Скачать ГОСТ Р ИСО 17776-2012 Нефтяная и газовая промышленность. Морские добычные установки. Способы и методы идентификации опасностей и оценки риска. Основные положенияДата актуализации: 01.01.2021
|
| Обозначение: | ГОСТ Р ИСО 17776-2012 |
| Обозначение англ: | GOST R ISO 17776-2012 |
| Статус: | действует |
| Название рус.: | Нефтяная и газовая промышленность. Морские добычные установки. Способы и методы идентификации опасностей и оценки риска. Основные положения |
| Название англ.: | Petroleum and natural gas industries. Offshore production installations. Guidelines on tools and techniques for hazard identification and risk assessment |
| Дата добавления в базу: | 01.10.2014 |
| Дата актуализации: | 01.01.2021 |
| Дата введения: | 01.09.2013 |
| Область применения: | Стандарт устанавливает способы и методы, которые используются использованы при выявлении и оценке опасностей, связанных с проведением работ по разведке и разработке морских месторождений нефти и газа. Указанные работы включают сейсморазведку, топографическую съемку, разведочное и эксплуатационное бурение, эксплуатацию месторождений, вывод из эксплуатации нее и ликвидацию, а также материально-техническое обеспечение каждого из этих видов деятельности. Стандарт распространяется на следующие установки, используемые в нефтяной и газовой промышленности: - стационарные морские сооружения; - плавучие сооружения для разведки, добычи, хранения и отгрузки продукции. Стандарт не распространяется на проектирование и строительство морских передвижных установок, подпадающих под юрисдикцию Международной морской организации. |
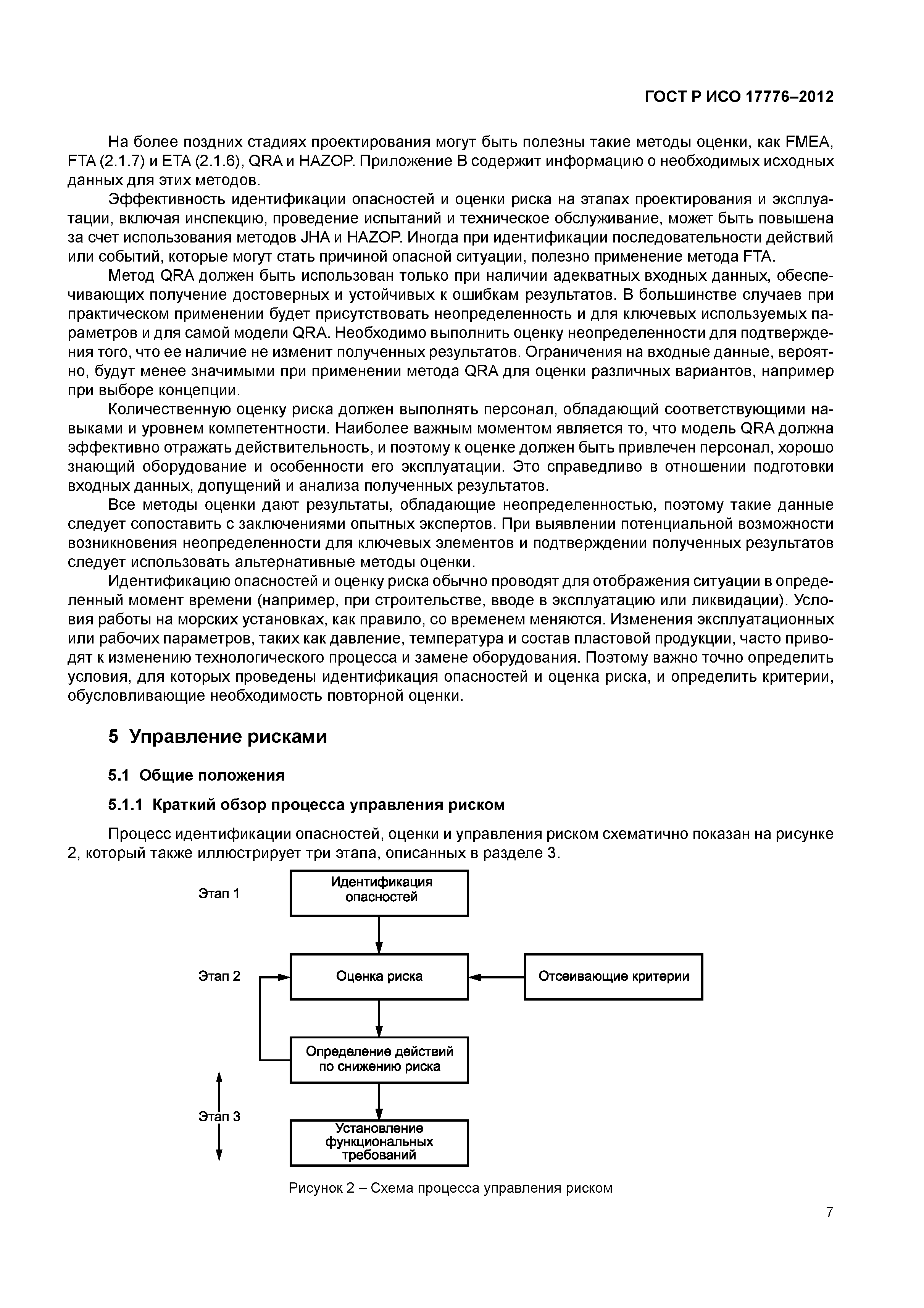
| Оглавление: | 1 Область применения 2 Термины, определения и сокращения 2.1 Термины и определения 2.2 Сокращения 3 Концепции оценки риска и опасностей 4 Методы идентификации опасностей и оценки риска 4.1 Выбор методов 4.2 Роль опыта и оценок 4.3 Проверочные листы 4.4 Правила и стандарты 4.5 Выбор методов структурированного анализа 5 Управление рисками 5.1 Общие положения 5.2 Идентификация 5.3 Оценка риска 5.4 Снижение риска 6 Рекомендации по применению на отдельных этапах проектов освоения месторождений Приложение А (справочное) Принципы идентификации опасностей и оценки риска Приложение В (справочное) Методы структурированного анализа Приложение С (справочное) Дополнительная информация для идентификации опасностей и оценки риска на этапах разведки и освоения морских месторождений Приложение D (справочное) Перечень опасностей Приложение ДА (справочное) Исходные терминологические статьи Библиография |
| Разработан: | ОАО Газпром (Gazprom OAO ) ООО Газпром ВНИИГАЗ |
| Утверждён: | 28.11.2012 Федеральное агентство по техническому регулированию и метрологии (1262-ст) |
| Издан: | Стандартинформ (2014 г. ) |
| Заменяет собой: |




























































