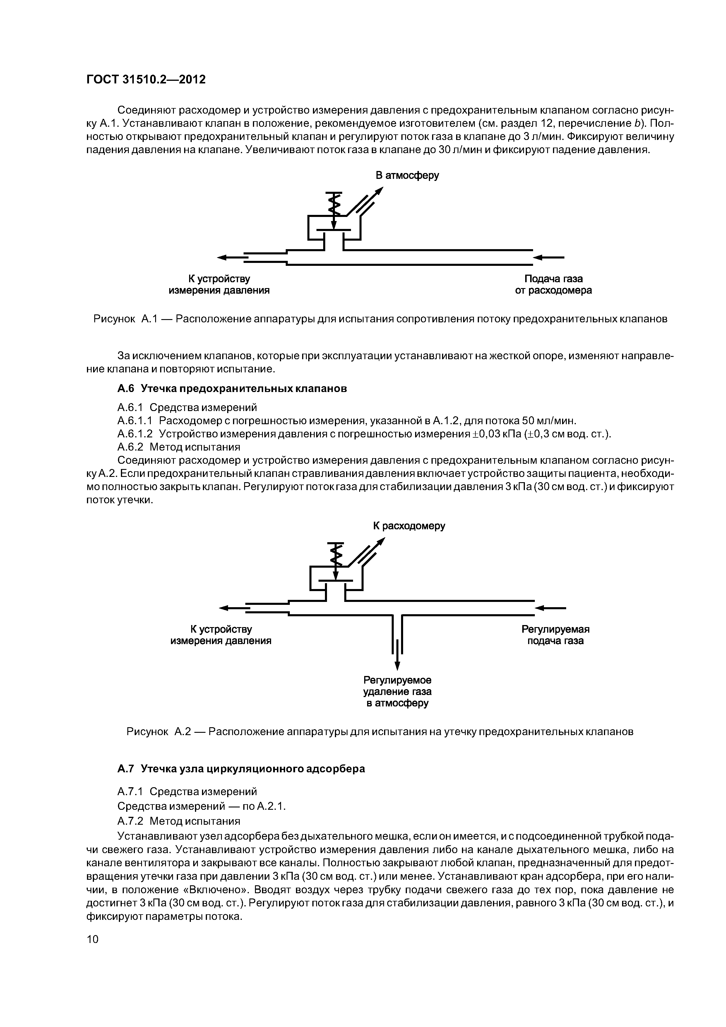
Скачать ГОСТ 31510.2-2012 Системы ингаляционного наркоза. Часть 2. Анестезиологические циркуляционные дыхательные контурыДата актуализации: 01.01.2021
|
| Обозначение: | ГОСТ 31510.2-2012 |
| Обозначение англ: | GOST 31510.2-2012 |
| Статус: | отменен в рф |
| Название рус.: | Системы ингаляционного наркоза. Часть 2. Анестезиологические циркуляционные дыхательные контуры |
| Название англ.: | Inhalational anaesthesia systems. Part 2. Anaesthetic circle breathing systems |
| Дата добавления в базу: | 21.05.2015 |
| Дата актуализации: | 01.01.2021 |
| Дата введения: | 01.01.2015 |
| Дата окончания срока действия: | 01.03.2015 |
| Область применения: | Стандарт устанавливает требования к системам ингаляционного наркоза циркуляционно-адсорбционных дыхательных систем, которые поставляются изготовителем либо в собранном виде, либо должны быть собраны заказчиком в соответствии с инструкциями изготовителя, а также к дополнительным дыхательным приспособлениям, в частности, адсорберам двуокиси углерода, обратным клапанам и регулируемым клапанам ограничения давления. |
| Оглавление: | 1 Область применения 2 Нормативные ссылки З Определения 4 Общие требования 5 Дыхательные контуры, поставляемые в сборе или монтируемые согласно инструкции изготовителя 6 Предохранительные клапаны ограничения давления 7 Узел циркуляционного адсорбера 8 Обратные клапаны 9 Контроль давления 10 Расположение деталей и узлов дыхательного контура 11 Маркировка 12 Информация, предоставляемая изготовителем Приложение А (обязательное) Типовые методы испытаний Приложение В (справочное) Классификация дыхательных контуров Библиография |
| Разработан: | ВНИИНМАШ |
| Утверждён: | 24.05.2012 Межгосударственный Совет по стандартизации, метрологии и сертификации (Inter-Governmental Council on Standardization, Metrology, and Certification 41) 01.11.2012 Федеральное агентство по техническому регулированию и метрологии (611-ст) |
| Издан: | Стандартинформ (2014 г. ) |
| Нормативные ссылки: |
|



















