Скачать Рекомендации по монтажу ограждающих конструкций из асбестоцементных экструзионных панелейДата актуализации: 01.01.2021
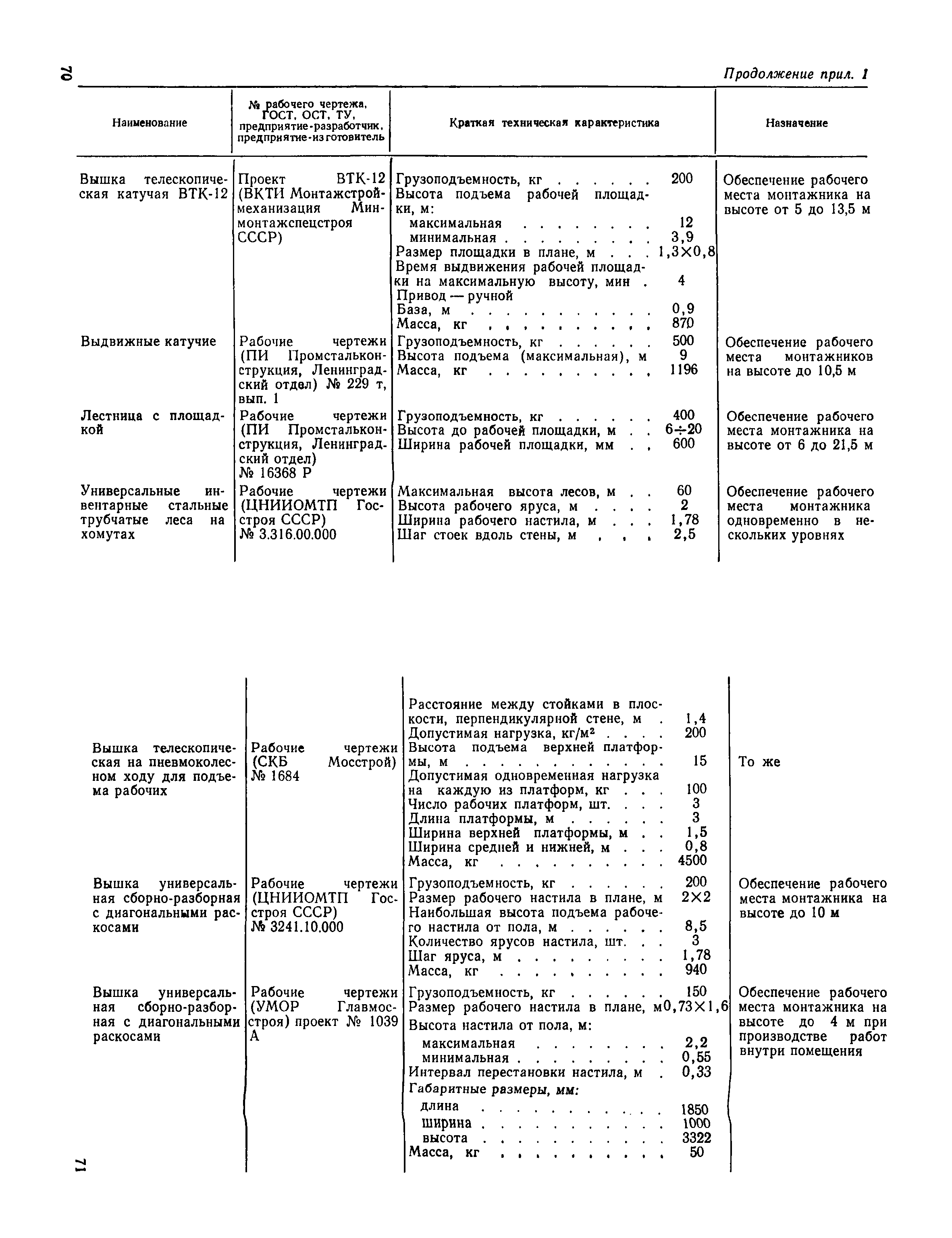
Рекомендации по монтажу ограждающих конструкций из асбестоцементных экструзионных панелей| Статус: | справочные материалы, мп, тпр | | Название рус.: | Рекомендации по монтажу ограждающих конструкций из асбестоцементных экструзионных панелей | | Дата добавления в базу: | 01.10.2014 | | Дата актуализации: | 01.01.2021 | | Область применения: | В документе приведены основные положения по транспортировке, приемке, складированию и технологии производства работ при монтаже конструкций наружных стен горизонтальной и вертикальной разрезок, перегородок высотой от 3 до 7,2 м; покрытий из асбестоцементных экструзионных панелей. Для работников проектно-технологических трестов и строительных организаций. | | Оглавление: | 1. Общие положения 2. Указания по организации монтажных работ 3. Требования к асбестоцементным экструзионным панелям 4. Транспортирование и складирование ПАЭ 5. Общие указания по монтажу конструкций 6. Монтаж стен горизонтальной разрезки поэлеыентным методом 7. Монтаж стен вертикальной разрезки позлементным методом 8. Монтаж стен с предварительной укрупнительной сборкой 9. Монтаж плит покрытия 10. Монтаж перегородок высотой до 3,6 м 11. Монтаж перегородок высотой до 7,2 м 12. Резка панелей на монтаже 13. Изоляция стыков между асбестоцементными экструзионными плитами и панелями 14. Техника безопасности при производстве работ Приложение 1. Перечень технологической оснастки, оборудования, приспособлений и инструментов, применяемых при устройстве ограждаюших конструкций из асбестоцементных экструзионных панелей Приложение 2. Характеристика панелей нормы загрузки стоечного поддона и пакетов панелей Приложение 3. Материалы для изоляции стыков между асбестоцементными экструзионными панелями Приложение 4. Организации-калькодержатели | | Разработан: | ЦНИИОМТП Госстроя СССР
| | Утверждён: | ЦНИИОМТП Госстроя СССР (TsNIIOMTP, USSR Gosstroy )
| | Издан: | Стройиздат (1986 г. )
| | Нормативные ссылки: | |
                                                                       
|