Скачать ГОСТ Р ИСО 11354-1-2012 Усовершенствованные автоматизированные технологии и их применение. Требования к установлению интероперабельности процессов промышленных предприятий. Часть 1. Основа интероперабельности предприятийДата актуализации: 01.01.2021
|
| Обозначение: | ГОСТ Р ИСО 11354-1-2012 |
| Обозначение англ: | GOST R ISO 11354-1-2012 |
| Статус: | введен впервые |
| Название рус.: | Усовершенствованные автоматизированные технологии и их применение. Требования к установлению интероперабельности процессов промышленных предприятий. Часть 1. Основа интероперабельности предприятий |
| Название англ.: | Advanced automation technologies and their applications. Requirements for establishing manufacturing enterprise process interoperability. Part 1. Framework for enterprise interoperability |
| Дата добавления в базу: | 01.11.2014 |
| Дата актуализации: | 01.01.2021 |
| Дата введения: | 01.01.2014 |
| Область применения: | Целью стандарта является установление основы и базовых принципов интероперабельности предприятий, которые определяют размеры и направления для рассмотрения препятствий (далее - барьеров) при достижении интероперабельности, возможных решений и взаимосвязей между ними. Комплекс международных стандартов ИСО 11354 применим к промышленным предприятиям, однако может использоваться и в отношении других видов предприятий. Он также предназначен для применения всеми заинтересованными сторонами, кого затрагивает разработка и реализация решений, основанных на информационных и коммуникационных технологиях и связанных с интреоперабельностью предприятий. Он акцентирует внимание (но не ограничивается) на интероперабельности предприятий (промышленных или сферы обслуживания). |
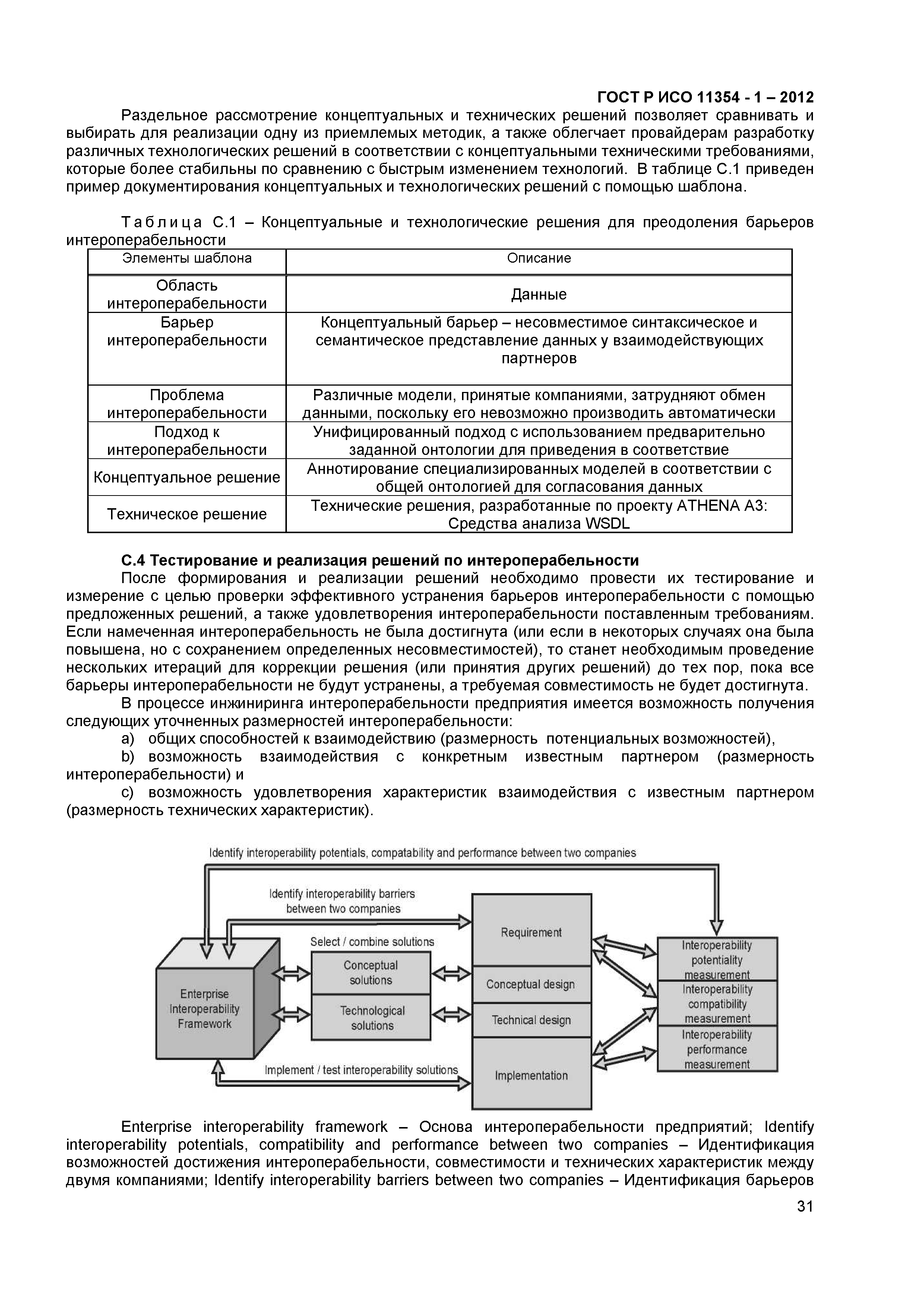
| Оглавление: | 1 Область применения 2 Термины и определения 3 Сокращения терминов 4 Соответствие настоящему стандарту 5 Описание основы интероперабельности предприятий 6 Концепция интероперабельности Приложение А (справочное) Приведение в соответствие существующих концепций интероперабельности с концепцией настоящего стандарта Приложение В (справочное) Пример применения основы интероперабельности предприятий для идентификации и классификации барьеров интероперабельности, сведений и решений Приложение С (справочное) Рекомендации по применению основы интероперабельности предприятий при инжиниринге интероперабельности Библиография |
| Разработан: | АНО Международная академия менеджмента и качества бизнеса |
| Утверждён: | 29.11.2012 Федеральное агентство по техническому регулированию и метрологии (1712-ст) |
| Издан: | Стандартинформ (2014 г. ) |







































