Скачать Типовой проект 709-9-61.87 Альбом I. Пояснительная записка и чертежиДата актуализации: 01.01.2021
|
| Обозначение: | Типовой проект 709-9-61.87 |
| Обозначение англ: | 709-9-61.87 |
| Статус: | не определен законодательством |
| Название рус.: | Альбом I. Пояснительная записка и чертежи |
| Дата добавления в базу: | 01.10.2014 |
| Дата актуализации: | 01.01.2021 |
| Дата введения: | 13.11.1987 |
| Дата окончания срока действия: | 30.06.2003 |
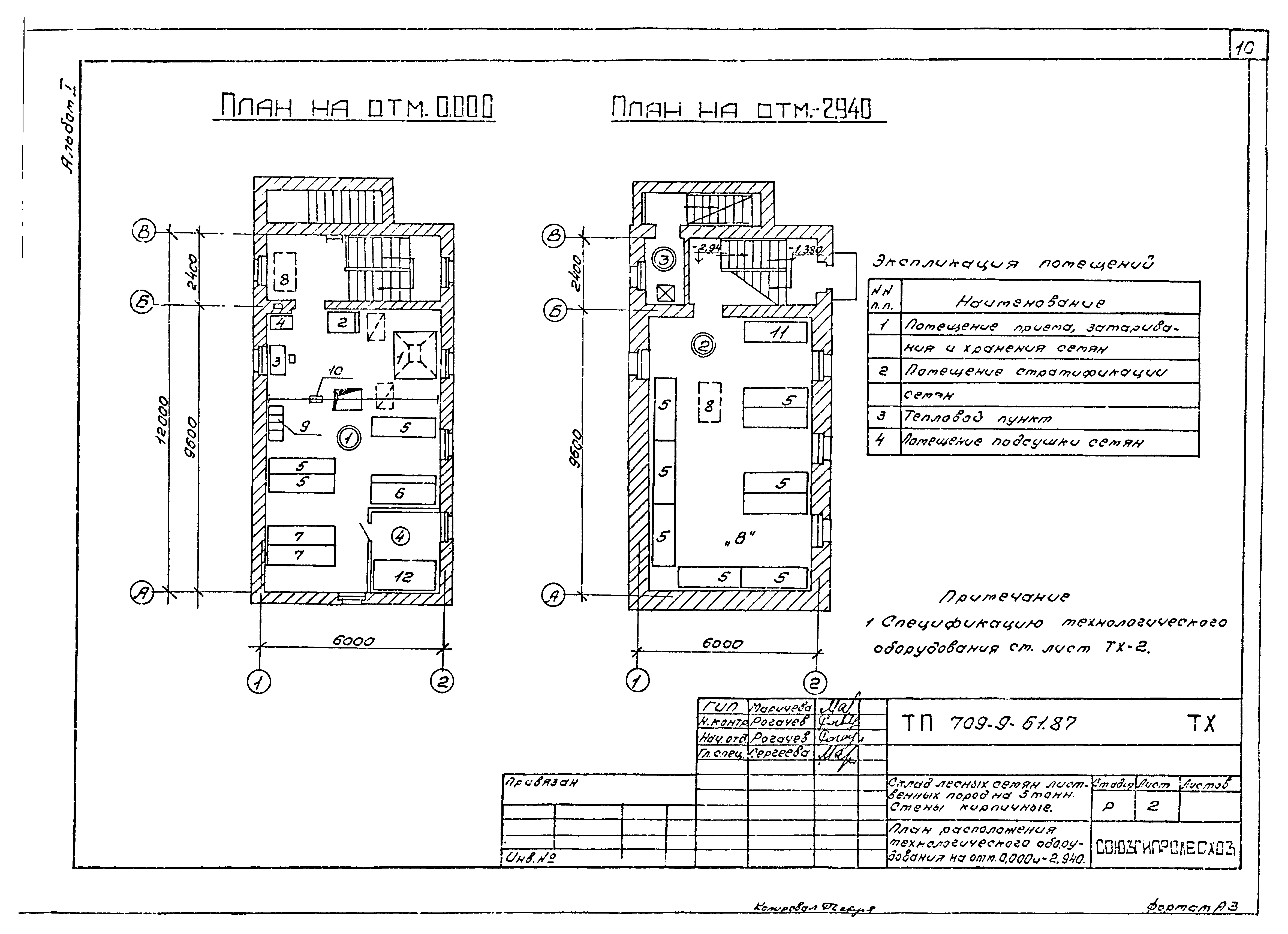
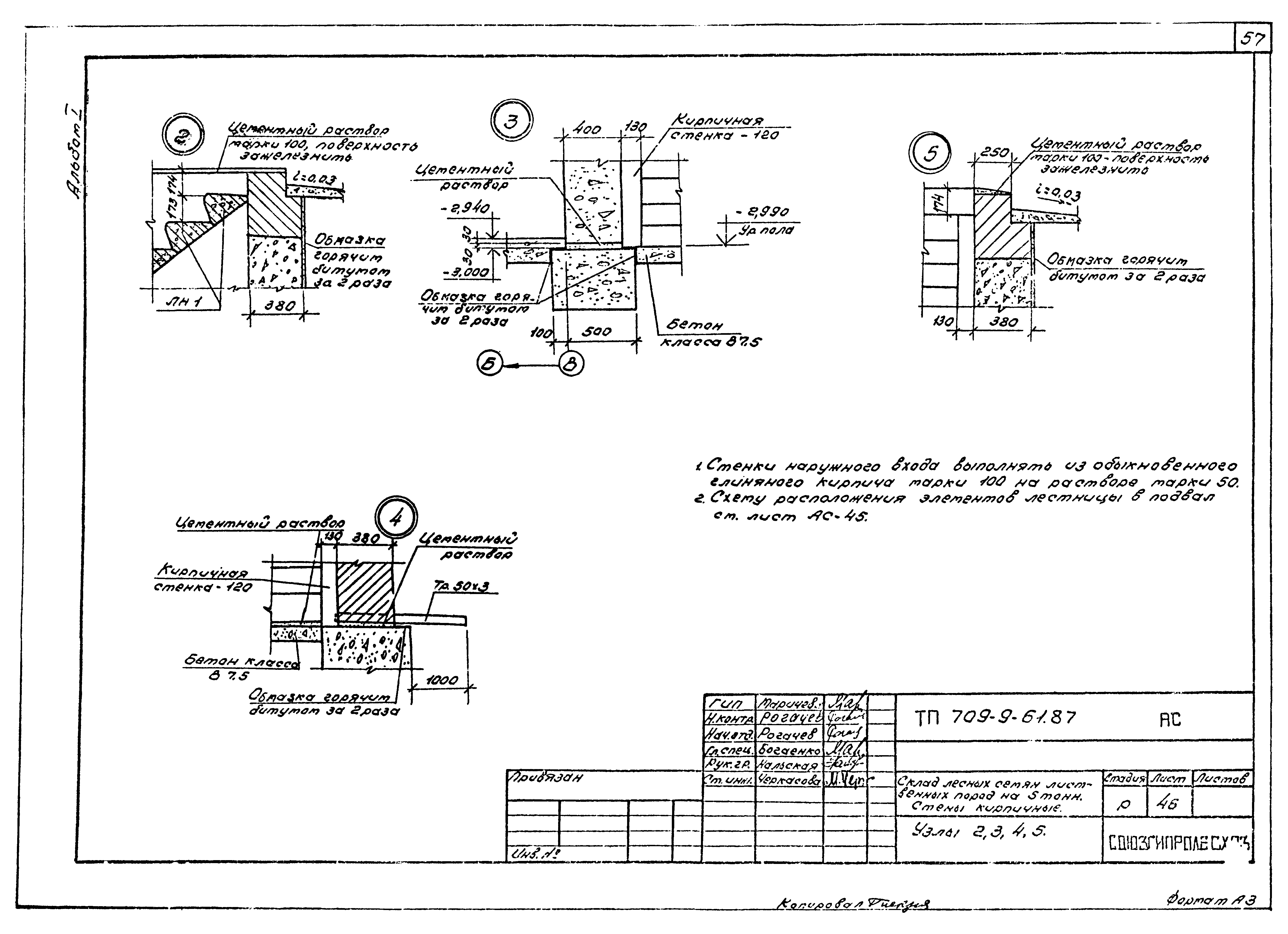
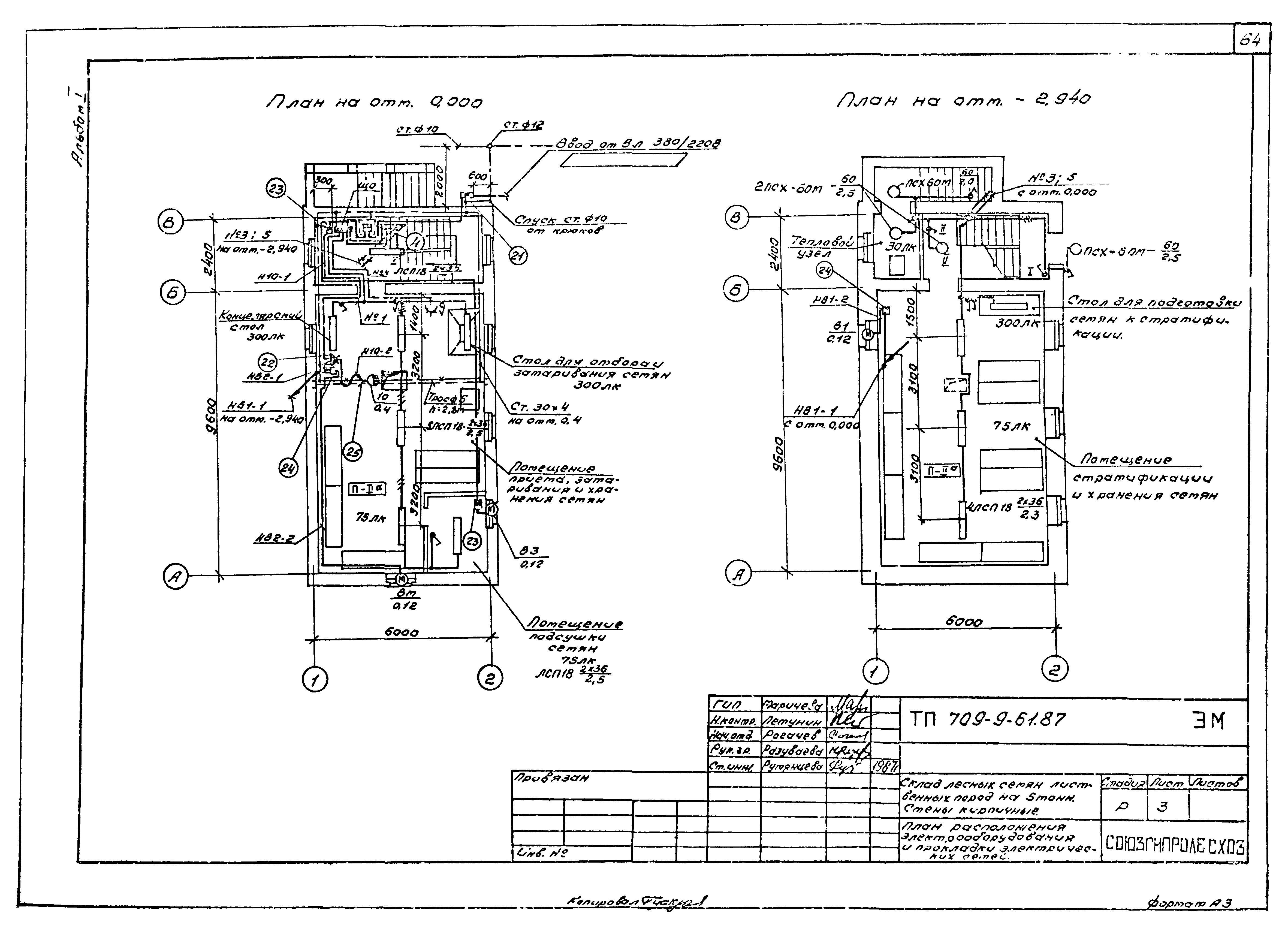
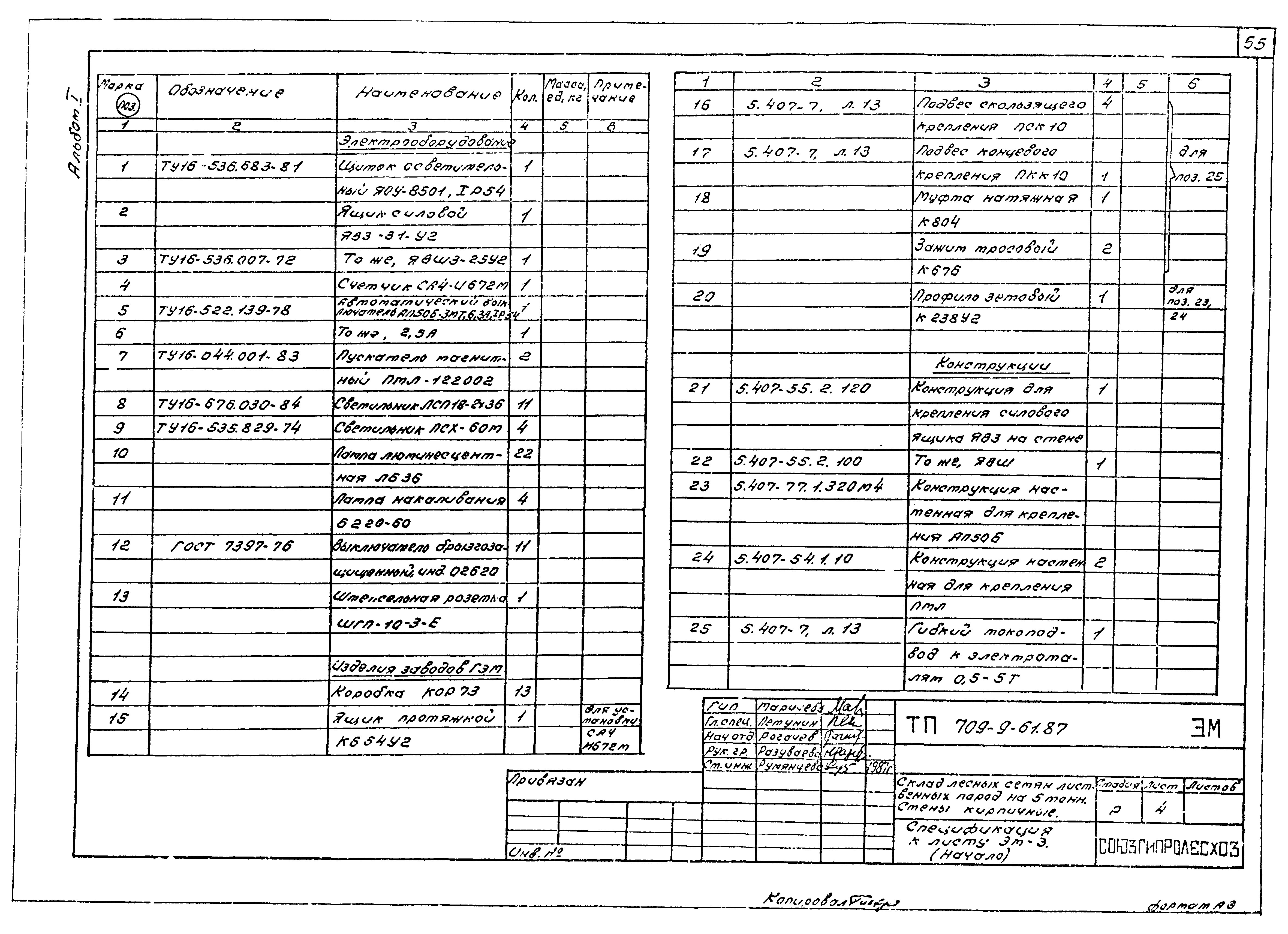
| Оглавление: | Содержание альбома Общая пояснительная записка Технология производства Общие данные План расположения технологического оборудования на отм. 0.000 и - 2.940 Перечень технологического оборудования Архитектурно-строительные решения Общие данные Планы на отм. 0.000 и - 2.940 Разрезы 1-1, 2-2 Разрезы 3-3, 4-4 Разрезы 1-1, 4-4 (вариант) Фасады Фасады (вариант) Планы полов и кровли. Экспликация полов Планы полов, чердака, кровли. Экспликация полов (вариант) Детали разрезов. Развертка стены по оси "Б" Детали разреза. Развертка стены по оси "Б" (вариант) Детали разреза (вариант) Ведомость перемычек Ведомость перемычек для вариантов с расчетной температурой минус 20, минус 40 градусов Цельсия Спецификация. Ведомость проемов дверей. Схемы Схема расположения элементов фундаментов. Сечения 1-1, 2-2 Сечения 3-3, 4-4 Сечения 5-5, 6-6, 7-7 Схема расположения элементов сборных фундаментов (вариант) Сечения 1-1 - 3-3 (вариант) Сечения 4-4 - 6-6 (вариант) Раскладка блоков по осям 1, 2, А, В и а-а, б-б (вариант) Схема расположения элементов перекрытия. Спецификация Монолитный участок УМ-1. Сечения а-а, 1-1 и 2-2 Узел 1. Деталь крышки. Сечение 3-3 Спецификация материала на конструкцию Каркас КР-1. Решетка МР1 Схема расположения элементов покрытия. Спецификация Схема расположения элементов чердачного перекрытия (вариант) Схема расположения элементов перекрытия над подвалом (вариант) Узлы 1, 1а, 2, 2а (вариант) Узлы 3, 3а, 4, 5. Анкеры А1, А2 (вариант) Схема расположения элементов стропил. Спецификация (вариант) Разрезы 1-1, 2-2. Узел 2 (вариант) Узлы 1 и 3 (вариант) Подвеска. Хомут. Спецификация (вариант) Стропила Ф-1. Общий вид и сечения (вариант) Стропила Ф-1. Деревянные элементы (вариант) Слуховое окно. Разрезы 1-1, 2-2 (вариант) Схема расположения элементов лестницы в осях "Б-Б" Узлы 1, 2, 3 Схема расположения элементов лестницы в подвал Узлы 2, 3, 4, 5 Отопление и вентиляция Общие данные Планы на отм. 0.000 и - 2.940 Схема системы отопления. Схемы систем ВЕ1, ВЕ2 Электрооборудование Общие данные План расположения электрооборудования и прокладка электрических сетей Спецификация к листу ЭМ-3 Схема принципиальная питающей и распределительной сети Ведомости |
| Разработан: | Союзгипролесхоз |
| Утверждён: | 13.11.1987 Гослесхоз СССР (USSR Gosleskhoz 27) |


































































