Скачать РД 39-1-62-78 Методика определения показателей надежности магистрального нефтепроводаДата актуализации: 01.01.2021
|
| Обозначение: | РД 39-1-62-78 |
| Обозначение англ: | RD 39-1-62-78 |
| Статус: | утратил силу |
| Название рус.: | Методика определения показателей надежности магистрального нефтепровода |
| Дата добавления в базу: | 01.10.2014 |
| Дата актуализации: | 01.01.2021 |
| Дата введения: | 01.07.1978 |
| Дата окончания срока действия: | 30.06.1983 |
| Область применения: | Методика предназначена для определения показателей надежности системы магистрального нефтепровода на стадиях проектирования и эксплуатации. Методика распространяется на магистральные нефтепроводы (нефтепродуктопроводы), т. е. на системы, которые могут частично или полностью снижать эффективность функционирования вследствие отказов элементов, составляющих систему. |
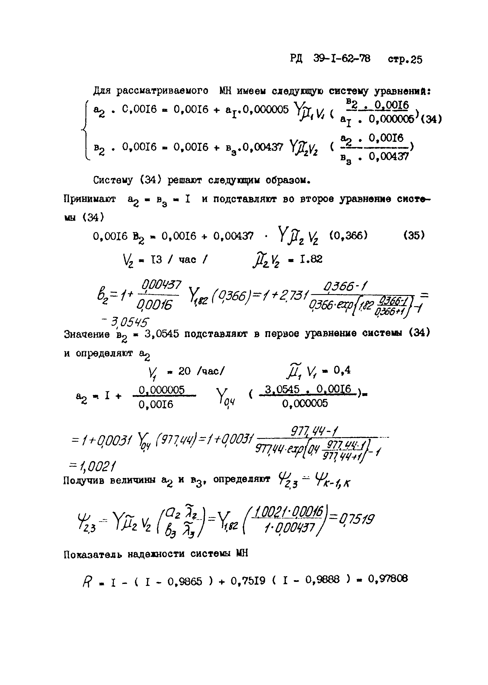
| Оглавление: | 1. Общие положения 2. Порядок определения показателей надежности магистрального нефтепровода, рассматриваемого в целом Приложение 1. Пояснение к основным терминам и принятые обозначения Приложение 2. Пример расчета показателей надежности МН для задали транспортирования нефти Приложение 3. Программа для ЭВМ “Наири” для определения показателей надежности магистрального нефтепровода Приложение 4. (справочное) Зависимость коэффициента от объема резервуарного парка Приложение 5. Рабочая программа по расчету показателей надежности магистрального нефтепровода для ЭВМ ЕС-1020 Приложение 6. Таблица идентификаторов Приложение 7. Блок - схема программы Приложение 8. Распечатка программы Приложение 9. Результаты решения контрольного примера Приложение 10. Макет задания на выполнения программы Приложение 11. Пример перфорации исходных данных Список литературы |
| Разработан: | ВНИИСПТнефть |
| Утверждён: | 18.04.1978 Министерство нефтяной промышленности |


















































