Скачать ГОСТ Р ИСО 15745-2-2010 Системы промышленной автоматизации и интеграция. Прикладная интеграционная среда открытых систем. Часть 2. Эталонное описание систем управления на основе стандарта ИСО 11898Дата актуализации: 01.01.2021
|
| Обозначение: | ГОСТ Р ИСО 15745-2-2010 |
| Обозначение англ: | GOST R ISO 15745-2-2010 |
| Статус: | введен впервые |
| Название рус.: | Системы промышленной автоматизации и интеграция. Прикладная интеграционная среда открытых систем. Часть 2. Эталонное описание систем управления на основе стандарта ИСО 11898 |
| Название англ.: | Industrial automation systems and integration. Open systems application integration framework. Part 2. Reference description for ISO 11898-based control system |
| Дата добавления в базу: | 01.10.2014 |
| Дата актуализации: | 01.01.2021 |
| Дата введения: | 01.09.2011 |
| Область применения: | Стандарт устанавливает специальные технологические элементы и правила описания как профилей коммуникационных сетей, так и коммуникационных аспектов профилей устройств (приборов), относящихся к системам управления на основе ИСО 11898. Стандарт следует использовать вместе с ИСО 15745-1. |
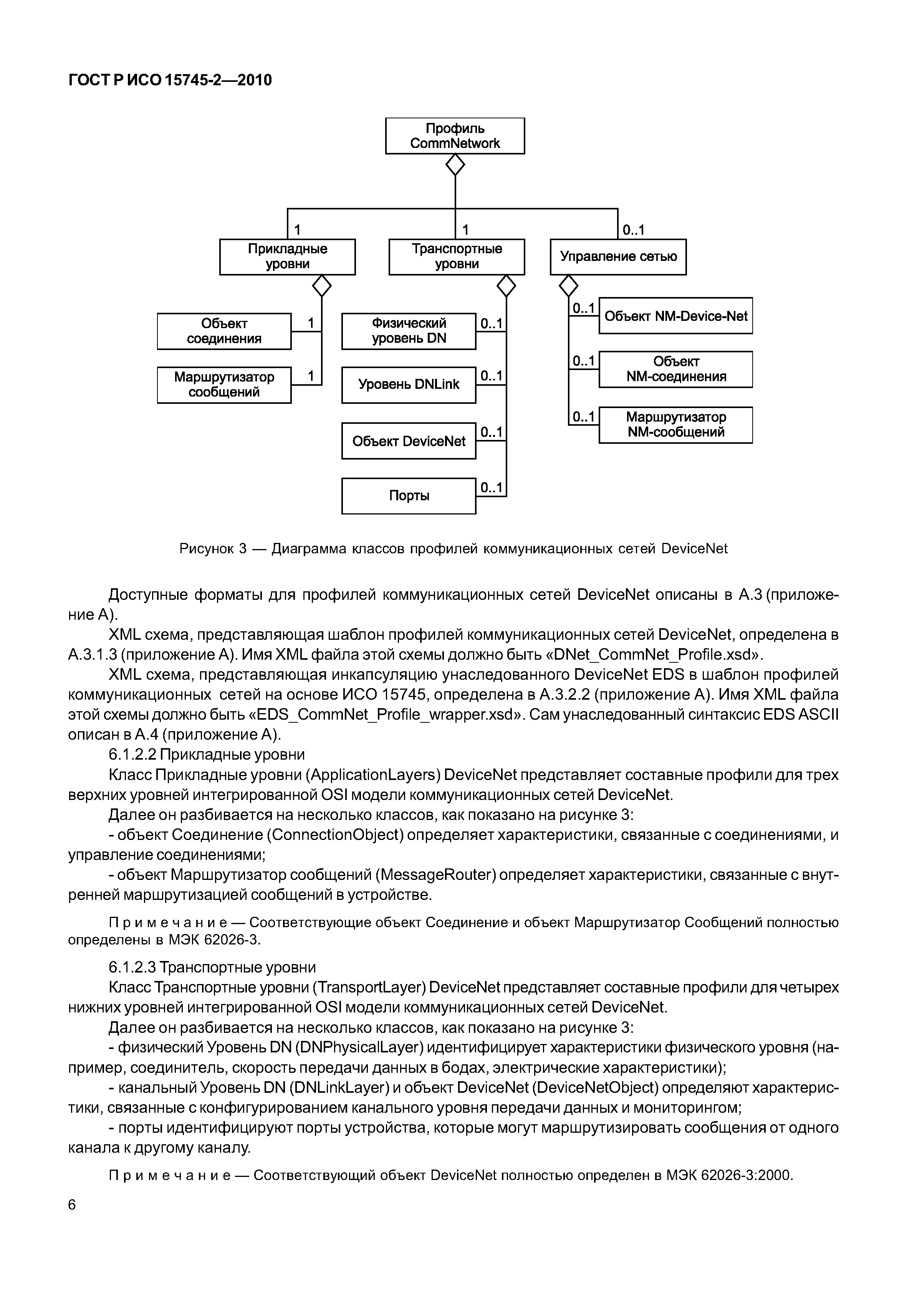
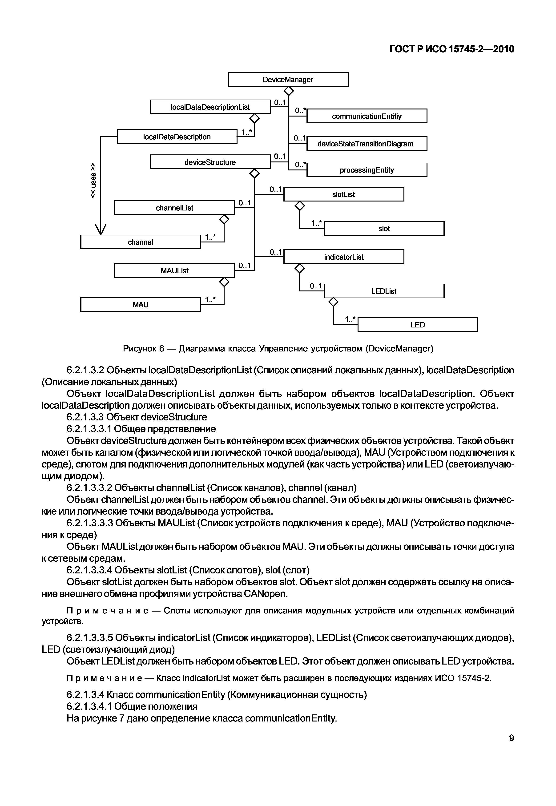
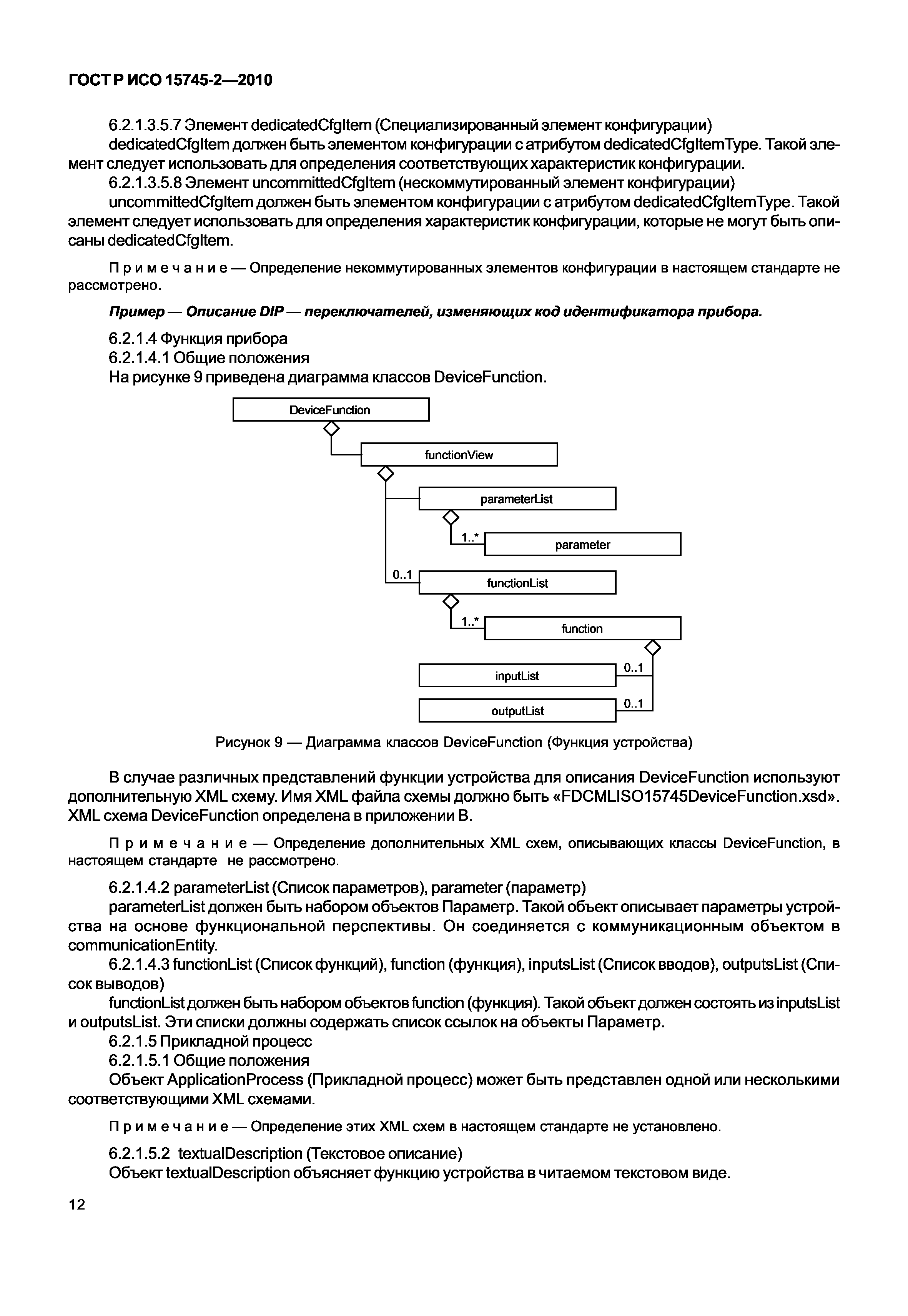
| Оглавление: | 1 Область применения 2 Нормативные ссылки 3 Термины и сокращения 4 Обозначения и сокращения 5 Технологические специальные элементы и правила 5.1 Интеграционные модели и интерфейсы IAS 5.2 Шаблоны профилей 5.2.1 Общие положения 5.2.2 Содержимое и синтаксис 5.2.3 Заголовок 5.3 Технологические специальные профили 6 Профили устройств и коммуникационных сетей для систем управления на основе ИСО 11898 6.1 Протокол DeviceNet 6.1.1 Профиль устройств 6.1.2 Профиль коммуникационных сетей 6.2 Протокол CANopen 6.2.1 Профиль устройств 6.2.2 Профиль коммуникационных сетей Приложение А (обязательное) Шаблоны профилей DeviceNet Приложение В (обязательное) Шаблоны профилей CANopen Приложение ДА (справочное) Сведения о соответствии ссылочных международных и европейского регионального стандартов ссылочным национальным стандартам Российской Федерации Библиография |
| Разработан: | НТЦ ИНТЕК |
| Утверждён: | 21.12.2010 Федеральное агентство по техническому регулированию и метрологии (865-ст) |
| Издан: | Стандартинформ (2013 г. ) |














































































































































































