Скачать Рекомендации по проектированию составов и технологии производства конструктивного легкого бетона для несущих конструкций крупнопанельных зданий

Дата актуализации: 01.01.2021

Рекомендации по проектированию составов и технологии производства конструктивного легкого бетона для несущих конструкций крупнопанельных зданий

Статус:справочные материалы, мп, тпр
Название рус.:Рекомендации по проектированию составов и технологии производства конструктивного легкого бетона для несущих конструкций крупнопанельных зданий
Дата добавления в базу:01.09.2013
Дата актуализации:01.01.2021
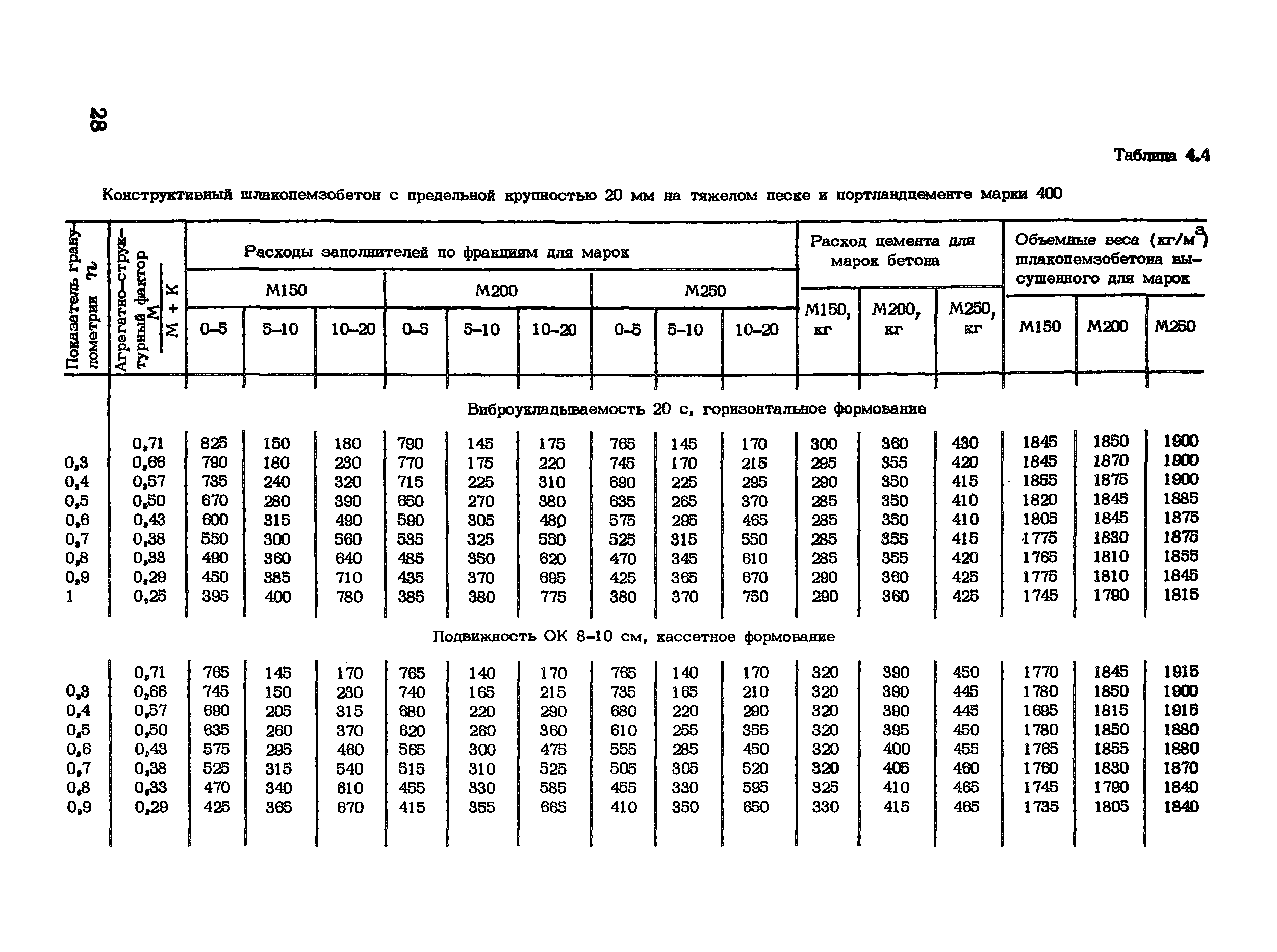
Область применения:Рекомендация содержат основные положения и таблицы, связанные с определением состава и технологии конструктивного легкого бетона для производства крупнопанельных несущих конструкций, обеспечивающих звукоизоляцию помещений.
Оглавление:1.Общие положения
2. Требования к конструктивному легкому бетону
3. Требования к материалам для конструктивного легкого бетона
4. Проектирование состава конструктивного легкого бетона
5. Экспериментальная проверка и установление исходного состава конструктивного легкого бетона
6. Экспериментальное определение номинального состава
7. Определение физико-технических характеристик конструктивного легкого бетона
8. Производственный состав
9. Технико-экономическая оценка материалоемкости панельной несущей и ограждающей конструкции
10. Особенности технологии заводского производства
11. Ускорение твердения
12. Контроль качества
Приложения
Литература
Разработан: ЦНИИЭП жилища
Утверждён:28.04.1982 ЦНИИЭП жилища (TsNIIEPzhilishcha 9)
Издан: ЦНИИЭПжилища (1982 г. )
Нормативные ссылки: