Скачать ГОСТ Р ИСО 18629-13-2011 Системы промышленной автоматизации и интеграция. Язык спецификаций процесса. Часть 13. Теории продолжительности и упорядочения операцийДата актуализации: 01.01.2021
|
| Обозначение: | ГОСТ Р ИСО 18629-13-2011 |
| Обозначение англ: | GOST R ISO 18629-13-2011 |
| Статус: | введен впервые |
| Название рус.: | Системы промышленной автоматизации и интеграция. Язык спецификаций процесса. Часть 13. Теории продолжительности и упорядочения операций |
| Название англ.: | Industrial automation systems and integration. Process specification language. Part 13. Duration and ordering theories |
| Дата добавления в базу: | 01.10.2014 |
| Дата актуализации: | 01.01.2021 |
| Дата введения: | 01.09.2012 |
| Область применения: | В стандарте дано описание элементарных принципов, связанных с ограничениями продолжительности и упорядочения операций, а также рассмотрены следующие вопросы: - упорядочение элементов субопераций; - продолжительность операций; - итерированное упорядочение операций; - эндоморфизмы дерева операций; - оболочки операций. |
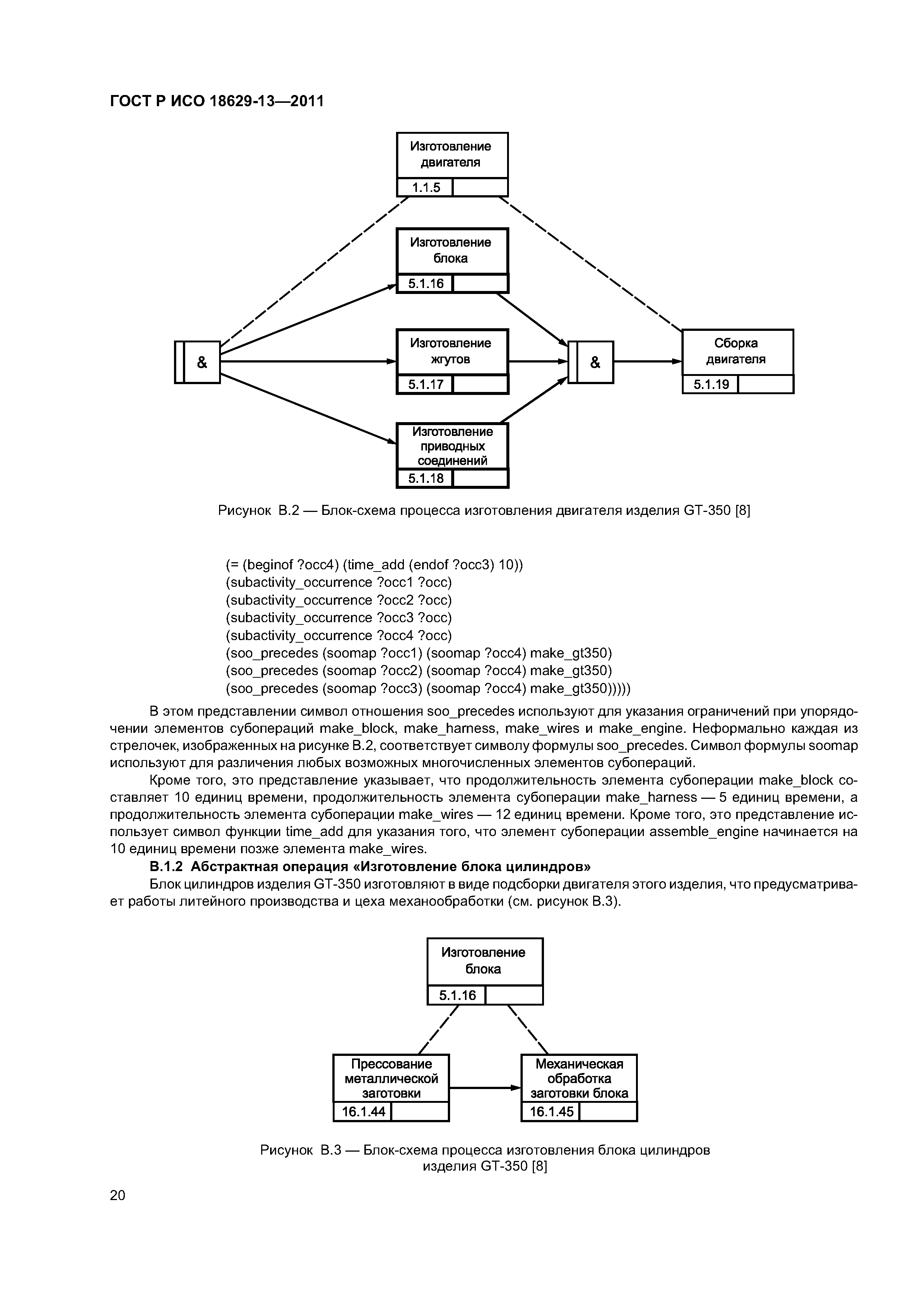
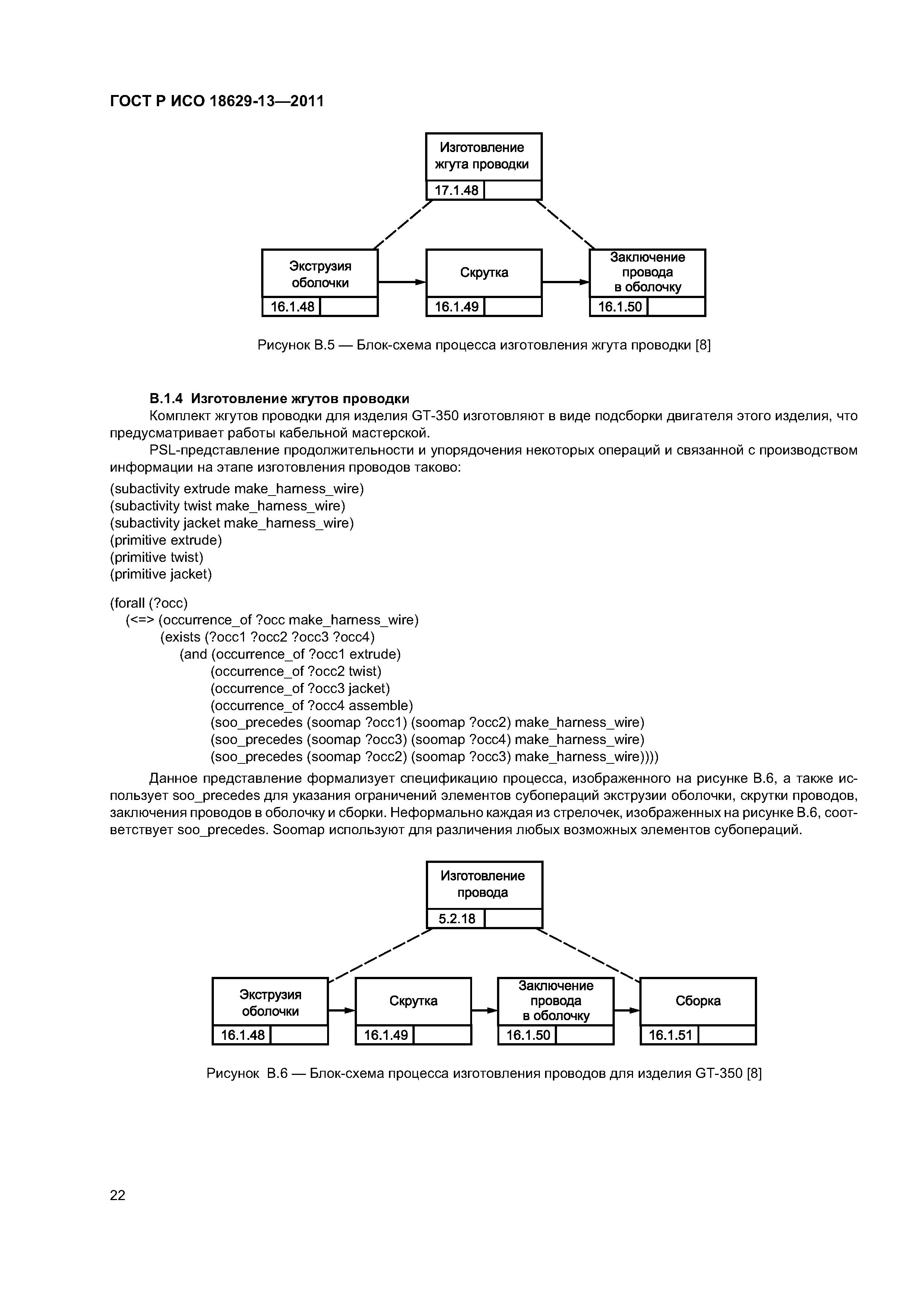
| Оглавление: | 1 Область применения 2 Нормативные ссылки 3 Термины, определения и сокращения 3.1 Термины и определения 3.2 Сокращения 4 Информация, общая для всех частей стандарта ИСО 18629 5 Структура настоящего стандарта 6 Теория упорядочения элементов субопераций 6.1 Примитивные отношения в теории упорядочения элементов субопераций 6.2 Определяющие отношения в теории упорядочения элементов субопераций 6.3 Связь с другими группами аксиом 6.4 Неформальная семантика теории упорядочения элементов субопераций 6.5 Определения теории упорядочения элементов субопераций 6.6 Аксиомы теории упорядочения элементов субопераций 7 Теория продолжительности операций 7.1 Примитивные отношения в теории продолжительности операций 7.2 Примитивные функции и константы 7.3 Определяющие отношения в теории продолжительности операций 7.4 Связь с другими группами аксиом 7.5 Неформальная семантика теории продолжительности операций 7.6 Определения теории продолжительности операций 7.7 Аксиомы теории продолжительности операций 8 Теория автоморфизма дерева элементов 8.1 Примитивные отношения в теории автоморфизма дерева элементов 8.2 Определяющие отношения в теории автоморфизма дерева элементов 8.3 Связь с другими группами аксиом 8.4 Неформальная семантика теории автоморфизма дерева элементов 8.5 Определения теории автоморфизма дерева элементов 8.6 Аксиомы теории автоморфизма дерева элементов 9 Теория оболочки операций 9.1 Примитивные отношения в теории оболочки операций 9.2 Определяющие отношения в теории оболочки операций 9.3 Связь с другими группами аксиом 9.4 Неформальная семантика теории оболочки операций 9.5 Определения теории оболочки операций 9.6 Аксиомы теории оболочки операций Приложение А (обязательное) Использование идентификаторов стандартного языка описания синтаксиса (ASN.1) в стандартах подкомитета ПК 4 Приложение В (справочное) Пример описания производственного процесса в соответствии с настоящим стандартом Приложение ДА (справочное) Сведения о соответствии ссылочных международных стандартов национальным стандартам Российской Федерации Библиография |
| Разработан: | НТЦ ИНТЕК |
| Утверждён: | 22.12.2011 Федеральное агентство по техническому регулированию и метрологии (1068-ст) |
| Издан: | Стандартинформ (2014 г. ) |
| Нормативные ссылки: |



























