Скачать Рекомендации по распространению опыта работы Таллинского ДСК по разработке и внедрению комплексной системы управления качествомДата актуализации: 01.01.2021 |
| Статус: | справочные материалы, мп, тпр |
| Название рус.: | Рекомендации по распространению опыта работы Таллинского ДСК по разработке и внедрению комплексной системы управления качеством |
| Дата добавления в базу: | 01.09.2013 |
| Дата актуализации: | 01.01.2021 |
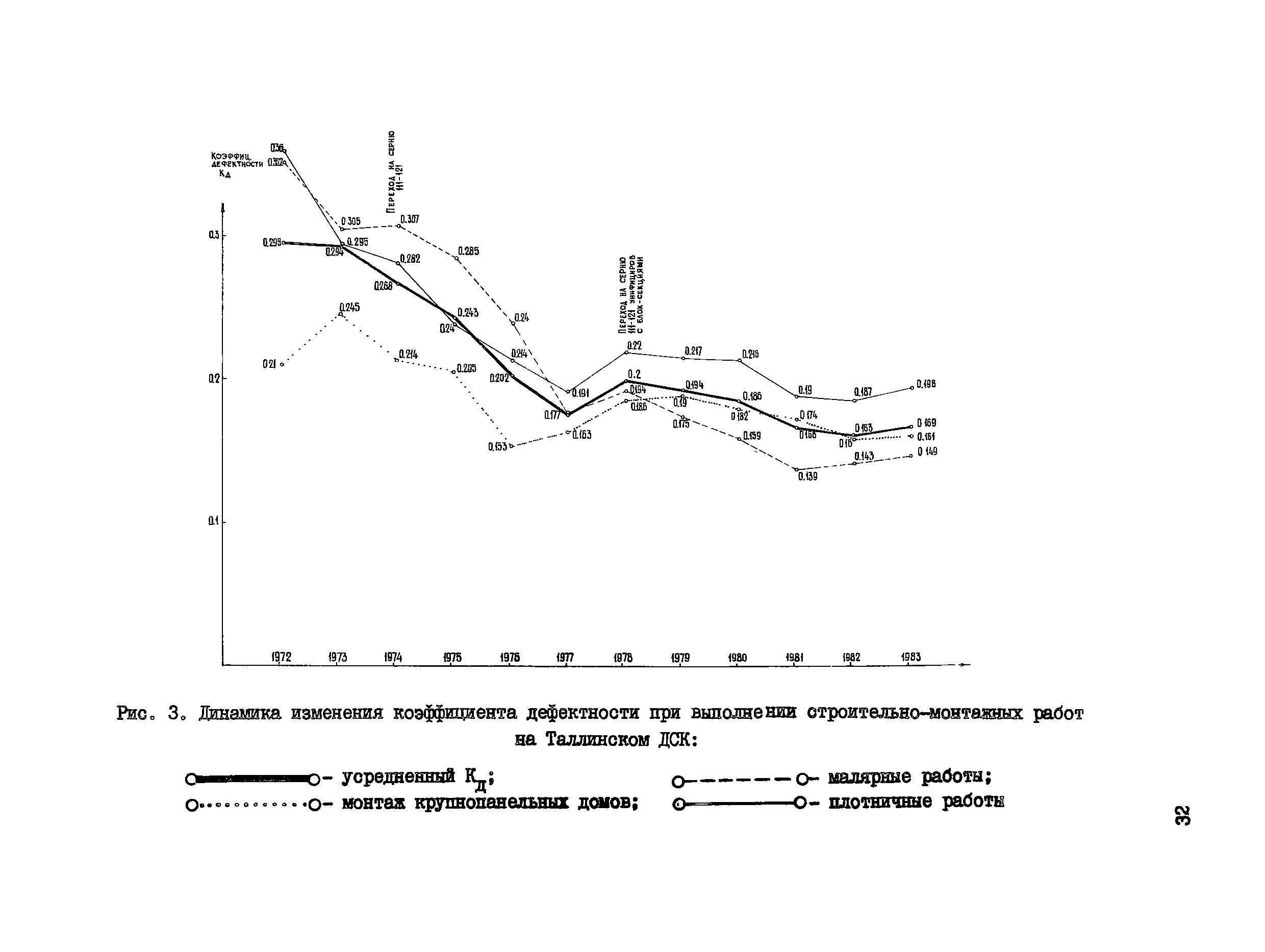
| Область применения: | Рекомендации содержат анализ результатов внедрения системы управления качеством в производство строительно-монтажных работ и изготовление железобетонных изделий на Таллинском ДСК, а также предложения по распространению этого опыта на аналогичных предприятиях |
| Оглавление: | Введение 1. Основные принципы управления качеством 2. Функция управления комплексной системы управления качеством на Таллинском ДСК 3. Распределение обязанностей по управлению качеством , 4. Организационное обеспечение комплексной системы управления качеством 5. Планирование качества 6. Аттестация качества 7. Специальная подготовка и обучение кадров 8. Контроль, оценка и информация о качестве выпускаемой продукции и строительно-монтажных работ 9. Техническое обеспечение качества строительства 10. Материальное стимулирование качества 11. Правовое обеспечение качества 12. Определение экономической эффективности получаемой от внедрения комплексной системы управления качеством Приложение 1. Перечень стандартов предприятия, используемых в комплексной системе управления качеством на Таллинском ДСК Приложение 2. Характеристика Таллинского домостроительного комбината Литература |
| Разработан: | ЦНИИЭП жилища |
| Утверждён: | 27.04.1984 ЦНИИЭП жилища (TsNIIEPzhilishcha 3) |
| Издан: | ЦНИИЭПжилища (1984 г. ) |
| Нормативные ссылки: |
|


















































