Скачать Типовой проект 503-1-65.87 Альбом VIII. Ведомости потребности в материалахДата актуализации: 01.01.2021
|
| Обозначение: | Типовой проект 503-1-65.87 |
| Обозначение англ: | 503-1-65.87 |
| Статус: | действует |
| Название рус.: | Альбом VIII. Ведомости потребности в материалах |
| Дата добавления в базу: | 01.10.2014 |
| Дата актуализации: | 01.01.2021 |
| Дата введения: | 29.09.1987 |
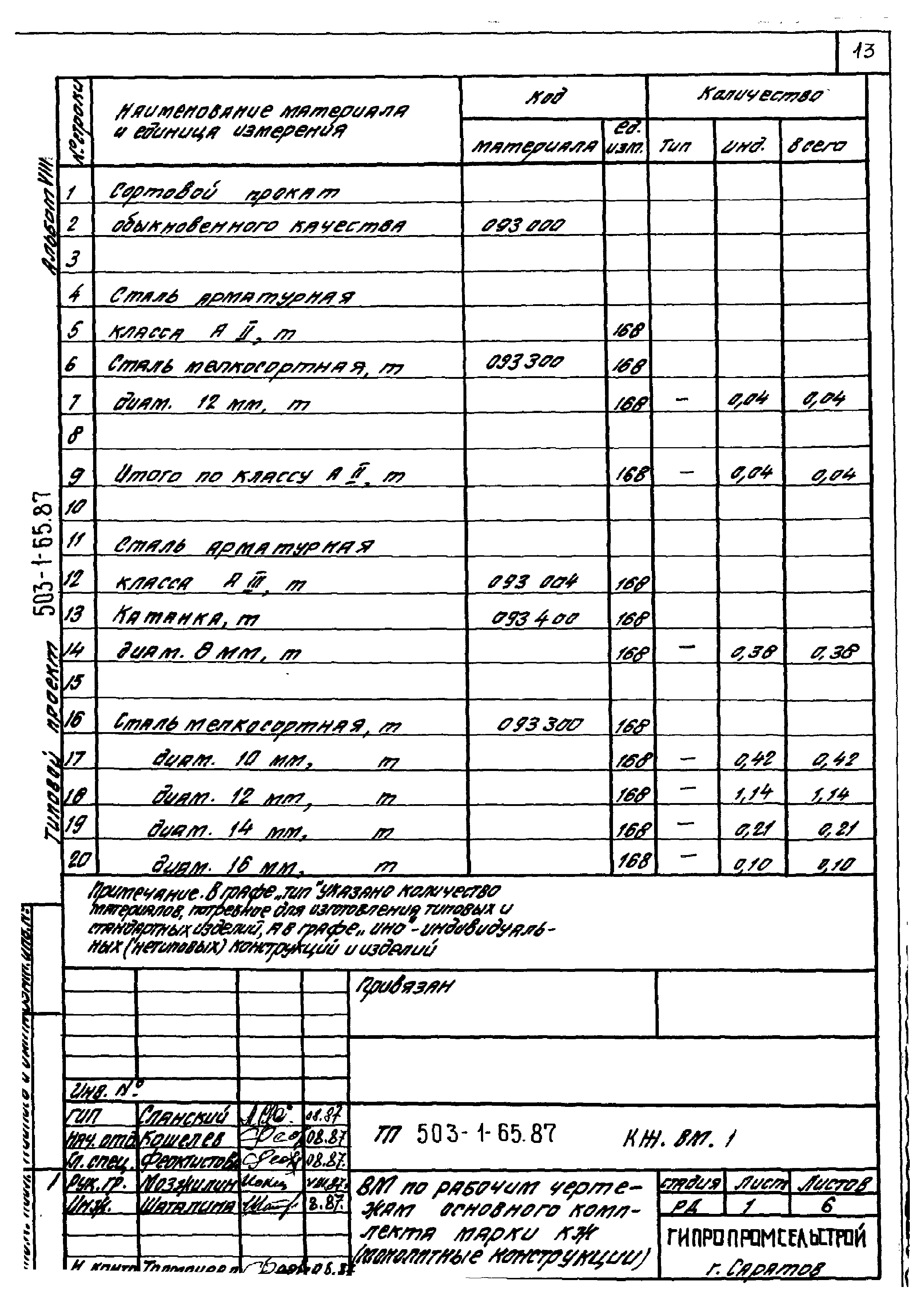
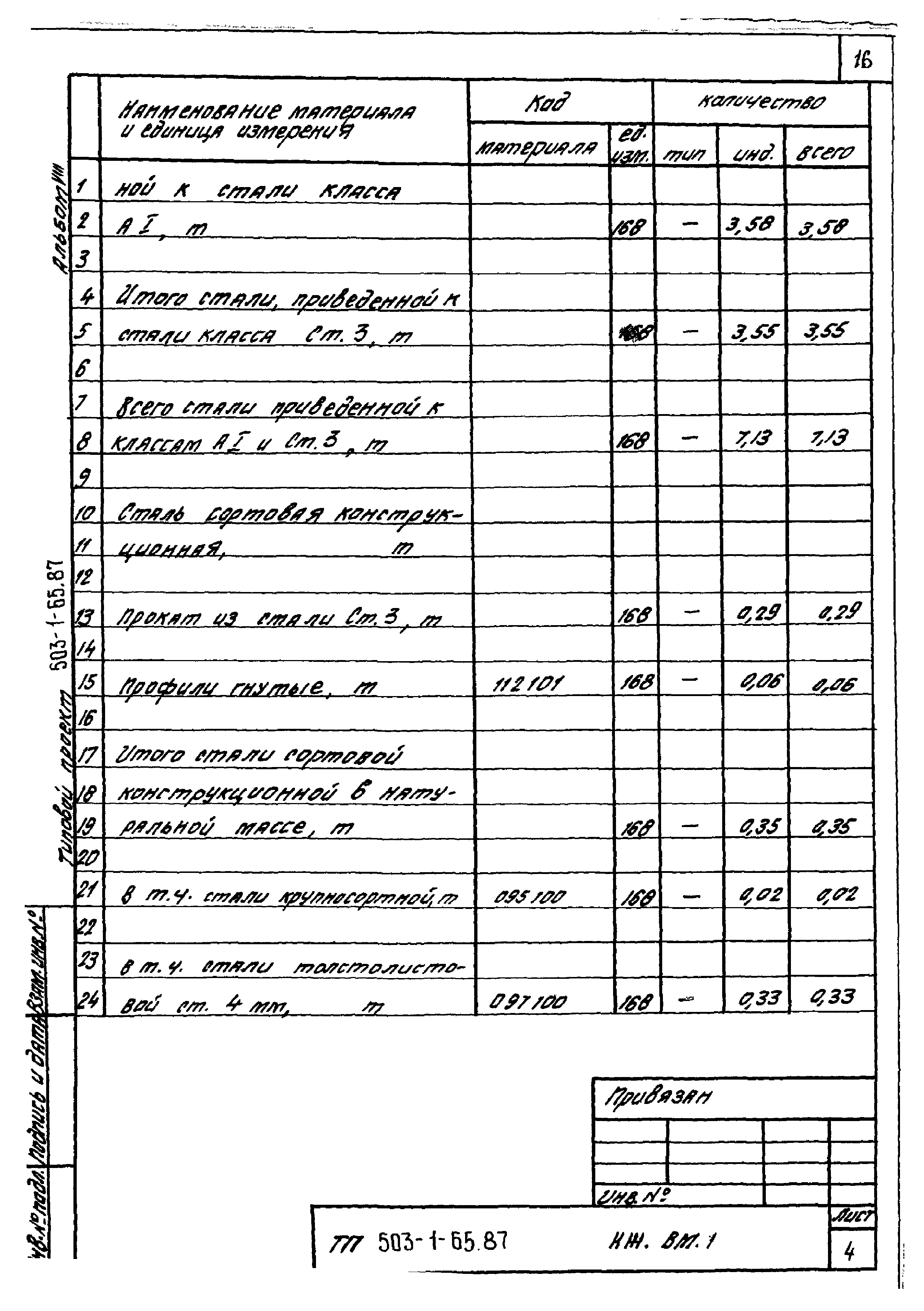
| Оглавление: | АР.ВМ Ведомость потребности в материалах по рабочим чертежам основного комплекта марки АР КЖ.ВМ Ведомость потребности в материалах по рабочим чертежам основного комплекта марки КЖ ОВ.ВМ Ведомость потребности в материалах по рабочим чертежам основного комплекта марки ОВ ВК.ВМ Ведомость потребности в материалах по рабочим чертежам основного комплекта марки ВК ТАП.ВМ Ведомость потребности в материалах по рабочим чертежам основного комплекта марки ТАП ТК.ВМ Ведомость потребности в материалах по рабочим чертежам основного комплекта марки ТК ЭМ.ВМ Ведомость потребности в материалах по рабочим чертежам основного комплекта марки ЭМ ЭО.ВМ Ведомость потребности в материалах по рабочим чертежам основного комплекта марки ЭО СС.ВМ Ведомость потребности в материалах по рабочим чертежам основного комплекта марки СС АП.ВМ Ведомость потребности в материалах по рабочим чертежам основного комплекта марки АП |
| Разработан: | Гипропромсельстрой |
| Утверждён: | 12.09.1985 Госкомсельхозтехника СССР (43-85) |












































