Скачать ГОСТ Р 54566-2011 Сталь. Стандартные методы испытаний для оценки глубины обезуглероженного слояДата актуализации: 01.01.2021
|
| Обозначение: | ГОСТ Р 54566-2011 |
| Обозначение англ: | GOST R 54566-2011 |
| Статус: | введен впервые |
| Название рус.: | Сталь. Стандартные методы испытаний для оценки глубины обезуглероженного слоя |
| Название англ.: | Steel. Standard test methods for estimating the depth of decarburized layer |
| Дата добавления в базу: | 01.10.2014 |
| Дата актуализации: | 01.01.2021 |
| Дата введения: | 01.01.2013 |
| Область применения: | Стандарт устанавливает методы оценки средней или максимальной глубины обезуглероживания в закаленных и незакаленных стальных изделиях. Приведенные методы испытаний содержат методики оценки глубины обезуглероживания сталей независимо от их химического состава, микроструктуры матрицы и формы поперечного сечения. Приведены следующие основные методики: a) отборочные методы; b) микроскопические методы; c) методы измерения микротвердости; d) методы химического анализа. |
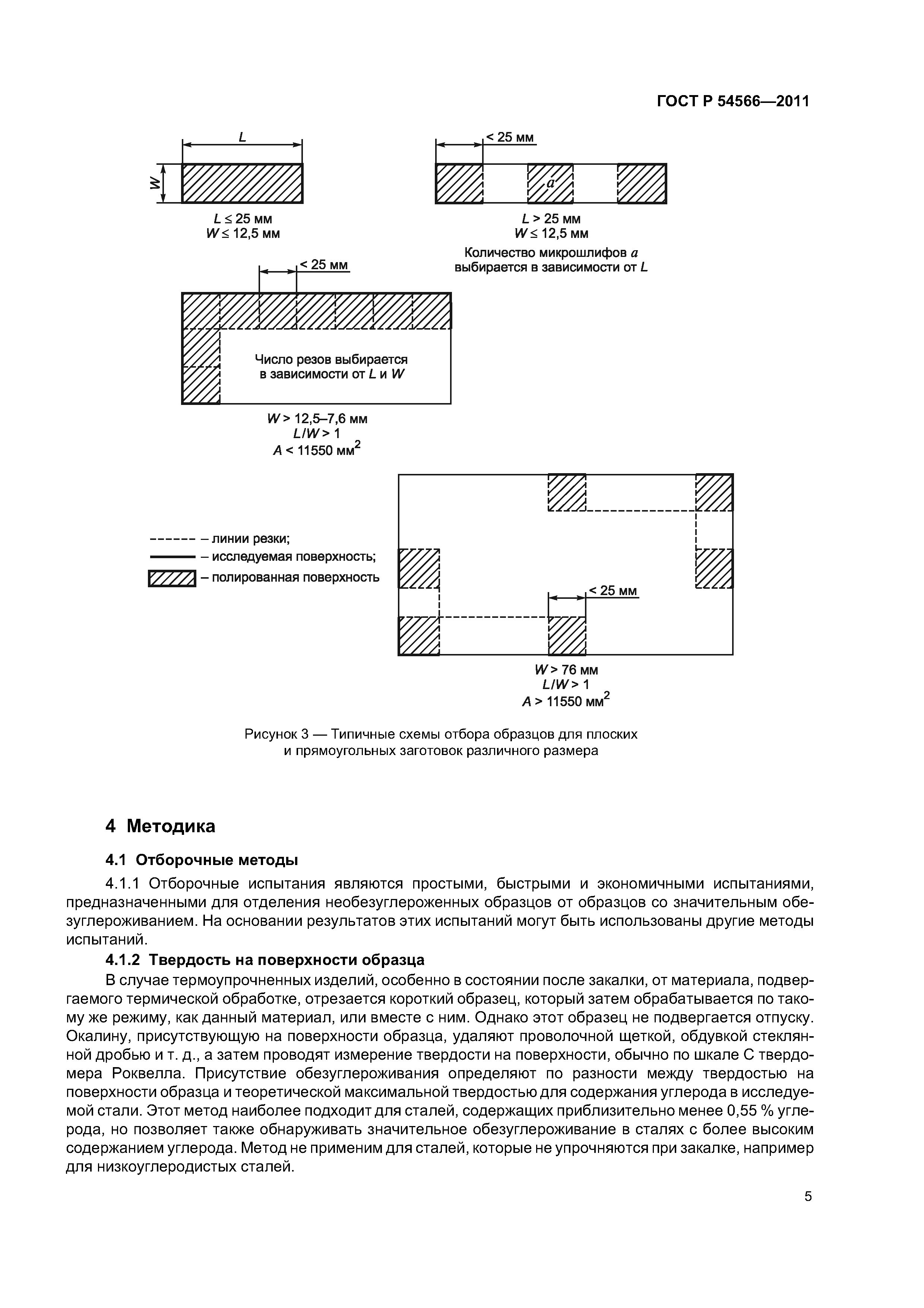
| Оглавление: | 1 Область применения 2 Термины и определения 3 Отбор и подготовка образцов 4 Методика 5 Протокол испытания 6 Точность и погрешность Приложение ДА (справочное) Сопоставление структуры настоящего стандарта со структурой примененного в нем регионального стандарта Библиография |
| Разработан: | ТК 145 Методы контроля металлопродукции |
| Утверждён: | 29.11.2011 Федеральное агентство по техническому регулированию и метрологии (651-ст) |
| Издан: | Стандартинформ (2014 г. ) |
| Нормативные ссылки: |
|


















