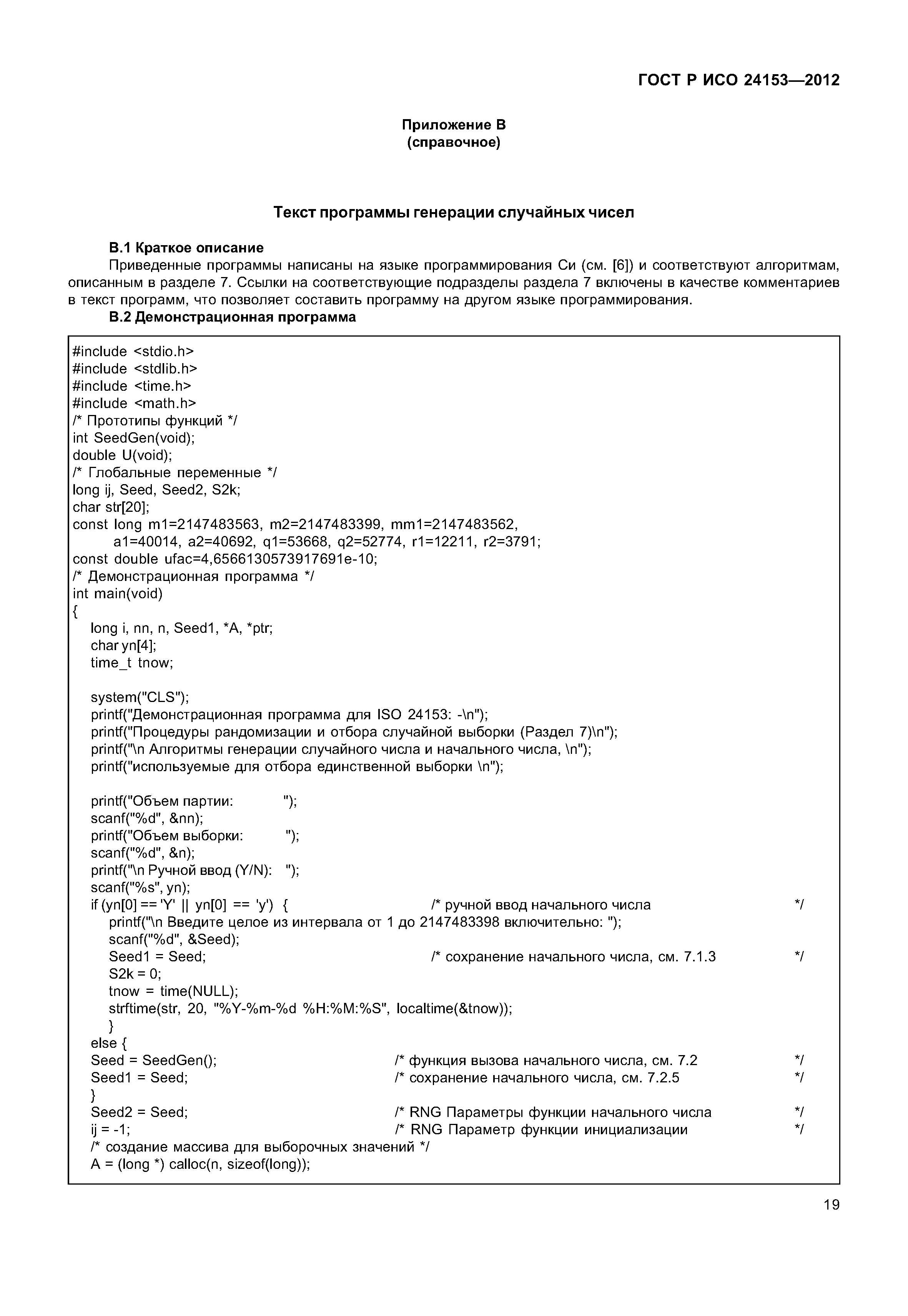
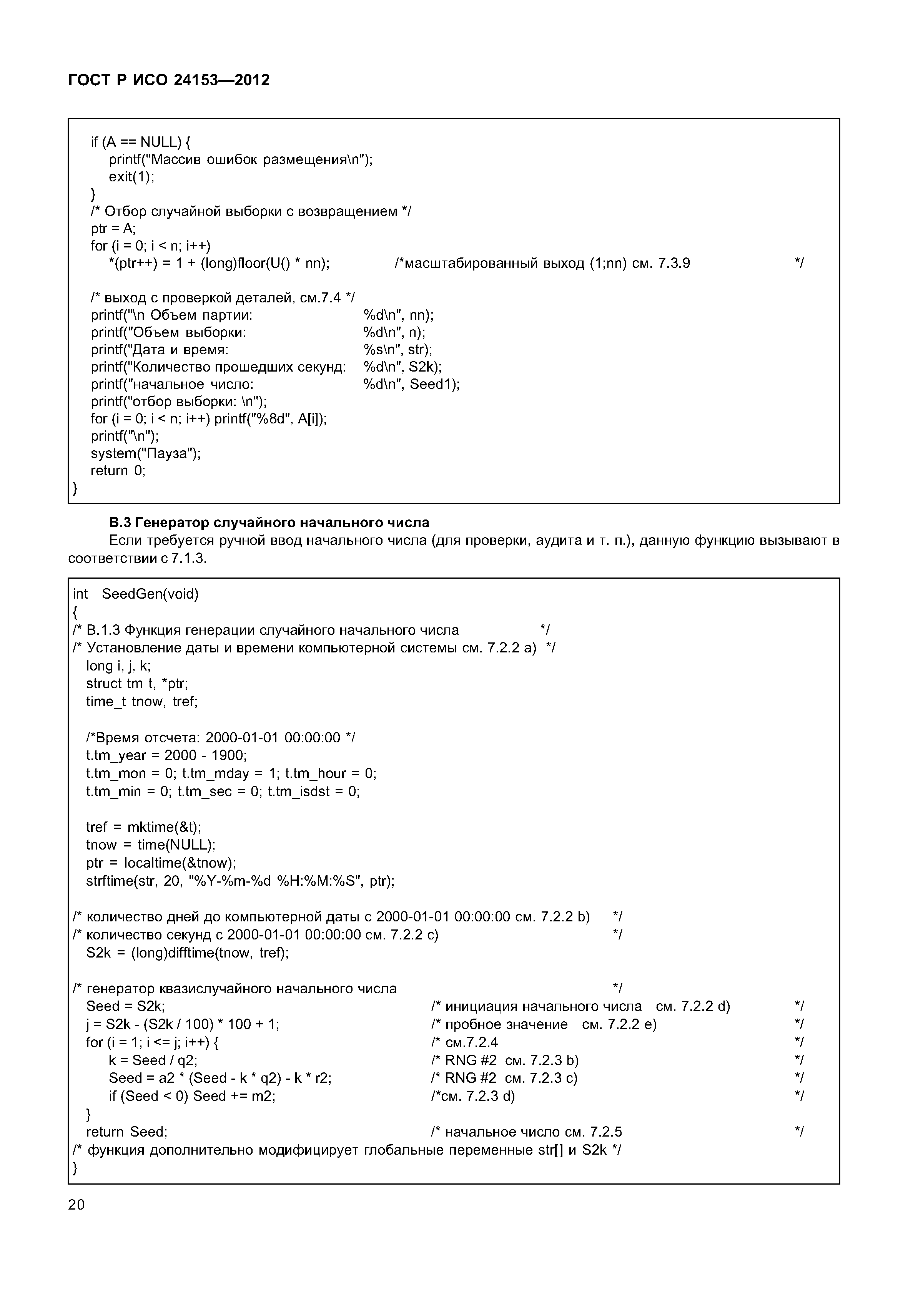
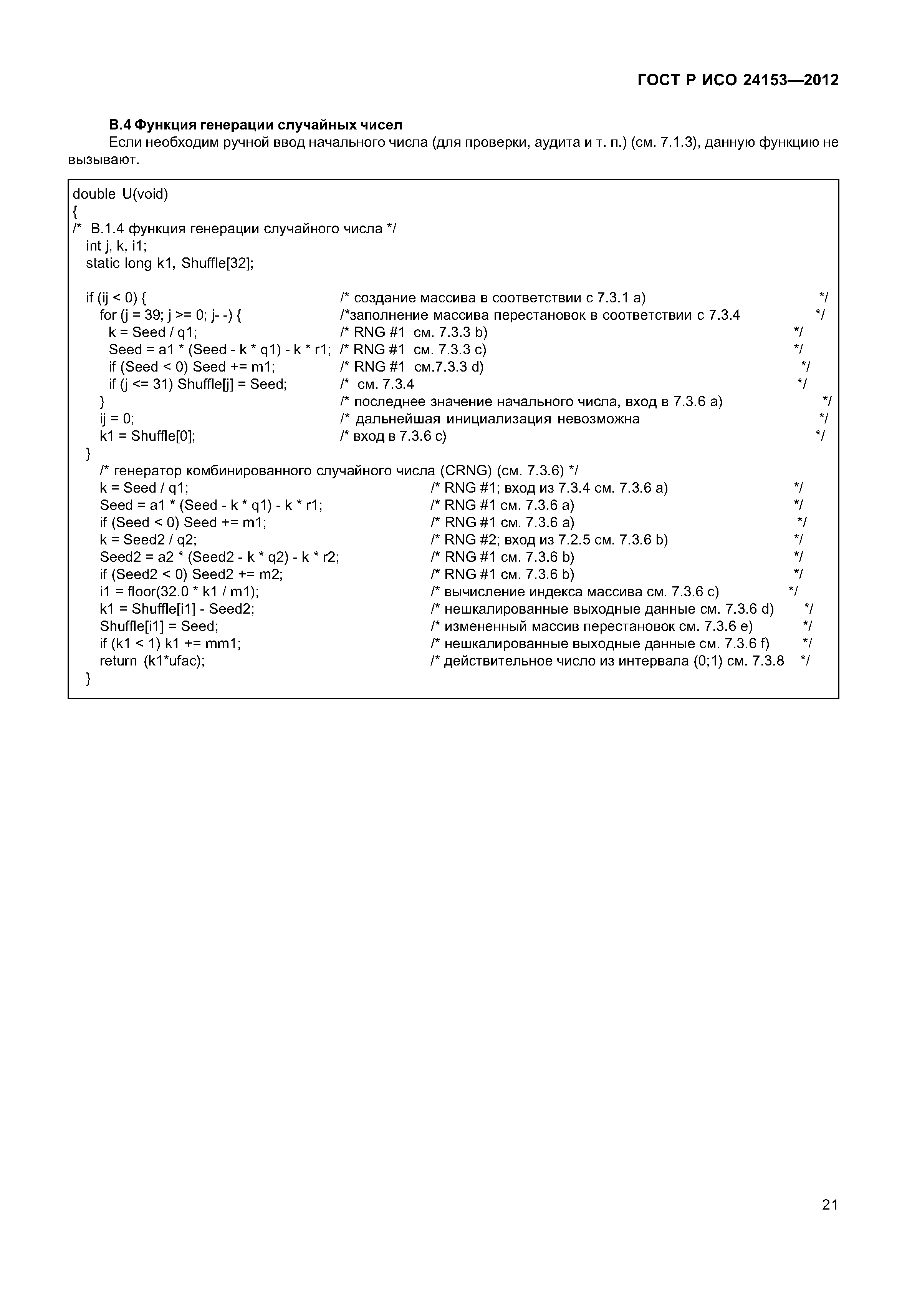
| Оглавление: | 1 Область применения 2 Нормативные ссылки 3 Термины, определения и обозначения 4 Основные положения 5 Описание процедур случайного отбора выборки. Методы, использующие специальные устройства 6 Описание процедуры отбора псевдонезависимой случайной выборки. Метод таблицы 7 Описание процедуры отбора псевдонезависимой случайной выборки. Компьютерный метод 8 Применение к общим ситуациям отбора выборки Приложение А (обязательное) Таблицы случайных чисел Приложение В (справочное) Текст программы генерации случайных чисел Приложение С (справочное) Текст программ для случайного отбора выборки и рандомизации Приложение ДА (справочное) сведения о соответствии ссылочных международных стандартов ссылочным национальным стандартам Российской Федерации Библиография |
| Разработан: | АНО НИЦ КД |
| Утверждён: | 29.11.2012 Федеральное агентство по техническому регулированию и метрологии (1272-ст) |
| Нормативные ссылки: |


































