Скачать Рекомендации по расчету сборных железобетонных диафрагм жесткости для каркасно-панельных зданий

Дата актуализации: 01.01.2021

Рекомендации по расчету сборных железобетонных диафрагм жесткости для каркасно-панельных зданий

Статус:справочные материалы, мп, тпр
Название рус.:Рекомендации по расчету сборных железобетонных диафрагм жесткости для каркасно-панельных зданий
Дата добавления в базу:01.10.2014
Дата актуализации:01.01.2021
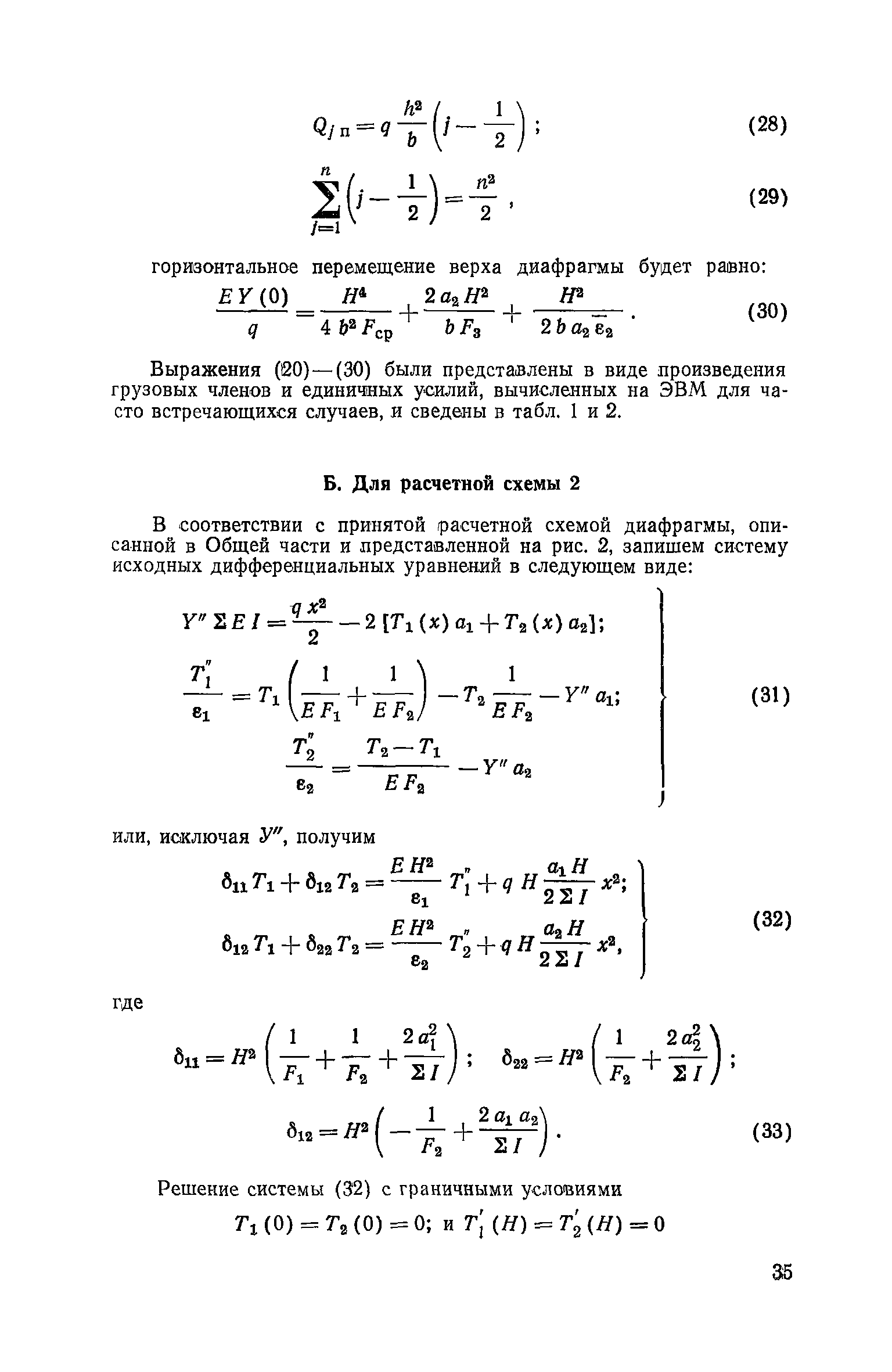
Область применения:В Рекомендациях изложена методика определения усилий, возникающих при действии горизонтальных нагрузок в элементах сборной железобетонной диафрагмы жесткости с двумя рядами проемов каркасно-панельного зданий от 6 до 18 этажей. Расположение дверных проемов принято по серии ИИС-04. В работе приведены две методики определения усилий для диафрагм, имеющих вертикальное непрерывное армирование и без него, которые учитывают влияние податливости сварных соединений и перемычек на распределение усилий в элементах сборной диафрагмы. Рекомендации предназначены для инженерно-технических работников, занятых проектированием и расчетом гражданских зданий.
Оглавление:Введение
1. Общие положения
2. Определение усилий в элементах диафрагмы типовой конструкции серии ИИС-04, не имеющей непрерывного вертикального армирования
3. Определение усилий в элементах диафрагмы усиленной типовой конструкции, имеющей непрерывное вертикальное армирование
Приложение 1. Единичные величины усилий и прогибов в элементах диафрагмы типовой конструкции, не имеющей непрерывного вертикального армирования
Приложение 2. Единичные величины усилий и прогибов в элементах диафрагмы усиленной типовой конструкции, имеющей непрерывное вертикальное армирование
Приложение 3. Пример расчета
Приложение 4. Определение прогибов и усилий в элементах диафрагмы
Разработан: ЦНИИЭП лечебно-курортных зданий Госгражданстроя
Утверждён: ЦНИИЭП лечебно-курортных зданий Госгражданстроя
Издан: Стройиздат (1978 г. )