Скачать ГОСТ Р 55251-2012 Воздушный транспорт. Контроль автоматизированный технического состояния изделий авиационной техники. Информационно-аналитическая система мониторинга летной годности воздушных судов. Пользовательский модуль «Изготовитель». Общие требованияДата актуализации: 01.01.2021
|
| Обозначение: | ГОСТ Р 55251-2012 |
| Обозначение англ: | GOST R 55251-2012 |
| Статус: | введен впервые |
| Название рус.: | Воздушный транспорт. Контроль автоматизированный технического состояния изделий авиационной техники. Информационно-аналитическая система мониторинга летной годности воздушных судов. Пользовательский модуль «Изготовитель». Общие требования |
| Название англ.: | Air transport. Automatic control of technical condition of aircraft products. Information-analytical system for aircraft airworthiness monitoring. The «Manufacturer» user module. General requirenents |
| Дата добавления в базу: | 01.10.2014 |
| Дата актуализации: | 01.01.2021 |
| Дата введения: | 01.07.2013 |
| Область применения: | Стандарт устанавливает общие требования, регламентирующие разработку, сопровождение и эксплуатацию Пользовательского модуля (ПМ) «Изготовитель» Информационно-аналитической системы мониторинга летной годности воздушных судов (ИАС МЛГ ВС). Требования стандарта направлены на информационное-обеспечение послепродажного сопровождения эксплуатации АТ предприятиями изготовителями АТ. Эти требования могут применяться при разработке новых информационных систем, а также при модификациях существующих информационных систем в предприятиях-изготовителях авиационной техники (АТ). |
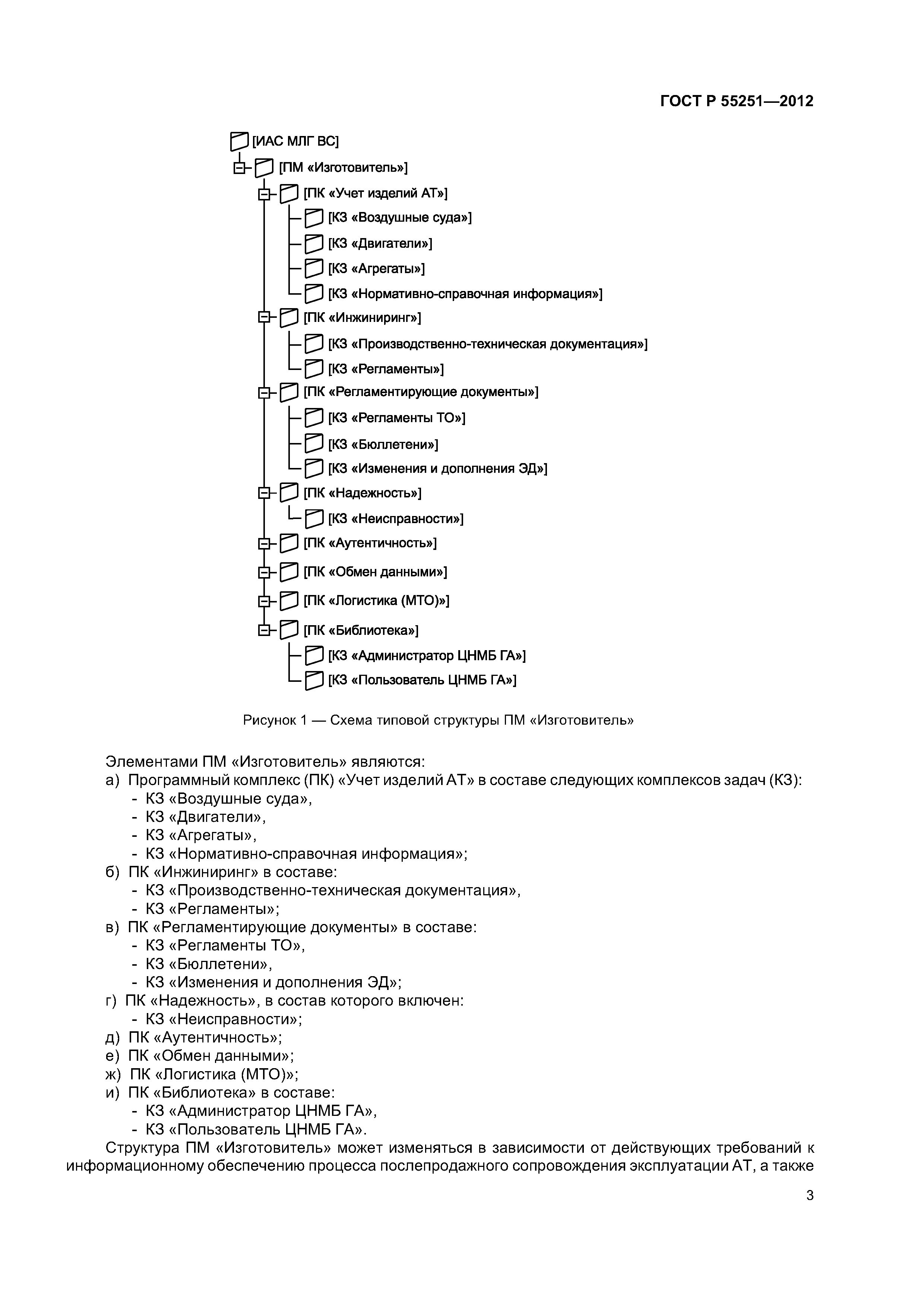
| Оглавление: | 1 Область применения 2 Нормативные ссылки 3 Термины и определения 4 ПМ «Изготовитель» 4.1 Назначение ПМ «Изготовитель» 4.2 Вид автоматизируемой деятельности 4.3 Перечень функций, выполняемых ПМ «Изготовитель» 5 Структура ПМ «Изготовитель», назначение элементов и выполняемые ими функции 5.1 Структура ПМ «Изготовитель» 5.2 Назначение элементов ПМ «Изготовитель» 5.3 Описание функционирования системы и ее частей 5.4 Требования к качеству информации 5.5 Требования к составу и формату данных 6 Требования к организационно-техническим мероприятиям при внедрении ПМ «Изготовитель» Библиография |
| Разработан: | ФГУП ГосНИИ ГА |
| Утверждён: | 29.11.2012 Федеральное агентство по техническому регулированию и метрологии (1343-ст) |
| Издан: | Стандартинформ (2013 г. ) |
| Нормативные ссылки: |










