Скачать Временные указания по составлению перспективных планов развития сети предприятий бытового обслуживания населения

Дата актуализации: 01.01.2021

Временные указания по составлению перспективных планов развития сети предприятий бытового обслуживания населения

Статус:справочные материалы, мп, тпр
Название рус.:Временные указания по составлению перспективных планов развития сети предприятий бытового обслуживания населения
Дата добавления в базу:01.09.2013
Дата актуализации:01.01.2021
Область применения:Временные указания применяются при составлении перспективных планов развития сети предприятий бытового обслуживания населения, разрабатываемых в развитие генеральных планов городов, а также рекомендуются для использования при разработке проектов районной планировки.
Оглавление:1. Общие положения
2. Методика расчета сети предприятий бытового обслуживания, выбор типов предприятий и их размещение на территории административного района
3. Методика расчета сети предприятий бытового обслуживания, выбор типов предприятий и их размещение на территории города
4. Экономическая эффективность капитальных вложений в строительство сети предприятий бытового обслуживания населения
Приложение 1. Расчетные показатели
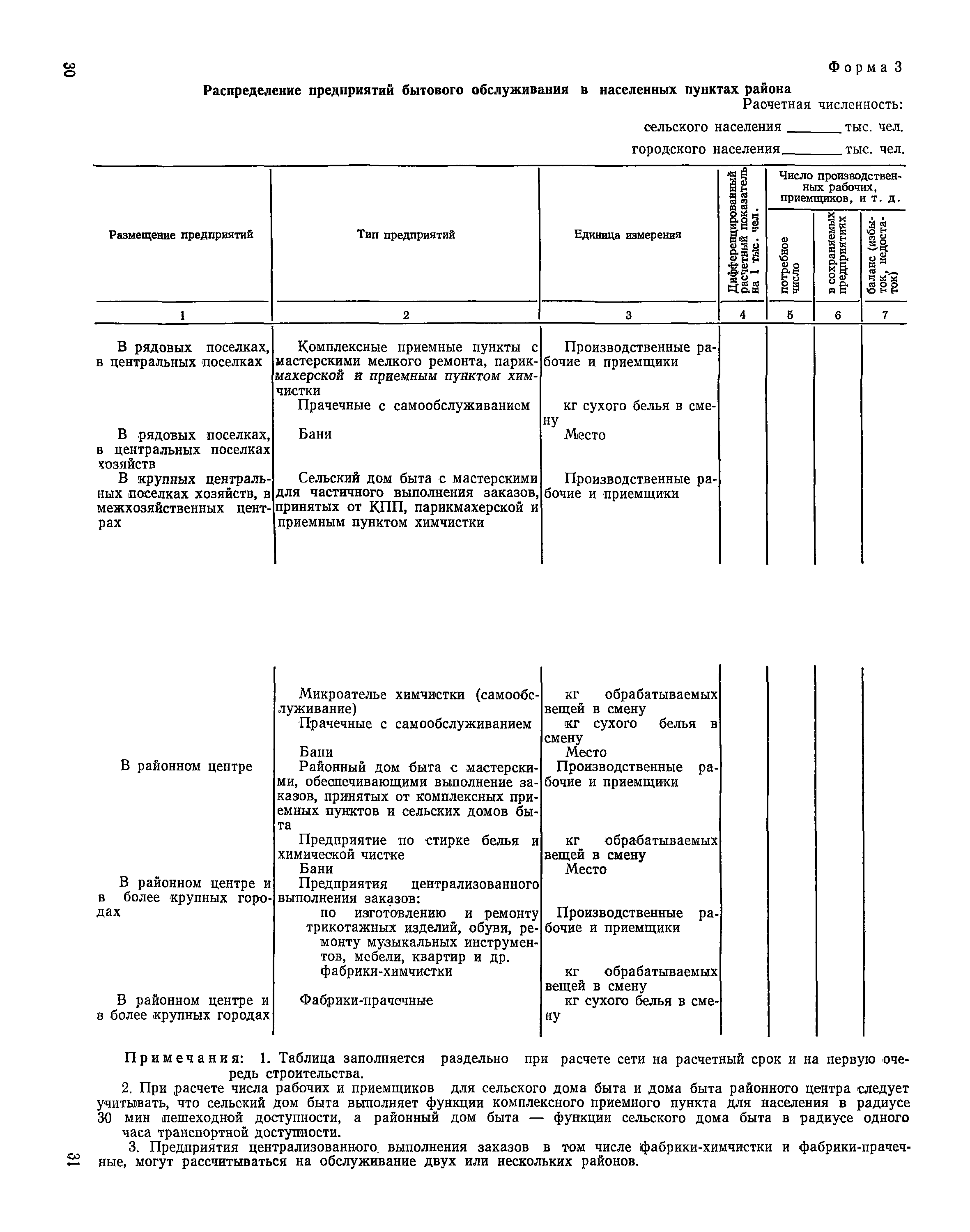
Приложение 2. Формы расчета сети предприятий бытового обслуживания
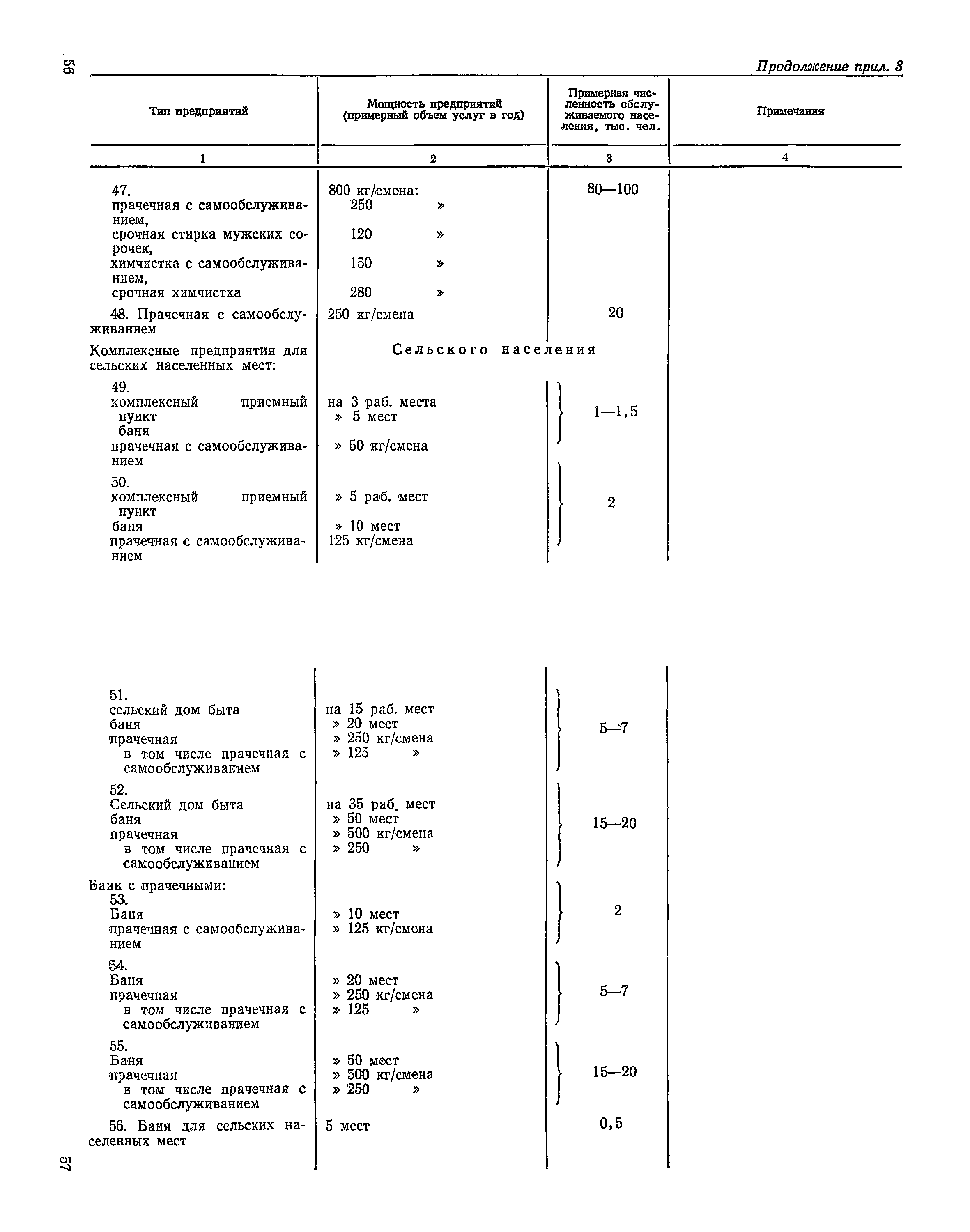
Приложение 3. Примерный перечень типов предприятий бытового обслуживания населения городов, поселков и сельских населенных пунктов
Разработан: ЦНИИЭП торгово-бытовых зданий и туристских комплексов
Гипробытпром
Утверждён:29.04.1976 Государственный комитет по гражданскому строительству и архитектуре при Госстрое СССР (95)
Издан: Стройиздат (1977 г. )