Скачать Руководство по проектированию и строительству крупнопанельных жилых домов на безростверковых свайных фундаментахДата актуализации: 01.01.2021 |
| Статус: | справочные материалы, мп, тпр |
| Название рус.: | Руководство по проектированию и строительству крупнопанельных жилых домов на безростверковых свайных фундаментах |
| Дата добавления в базу: | 01.10.2014 |
| Дата актуализации: | 01.01.2021 |
| Область применения: | Руководство содержит положения по проектированию и строительству крупнопанельных жилых домов на безростверковых свайных фундаментах, упрощенные методы и примеры расчета конструкций таких домов, а также рекомендации по устройству безростверковых свайных фундаментов. Руководство предназначено для инженерно-технических работников проектных и проектно-изыскательских институтов, строительных организаций, занимающихся устройством свайных фундаментов. |
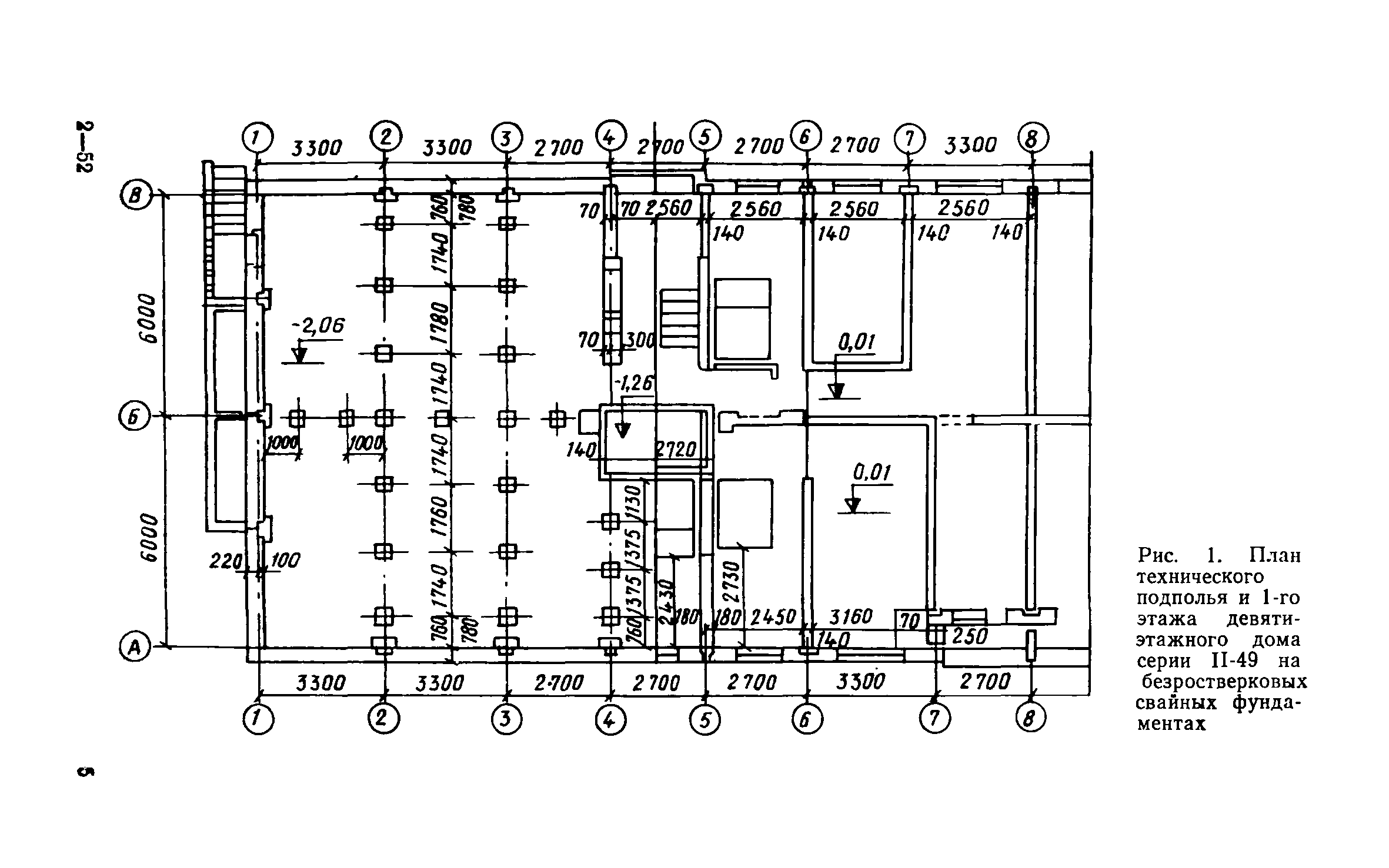
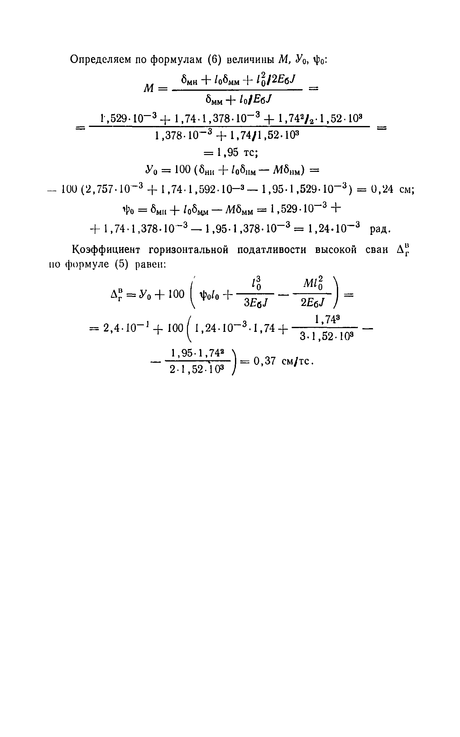
| Оглавление: | Предисловие 1. Особенности расчета и конструирования безростверковых свайных фундаментов 2. Расчет и конструирование элементов крупнопанельного издания, опирающихся на безростверковые свайные фундаменты 3. Производство работ и контроль качества Приложение 1. Определение величины коэффициентов горизонтальной податливости свай Приложение 2. Расчет свай на совместное действие вертикальных и горизонтальных нагрузок Приложение 3. Пример расчета конструкций, расположенных на сваях |
| Разработан: | ЦНИИСК им. В.А. Кучеренко |
| Утверждён: | ЦНИИСК им. В.А. Кучеренко Госстроя СССР |
| Издан: | Стройиздат (1979 г. ) |
| Нормативные ссылки: |
|
























