Скачать ГОСТ 31517-2012 Шланги газоподводящие низкого давления медицинские. Технические требования и методы испытанийДата актуализации: 01.01.2021
|
| Обозначение: | ГОСТ 31517-2012 |
| Обозначение англ: | GOST 31517-2012 |
| Статус: | введен впервые |
| Название рус.: | Шланги газоподводящие низкого давления медицинские. Технические требования и методы испытаний |
| Название англ.: | Low-pressure hose assemblies for use with medical gases. Technical requirements and test methods |
| Дата добавления в базу: | 01.10.2014 |
| Дата актуализации: | 01.01.2021 |
| Дата введения: | 01.01.2015 |
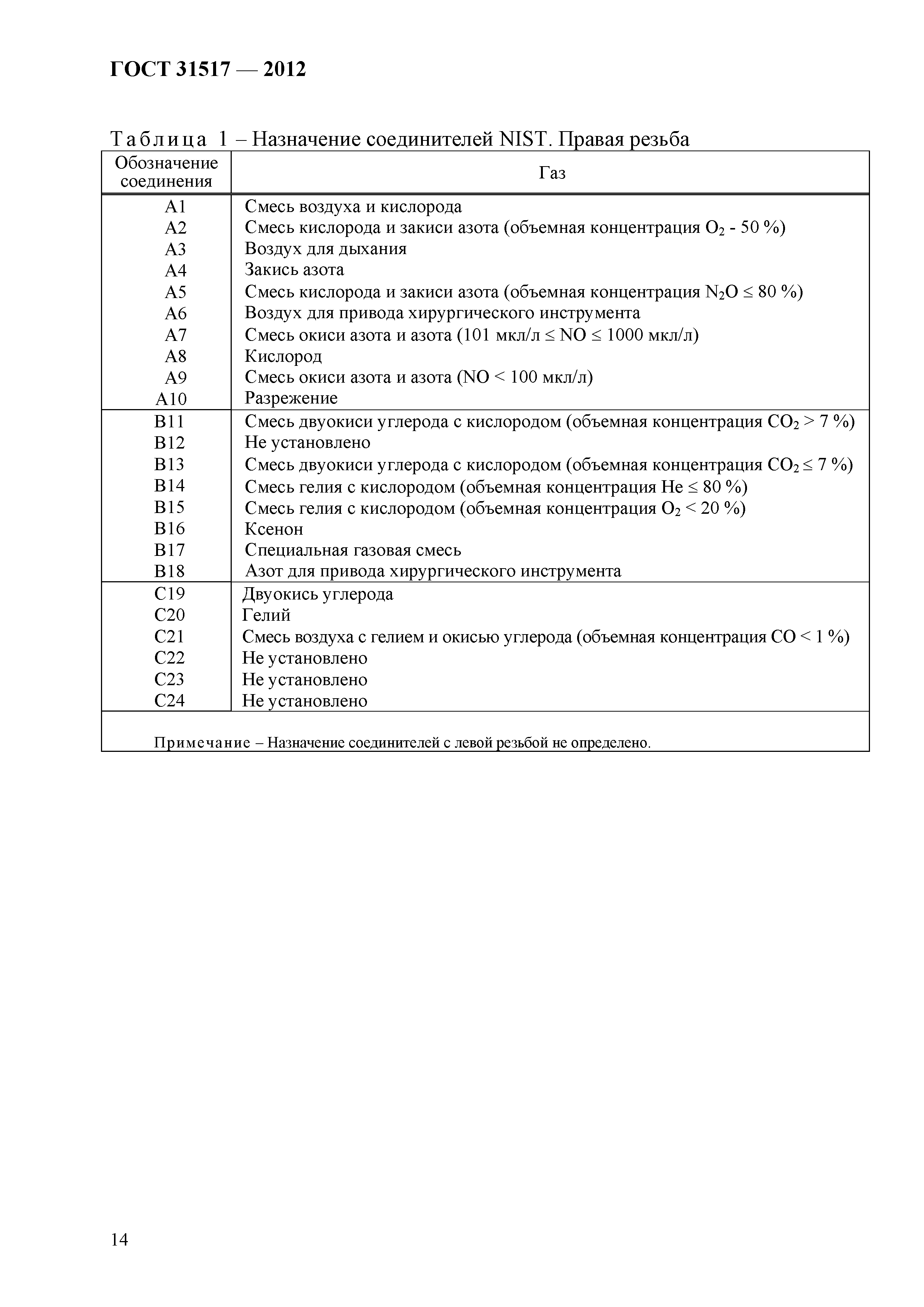
| Область применения: | Стандарт устанавливает требования к газопроводящим шлангам низкого давления в сборе с концевыми присоединительными частями (далее - шланги), которые предназначены для использования со следующими медицинскими газами: - кислородом; - закисью азота; - воздухом для дыхания; - гелием; - двуокисью углерода; - ксеноном; - специальными смесями перечисленных выше газов; - воздухом для привода хирургических инструментов; - азотом для привода хирургических инструментов; - смесью окиси азота с азотом; - воздухом, находящимся под разрежением и используемым для аспирации. Стандарт предназначен для обеспечения невзаимозаменяемости газопроводящих систем для указанных газов и исключения возможности неверного соединения этих систем. |
| Оглавление: | 1 Область применения 2 Нормативные ссылки 3 Термины и определения 4 Общие требования 5 Методы испытаний 6 Маркировка, цветовая кодировка и упаковка 7 Информация изготовителя Приложение А (справочное) Обоснование Приложение В (справочное) Разъяснение методики измерения утечки по 5.3 настоящего стандарта Библиография |
| Разработан: | ФГУП ВНИИНМАШ |
| Утверждён: | 24.05.2012 Межгосударственный Совет по стандартизации, метрологии и сертификации (Inter-Governmental Council on Standardization, Metrology, and Certification 41-2012) 01.11.2012 Федеральное агентство по техническому регулированию и метрологии (625-ст) |
| Издан: | Стандартинформ (2013 г. ) |
| Нормативные ссылки: |
|





































