Скачать Межотраслевые нормативы времени на изготовление оболочковых форм и стержней

Дата актуализации: 01.01.2021

Межотраслевые нормативы времени на изготовление оболочковых форм и стержней

Статус:не определен законодательством
Название рус.:Межотраслевые нормативы времени на изготовление оболочковых форм и стержней
Дата добавления в базу:01.10.2014
Дата актуализации:01.01.2021
Область применения:Межотраслевые нормативы времени предназначены для расчета технически обоснованных норм времени на работы, выполняемые при изготовлении оболочковых форм и стержней в литейных цехах промышленных предприятий, работающих в условиях массового, крупносерийного и среднесерийного производства. При разработке нормативов времени использованы: действующие машиностроительные и отраслевые нормативы времени; хронометражные наблюдения, фотографии рабочего дня; результаты анализа организации труда на рабочих местах и мероприятия по ее совершенствованию; технические характеристики технологического оборудования, применяемого при выполнении вышеуказанных работ; технические расчеты; справочная и методическая литература.
Оглавление:1. Общая часть
2. Характеристика применяемого оборудования
3. Организация труда
4. Нормативная часть
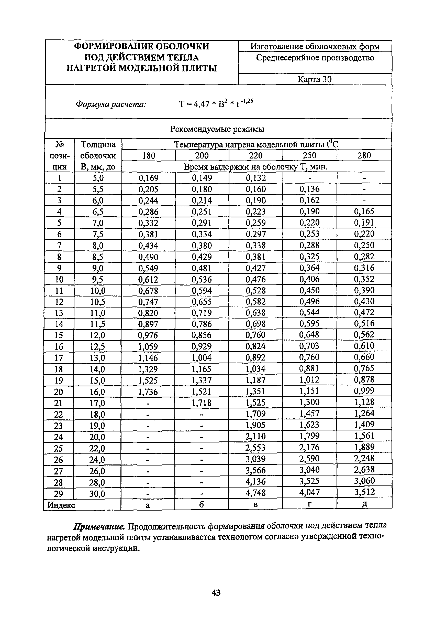
   4.1 Нормативы времени на изготовление оболочковых форм. Массовое и крупносерийное производство
   4.2 Нормативы времени на изготовление оболочковых форм. Среднесерийное производство
   4.3 Нормативы времени на изготовление оболочковых стержней. Массовое и крупносерийное производство
Приложение 1. Таблица перевода минут в часы