Скачать ГОСТ Р ИСО 13606-2-2012 Информатизация здоровья. Передача электронных медицинских карт. Часть 2. Спецификация передачи архетиповДата актуализации: 01.01.2021
|
| Обозначение: | ГОСТ Р ИСО 13606-2-2012 |
| Обозначение англ: | GOST R ISO 13606-2-2012 |
| Статус: | введен впервые |
| Название рус.: | Информатизация здоровья. Передача электронных медицинских карт. Часть 2. Спецификация передачи архетипов |
| Название англ.: | Health informatics. Electronic health record communication. Part 2. Archetype interchange specification |
| Дата добавления в базу: | 01.10.2014 |
| Дата актуализации: | 01.01.2021 |
| Дата введения: | 01.07.2013 |
| Область применения: | Стандарт определяет информационную архитектуру, необходимую для реализации интероперабельных обменов данными между системами и сервисами, которые используют или представляют данные ЭМК. Стандарт не предназначен для определения внутренней архитектуры или структуры базы данных подобных систем. Субъектом медицинской карты или выписки из нее, подлежащей передаче, является отдельное лицо, а областью применения такой передачи преимущественно является оказание медицинской помощи данному лицу. Использование медицинских карт для других целей, например административных, управленческих, для научных и эпидемиологических исследований, когда требуется агрегировать данные медицинских карт отдельных лиц, не входит в область применения стандарта, но для подобных вторичных приложений он может оказаться полезным. |
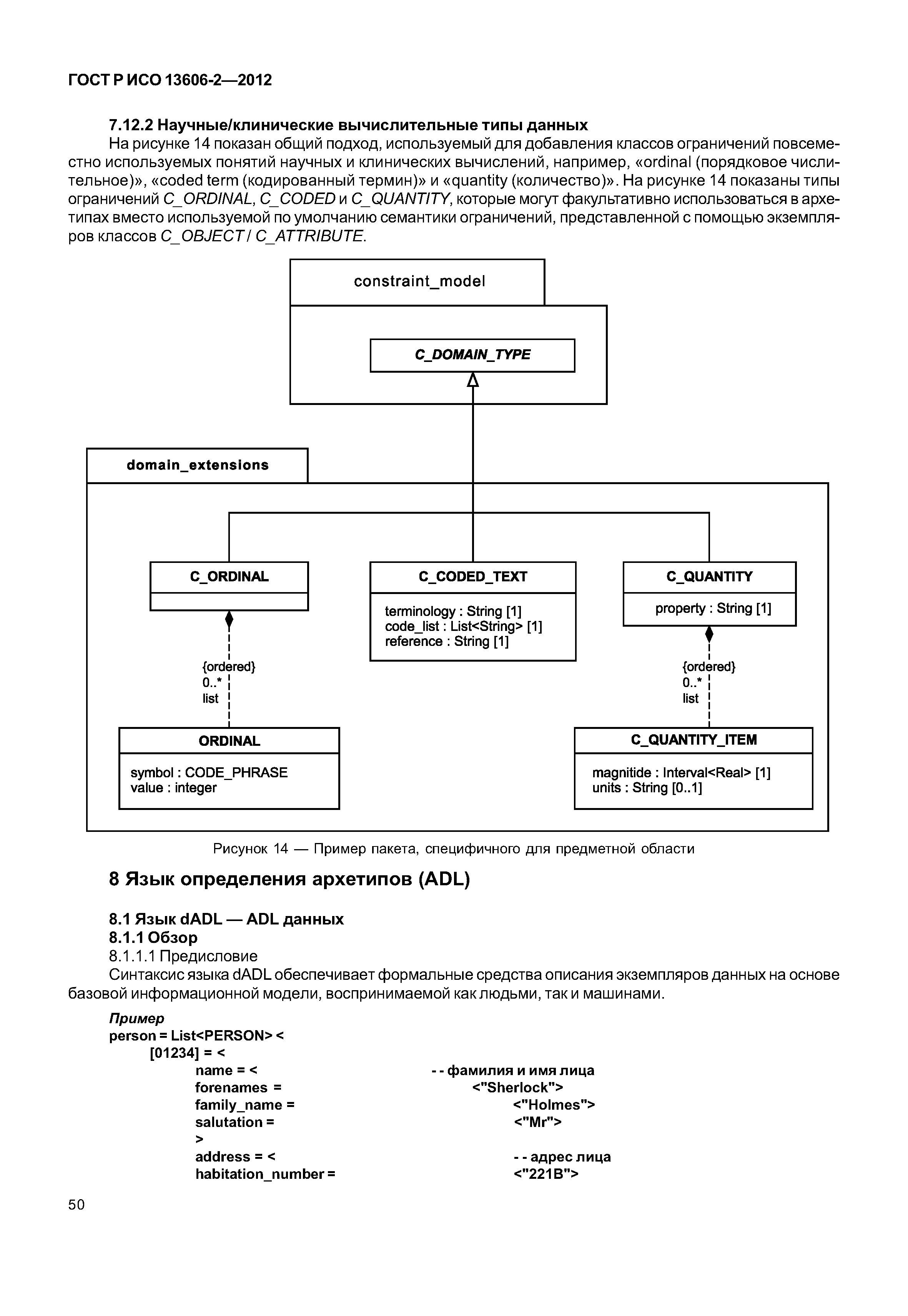
| Оглавление: | 1 Область применения 2 Соответствие 3 Нормативные ссылки 4 Термины и определения 5 Сокращения 6 Требования к представлению архетипов 6.1 Общие сведения 6.2 Определение, описание архетипа и информация о его публикации 6.3 Ограничения узлов архетипа 6.4 Ограничения значений данных 6.5 Профиль по отношению к базовой модели ЕN 13606-1 7 Модель архетипов 7.1 Введение 7.2 Обзор 7.3 Пакет archetype 7.4 Пакет archetype_description 7.5 Пакет constraint_model 7.6 Пакет аssertion 7.7 Пакет primitive 7.8 Пакет ontology 7.9 Пакет domain_extensions 7.10 Пакет support 7.11 Пакет generic_types 7.12 Расширения, специфичные для предметной области (справочно) 8 Язык определения архетипов (ADL) 8.1 Язык dADL - ADL данных 8.2 Язык сADL - ADL ограничений 8.3 Утверждения 8.4 Пути в языке ADL 8.5 ADL - язык определения архетипов Приложение ДА (справочное) Сведения о соответствии ссылочных международных стандартов ссылочным национальным стандартам Российской Федерации Библиография |
| Разработан: | ФГБУ ЦНИИОИЗ Минздравсоцразвития РФ |
| Утверждён: | 29.10.2012 Федеральное агентство по техническому регулированию и метрологии (584-ст) |
| Издан: | Стандартинформ (2014 г. ) |
| Нормативные ссылки: |

















































































































