Скачать МУ 5865-91 Методические указания по фотометрическому измерению концентраций хлоралкенов: хлористого металлила, тетрахлорпропена, 1,3-дихлоризобутилена, 3,3-дихлоризобутилена в воздухе рабочей зоныДата актуализации: 01.01.2021
|
| Обозначение: | МУ 5865-91 |
| Обозначение англ: | MU 5865-91 |
| Статус: | справочные материалы, мп, тпр |
| Название рус.: | Методические указания по фотометрическому измерению концентраций хлоралкенов: хлористого металлила, тетрахлорпропена, 1,3-дихлоризобутилена, 3,3-дихлоризобутилена в воздухе рабочей зоны |
| Дата добавления в базу: | 01.10.2014 |
| Дата актуализации: | 01.01.2021 |
| Область применения: | Методические указания по измерению концентраций вредных веществ в воздухе рабочей зоны предназначены для санитарно-эпидемиологических станций и санитарных лабораторий промышленных предприятий при осуществлении контроля за содержанием вредных веществ в воздухе рабочей зоны, а так же научно-исследовательских институтов и других заинтересованных министерств и ведомств. |
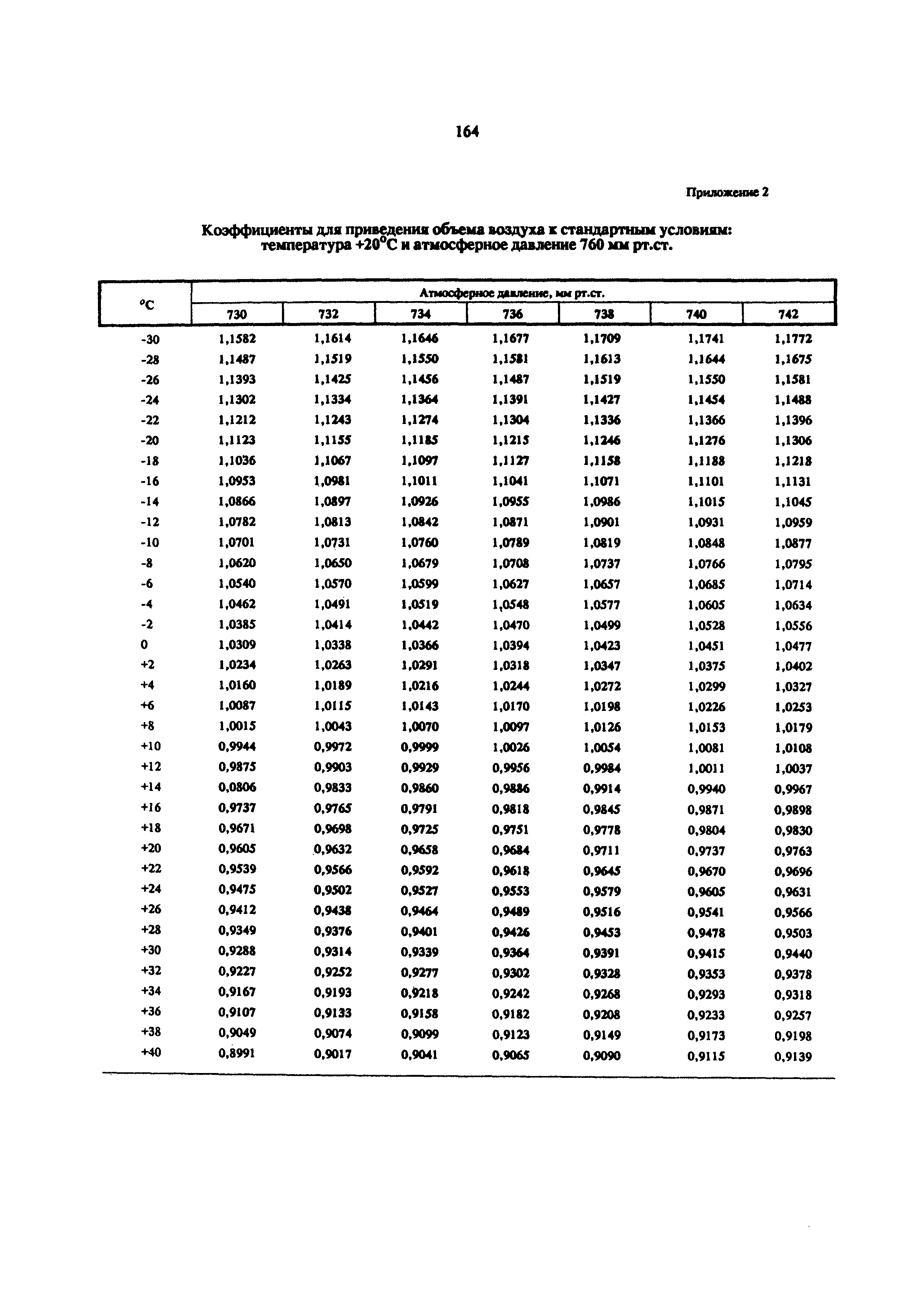
| Оглавление: | Характеристика метода Приборы, аппаратура, посуда Реактивы, растворы и материалы Отбор проб воздуха Подготовка к измерению Проведение измерения Расчет концентрации Приложение 1. Приведение объема воздуха к стандартным условиям Приложение 2. Коэффициенты для приведения объема воздуха к стандартным условиям Приложение 3. Список учреждений, представивших методики в данный сборник |
| Утверждён: | 10.09.1991 Заместитель Главного государственного санитарного врача СССР |
| Нормативные ссылки: |
|















