Скачать ГОСТ Р ИСО 11171-2012 Гидропривод объемный. Калибровка автоматических счетчиков частиц в жидкостиДата актуализации: 01.01.2021
|
| Обозначение: | ГОСТ Р ИСО 11171-2012 |
| Обозначение англ: | GOST R ISO 11171-2012 |
| Статус: | введен впервые |
| Название рус.: | Гидропривод объемный. Калибровка автоматических счетчиков частиц в жидкости |
| Название англ.: | Hydraulic fluid power. Calibration of automatic particle counters for liquids |
| Дата добавления в базу: | 01.10.2014 |
| Дата актуализации: | 01.01.2021 |
| Дата введения: | 01.12.2013 |
| Область применения: | Стандарт устанавливает методики: а) первичной калибровки АСЧ по размерам частиц, определения разрешения датчика и характеристик подсчета частиц с помощью АСЧ в жидкостях с возможностью анализа проб из бутылей; b) вторичной калибровки АСЧ по размерам частиц с использованием суспензий, аттестованных с помощью АСЧ, прошедших первичную калибровку; c) установления приемлемого режима работы АСЧ и определения предельных значений его характеристик; d) проверки на соответствие характеристик датчика с использованием частиц измельченной тестовой пыли; е) определение пределов измерений содержания частиц и задания скорости потока из-за совпадений. |
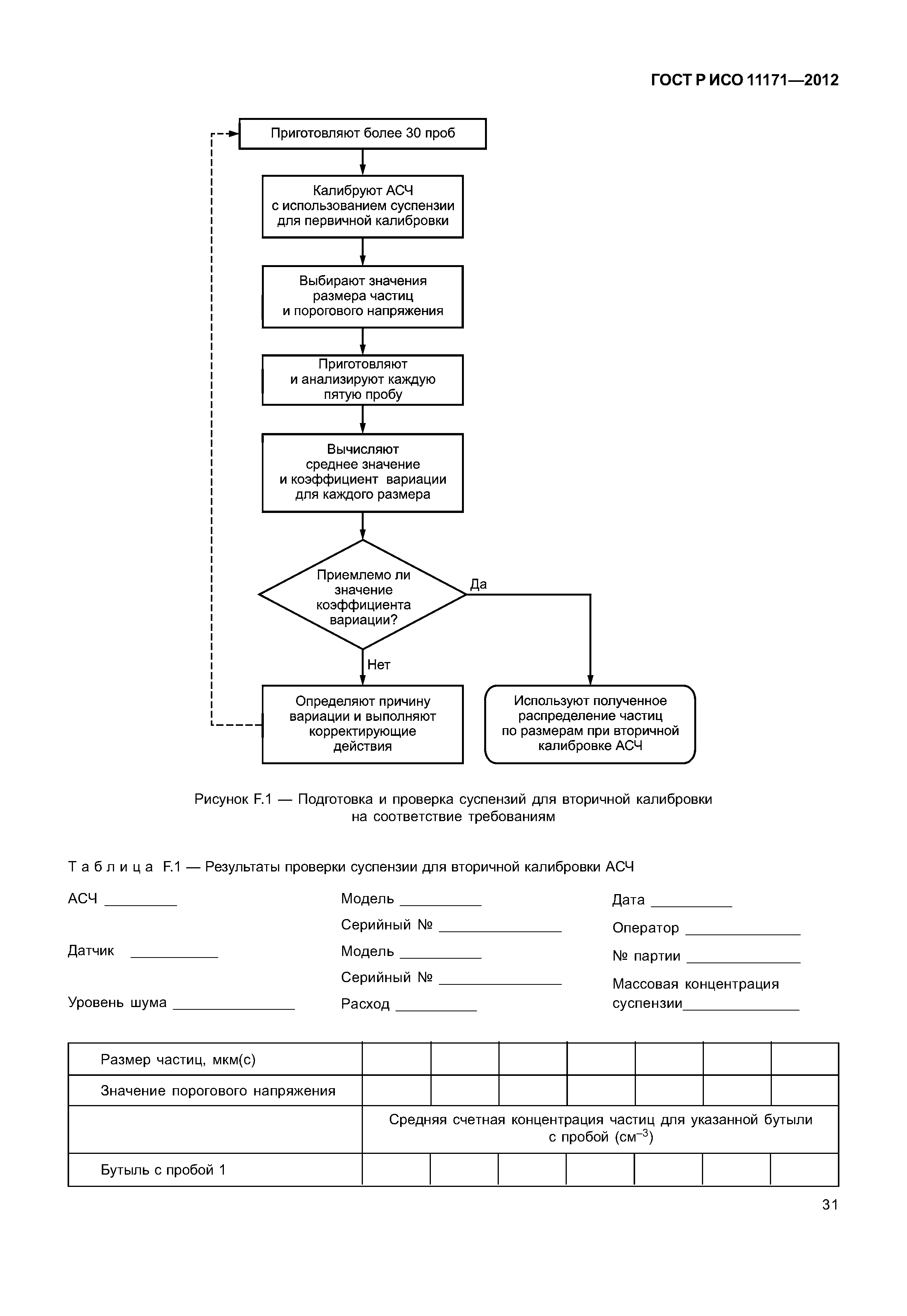
| Оглавление: | 1 Область применения 2 Нормативные ссылки 3 Термины и определения 4 Материалы и оборудование 5 Порядок проведения калибровки автоматических счетчиков частиц 6 Калибровка автоматического счетчика частиц по размерам 7 Представление данных 8 Заключение Приложение А (обязательное) Предварительная проверка автоматического счетчика частиц Приложение В (обязательное) Определение верхнего предела измерений Приложение С (обязательное) Определение предельного значения расхода жидкости Приложение D (обязательное) Определение разрешения датчика Приложение Е (обязательное) Проверка точности подсчета частиц Приложение F (обязательное) Подготовка и проверка бутылей с суспензиями для вторичной калибровки Приложение G (обязательное) Круговое сличение калибровки автоматического счетчика частиц Приложение Н (справочное) Примеры расчетов Приложение I (справочное) Проверка распределения частиц по размерам в образцах для калибровки Приложение ДА (справочное) Сведения о соответствии ссылочных международных стандартов ссылочным национальным стандартам Российской Федерации (и действующим в этом качестве межгосударственным стандартам) Библиография |
| Разработан: | АНО НИЦ КД |
| Утверждён: | 29.11.2012 Федеральное агентство по техническому регулированию и метрологии (1154-ст) |
| Издан: | Стандартинформ (2014 г. ) |
| Нормативные ссылки: |
|

















































