Скачать Руководство по инженерно-геологическим изысканиям на оползневых склонах Южного берега Крыма

Дата актуализации: 01.01.2021

Руководство по инженерно-геологическим изысканиям на оползневых склонах Южного берега Крыма

Статус:справочные материалы, мп, тпр
Название рус.:Руководство по инженерно-геологическим изысканиям на оползневых склонах Южного берега Крыма
Дата добавления в базу:01.10.2014
Дата актуализации:01.01.2021
Область применения:Руководство содержит краткие сведения о природных условиях Южного берега Крыма, анализ основных недостатков изыскательских работ, основные вопросы, на которые рекомендуется обращать особое внимание при проведении изысканий, рекомендации по общей постановке изысканий, способствующие их усовершенствованию, рекомендации по проведению отдельных видов изыскательских работ. Предназначено для инженерно-технических работников проектных и инженерно-изыскательских организаций.
Оглавление:Предисловие
1. Общие положения
   А. Специфика природных условий развития оползней на ЮБК
   Б. Основные вопросы изысканий на оползневых склонах ЮБК
   В. Рекомендации по общей постановке изысканий на ЮБК
   Г. Требования к составлению программы изысканий
2. Рекомендации по проведению изыскательских работ
   А. Инженерно-геологическая съемка
   Б. Проходка горных выработок и буровых скважин
   В. Геофизические исследования
   Г. Исследования свойств грунтов лабораторными и полевыми методами
   Д. Опытно-фильтрационные работы
   Е. Стационарные наблюдения за режимом подземных вод на оползневых склонах
   Ж. Стационарные наблюдения за оползневыми подвижками
   3. Гидрометеорологические работы
   И. Статистические методы исследования оползневых процессов
   К. Лабораторное моделирование
   Л. Расчеты устойчивости оползневых склонов
   М. Камеральная обработка материалов изысканий
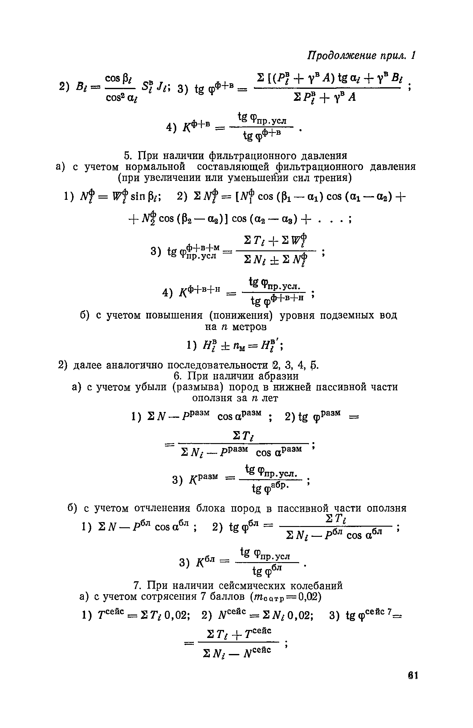
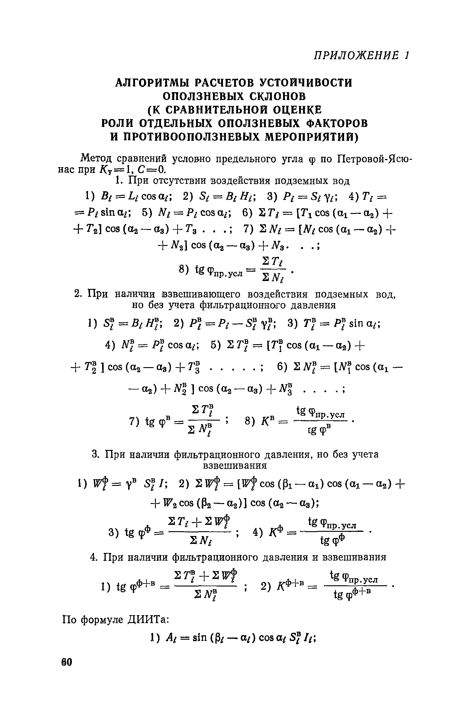
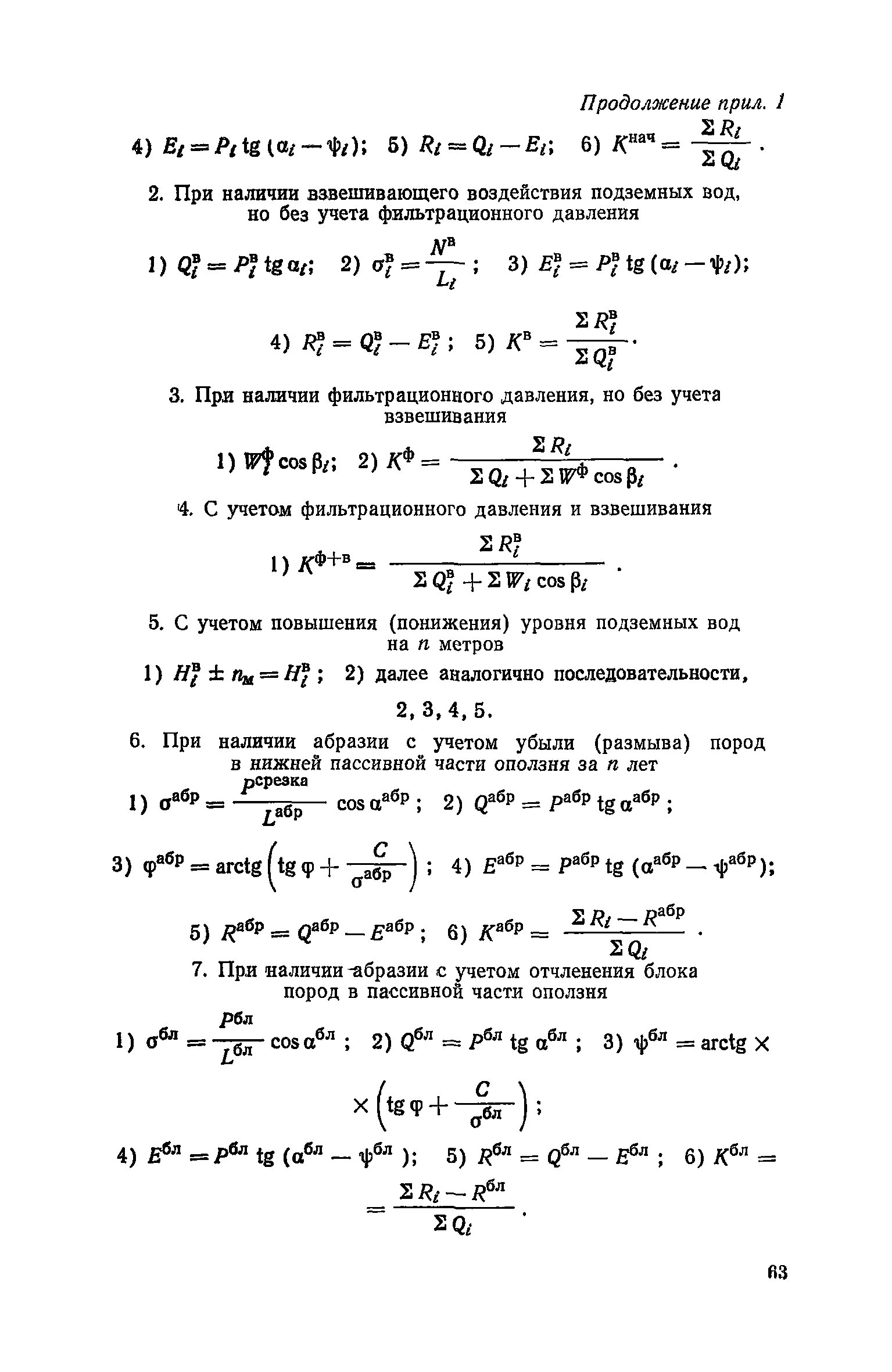
Приложение 1. Алгоритмы расчетов устойчивости оползневых склонов
Приложение 2. Схема тектонических условий развитии оползневой системы и формула ее общей структуры
Приложение 3. Полная структурная формула оползневой системы
Приложение 4. Карта и таблица основных характеристик смещенных блоков флишевых пород
Разработан: ПНИИИС Госстроя СССР (PNIIS, Gosstroy (USSR) )
Утверждён: ПНИИИС Госстроя СССР (PNIIIS, USSR Gosstroy )
Издан: Стройиздат (1978 г. )
Нормативные ссылки: