Скачать ГОСТ Р ИСО 16000-23-2012 Воздух замкнутых помещений. Часть 23. Оценка эффективности понижения содержания формальдегида сорбирующими строительными материаламиДата актуализации: 01.01.2021
|
| Обозначение: | ГОСТ Р ИСО 16000-23-2012 |
| Обозначение англ: | GOST R ISO 16000-23-2012 |
| Статус: | введен впервые |
| Название рус.: | Воздух замкнутых помещений. Часть 23. Оценка эффективности понижения содержания формальдегида сорбирующими строительными материалами |
| Название англ.: | Indoor air. Part 23. Performance test for evaluating the reduction of formaldehyde concentrations by sorptive building materials |
| Дата добавления в базу: | 21.05.2015 |
| Дата актуализации: | 01.01.2021 |
| Дата введения: | 01.12.2013 |
| Область применения: | В стандарте установлен лабораторный метод испытаний для оценки эффективности понижения содержания формальдегида сорбирующими строительными материалами. Метод применим для плит, обоев, ковровых покрытий, лакокрасочной продукции и других строительных материалов. Сорбция формальдегида может осуществляться за счет адсорбции, абсорбции и хемосорбции. Эффективность материала понижать содержание формальдегида в воздухе замкнутого помещения оценивают на основе измерений сорбционного потока и массы насыщения на единицу площади. Изготовитель непосредственно указывает свойство материала по отношению к уменьшению содержания формальдегида за определенное время; последнее относится к возможности продукции сохранять это свойство. |
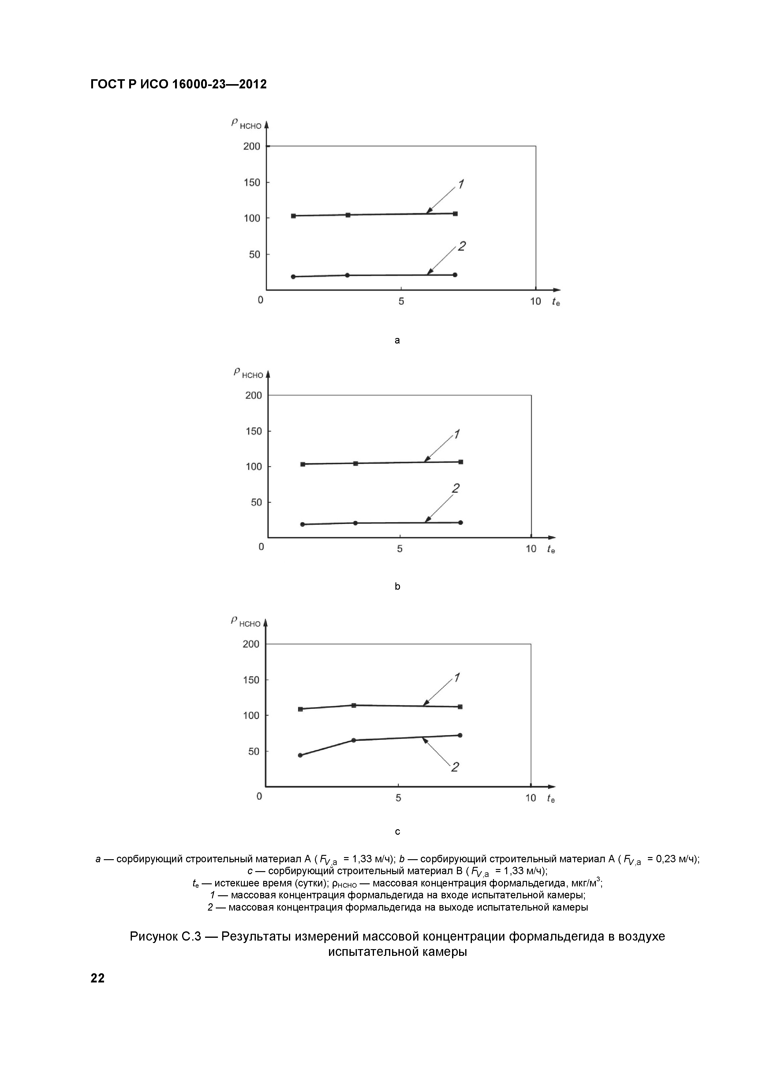
| Оглавление: | 1 Область применения 2 Нормативные ссылки 3 Термины и определения 4 Обозначения 5 Общие положения 6 Оборудование и материалы 7 Условия испытания 7.1 Общие положения 7.2 Условия испытания для определения эффективности понижения содержания формальдегида 7.3 Факторы, влияющие на свойство испытываемого материала понижать содержание формальдегида 8 Проверка условий испытания 8.1 Контроль условий испытания 8.2 Герметичность испытательной камеры 8.3 Кратность воздухообмена в испытательной камере 8.4 Эффективность перемешивания воздуха внутри испытательной камеры 8.5 Степень извлечения 9 Подготовка испытательной камеры 10 Подготовка испытываемых образцов 11 Методики испытаний 11.1 Определение фонового содержания формальдегида в испытательной камере и в подаваемом воздухе 11.2 Размещение образца в испытательной камере 11.3 Временные интервалы, за которые определяют содержание формальдегида в испытательной камере 11.4 Отбор проб воздуха 12 Определение формальдегида 13 Представление результатов измерений 13.1 Вычисление сорбционного потока 13.2 Вычисление эквивалентной кратности воздухообмена на единицу площади 13.3 Вычисление общей массы сорбции и массы насыщения на единицу площади сорбирующей поверхности 14 Протокол испытаний Приложение А (обязательное) Испытание с применением трубки с целью определения эффективности понижения содержания формальдегида материалом в течение долговременного периода Приложение В (обязательное) Система обеспечения качества и контроля качества Приложение С (справочное) Пример испытания строительных материалов Приложение D (справочное) Определение эффективности понижения содержания формальдегида для долговременного периода (пример испытания) Приложение ДА (справочное) Сведения о соответствии ссылочных международных стандартов ссылочным национальным стандартам Российской Федерации Библиография |
| Разработан: | АНО НИЦ КД |
| Утверждён: | 29.11.2012 Федеральное агентство по техническому регулированию и метрологии (369-ст) |
| Издан: | Стандартинформ (2014 г. ) |
| Нормативные ссылки: |
|































