Скачать Рекомендации по технико-экономической оценке освещения производственных зданий

Дата актуализации: 01.01.2021

Рекомендации по технико-экономической оценке освещения производственных зданий

Статус:справочные материалы, мп, тпр
Название рус.:Рекомендации по технико-экономической оценке освещения производственных зданий
Дата добавления в базу:01.09.2013
Дата актуализации:01.01.2021
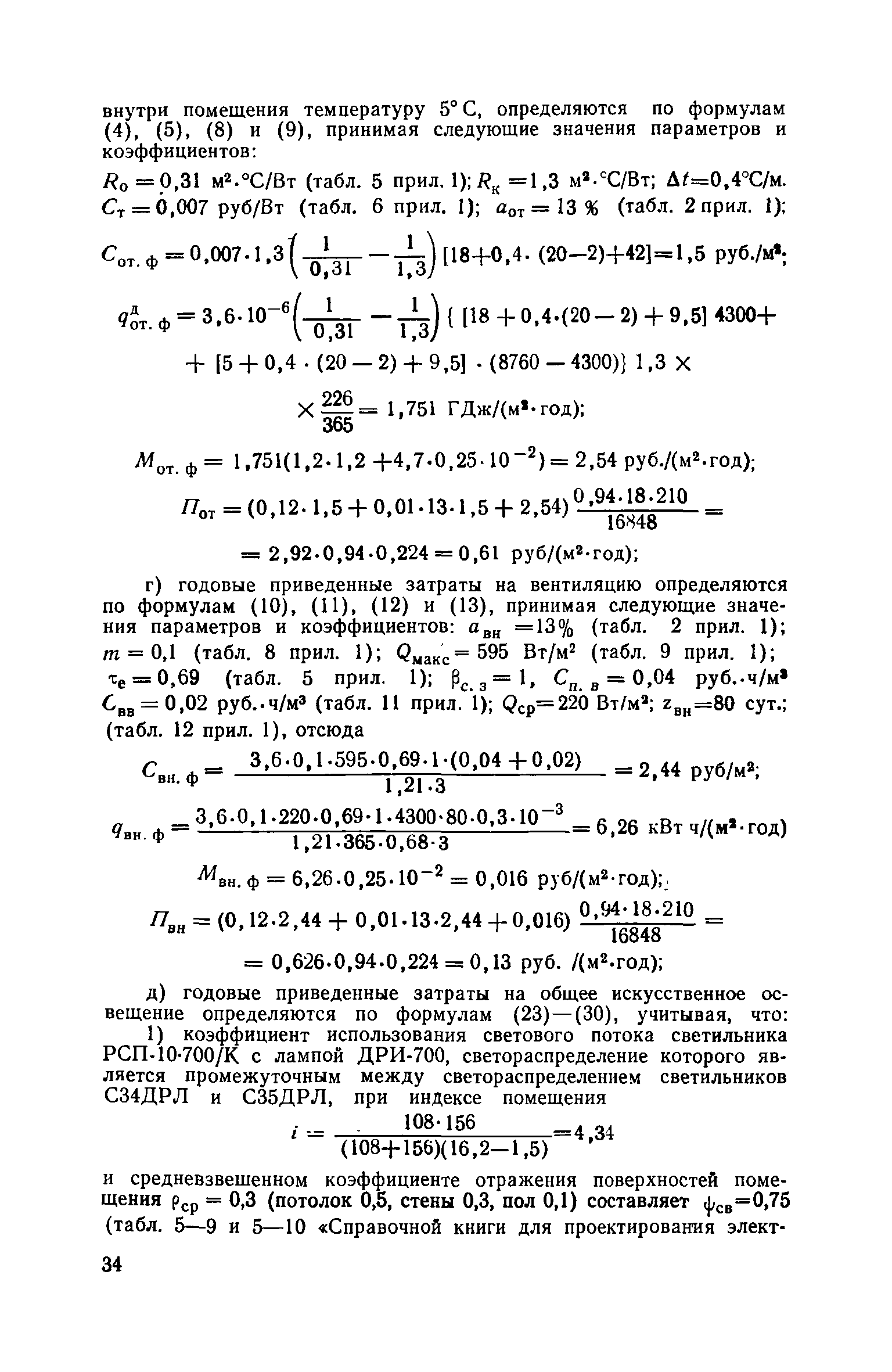
Область применения:Документ содержит основные методические положения и нормативы для расчета проведенных затрат на естественное, искусственное и совмещенное освещение, а также методику расчета экономического эффекта от применения рациональных проектных решений рассматриваемых систем освещения
Оглавление:1. Общие положения
2. Естественное освещение
3. Общее искусственное освещение
4. Совмещенное освещение
5. Оценка общего освещения по суммарным энергозатратам
Приложение 1. Нормативы для расчета
Приложение 2. Пример определения оптимального варианта освещения производственного здания
Разработан: НИИСФ Госстроя СССР
Утверждён: НИИСФ Госстроя СССР (NIISF, USSR Gossstroy )
Издан: Стройиздат (1983 г. )
Нормативные ссылки: