Скачать ГОСТ Р 54133-2010 Представление и обмен данными по режущим инструментам. Часть 2. Справочный словарь по резкеДата актуализации: 01.01.2021
|
| Обозначение: | ГОСТ Р 54133-2010 |
| Обозначение англ: | GOST R 54133-2010 |
| Статус: | введен впервые |
| Название рус.: | Представление и обмен данными по режущим инструментам. Часть 2. Справочный словарь по резке |
| Название англ.: | Cutting tool data representation and exchange. - Part 2. Reference dictionary for the cutting items |
| Дата добавления в базу: | 01.10.2014 |
| Дата актуализации: | 01.01.2021 |
| Дата введения: | 01.09.2011 |
| Область применения: | В область применения стандарта входят: - стандартные данные, представляющие разные классы режущих элементов и характеристики этих классов; - стандартные данные, представляющие разные свойства и характеристики режущих элементов; - стандартные данные, представляющие области значений, используемые для свойств и характеристик режущих элементов; - системы координат для режущих элементов и их характеристик; - метод обмена установленными стандартными данными. |
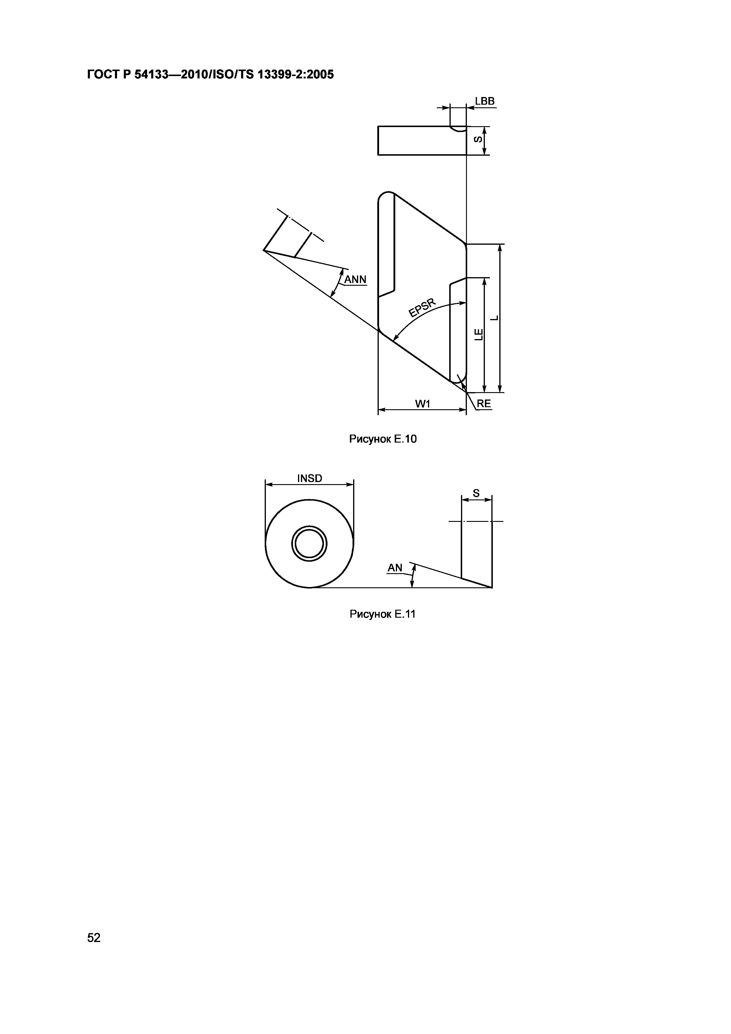
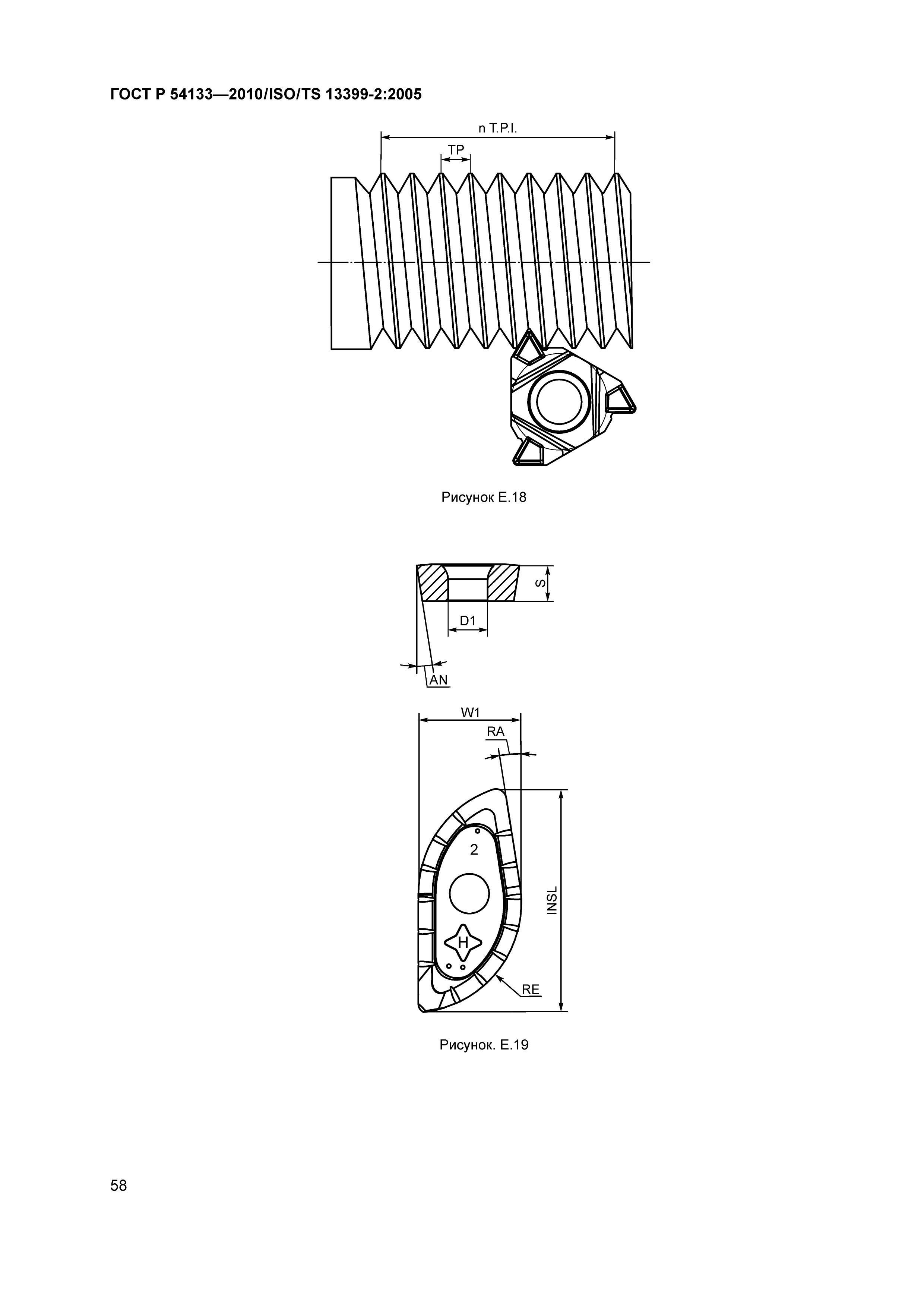
| Оглавление: | 1 Область применения 2 Нормативные ссылки 3 Термины и определения 4 Представление онтологических понятий как словарных статей 4.1 Общие положения 4.2 Класс cutting_item_feature 4.3 Класс cutting_item_type 4.4 Координатная система режущих элементов 5 Характеристики и свойства разных типов режущих инструментов Приложение А (справочное) Регистрация информационного объекта Приложение В (справочное) Классификационные таблицы Приложение С (справочное) Определения классов Приложение D (справочное) Определения свойств режущих элементов Приложение Е (справочное) Иллюстрации свойств режущих инструментов Приложение F (справочное) Иллюстрации свойств профилей фасонных вставок Приложение G (справочное) Иллюстрации положений режущих элементов в системе координат Приложение ДА (справочное) Сведения о соответствии ссылочных международных стандартов и документов ссылочным национальным стандартам Российской Федерации Библиография |
| Разработан: | НТЦ ИНТЕК |
| Утверждён: | 21.12.2010 Федеральное агентство по техническому регулированию и метрологии (878-ст) |
| Издан: | Стандартинформ (2014 г. ) |
| Нормативные ссылки: |
|














































































